Цифрлық компаратор


Цифрлық компаратор
Екі n-разрядты А және В екілік сандарын салыстыруға және шығыстарға осы салыстырудың нәтижесі туралы мәлімет беруге арналған. Бұл есепті шешу үшін алдымен A және B сандарының әрбір разряды салыстырылады. Бұл операцияны орындайтын логикалық элемент екі модулі бойынша сумматор болып табылады. Ол үшін
теңдігі орындалады. Бұл теңдеу Y шығыс сигналының деңгейі тек қана А=В болғанда ғана төмен деңгейде болатының көрсетеді. Екінші кезеңде сумматорлардың барлық шығыс сигналдары төменгі деңгейде болатындығы анықталады. Бұл операцияны төмен деңгейлі кіріс сигналдары үшін көпкірісті ЖӘНЕ элементі орындайды. Оның шығыс Q сигналы мынаған тең:
Сонымен, n разрядты компаратор модулі екі бойынша қосу операциясын орындайтын n элементтен және инверсті сигналдары бойынша n-кірісті бір ЖӘНЕ элементтен тұрады.
Cурет 11. 4 - n разрядты цифрлық компаратор
Тапсырма: цифрлық компаратор құру (үлгі ретінде бірразрядты цифрлық компаратор схемасын қойдым, осы схеманы құруға болады, не болмаса басқа типін алсаңыздар болады) .
Сумматорлардың жұмыс сұлбасын зерттеу
Жартылай сумматор
а және b бір разрядты екілік сандарын қосу келесі ақиқат кестесіне сәйкес орындалады:
Бұдан біз S қосындысы және C тасымалы үшін мына өрнекті аламыз:
Пирс базисында қосынды және тасымалдау үшін логикалық схемаларды жүзеге асырайық. Ол үшін өрнектерді НЕМЕСЕ-ЕМЕС элементтерінде жүзеге асыруға қолайлы түріне келтіреміз.
Алынған формулалар негізінде жартылай сумматор синтезделуі мүмкін. Жартылай сумматор - екі бір разрядты сандардың қосындысын жүзеге асыратын құрылғы. Жартылай сумматор қолданылуы кең таралғандықтан оның өзінің белгіленуі бар (12. 1 - сурет) .
Cурет 12. 1 - Жартылай сумматордың шартты белгіленуі
Сонымен, тасымалдау ЖӘНЕ функциясының көмегімен, ал қосынды сигналының өндірілуі - a және b сандарының модулі екі бойынша қосумен орындалады. 12. 2 - суретте осы элементтерден құрылған жартылай сумматордың схемасы көрсетілген.
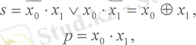
Жартылай сумматор, екі санның біратаулы разрядтары берілетін екі кіріс арқылы, және екі шығыс: біреуінде арифметикалық сумма берілген разрядта іске асады, екіншісінде- келесіге (үлкенірек разрядқа) ауысу арқылы сипатталады. Жартылай сумматор алдыңғы разрядтан кіріске ауыса алмайды. Жартылай сумматор арқылы іске асатын х 0 , x 1 - қосындылардың біратаулы разряды, s - 2 модуль бойынша x 1 және x 2 қосынды саны (тек қана НЕМЕСЕ), p- жоғарғы разрядқа ауысу (ЖӘНЕ) біратаулы разряды болатын логикалық функция мынадай түрге енеді:
Жартылай сумматордың логикалық схемасы төмендегі суретте көрсетілген.
12. 2 - Жартылай сумматордың cұлбасы
Бір разрядты сумматор
Бір разрядты сумматордың жартылай сумматордан ерекшелігі - кіші разрядтан тасымалдау сигналы қосылады. Бұдан егер тасымалдау сигналы болмаса, жоғары разрядқа тасымалдау екі сан бірдей бірге тең болғанда орындалады. Кіші разрядтан тасымалдау болатын болса, онда жоғары разрядқа тасымалдау әрқашанда орындалады. Тек екі қосынды да нольге тең болған жағдайда ғана тасымалдау орындалмайды.
Толық бірразрядты екілік сумматор, екі қосынды санның біратаулы разрядтары берілетін үш кіріс арқылы, және екі шығыс: біреуінде арифметикалық сумма берілген разрядта іске асады, екіншісінде- келесіге (үлкенірек разрядқа) ауысу арқылы сипатталады. Жартылай сумматор арқылы іске асатын х 0 , x 1 - қосындылардың біратаулы разряды, s - тасымалды ескеретін x 1 және x 2 қосынды саны, p i - алдыңғы разрядтан ауысу, p i+1 - жоғарғы разрядқа ауысу біратаулы разряды болатын логикалық функциясы мынадай түрге енеді:
Сумматордың логикалық схемасы төмендегі суретте көрсетілген.
Cурет 12. 3 - Толық бірразрядты сумматордың сұлбасы
Тапсырма: жартылай және толық бірразрядты сумматор құру.
Барлық тапсырмаларды мультисим ортасында орындап, жұмыс істеу принципін түсіндіру қажет!
... жалғасы- Іс жүргізу
- Автоматтандыру, Техника
- Алғашқы әскери дайындық
- Астрономия
- Ауыл шаруашылығы
- Банк ісі
- Бизнесті бағалау
- Биология
- Бухгалтерлік іс
- Валеология
- Ветеринария
- География
- Геология, Геофизика, Геодезия
- Дін
- Ет, сүт, шарап өнімдері
- Жалпы тарих
- Жер кадастрі, Жылжымайтын мүлік
- Журналистика
- Информатика
- Кеден ісі
- Маркетинг
- Математика, Геометрия
- Медицина
- Мемлекеттік басқару
- Менеджмент
- Мұнай, Газ
- Мұрағат ісі
- Мәдениеттану
- ОБЖ (Основы безопасности жизнедеятельности)
- Педагогика
- Полиграфия
- Психология
- Салық
- Саясаттану
- Сақтандыру
- Сертификаттау, стандарттау
- Социология, Демография
- Спорт
- Статистика
- Тілтану, Филология
- Тарихи тұлғалар
- Тау-кен ісі
- Транспорт
- Туризм
- Физика
- Философия
- Халықаралық қатынастар
- Химия
- Экология, Қоршаған ортаны қорғау
- Экономика
- Экономикалық география
- Электротехника
- Қазақстан тарихы
- Қаржы
- Құрылыс
- Құқық, Криминалистика
- Әдебиет
- Өнер, музыка
- Өнеркәсіп, Өндіріс
Қазақ тілінде жазылған рефераттар, курстық жұмыстар, дипломдық жұмыстар бойынша біздің қор #1 болып табылады.

Ақпарат
Қосымша
Email: info@stud.kz