Қосымша тірек пунктерінің орынын анықтау: кері бұрыштық қиылыстыру. Дәлдігін бағалау


Практикалық жұмыс №2
Қосымша тірек пунктерінің орынын анықтау: кері бұрыштық қиылыстыру. Дәлдігін бағалау.
Жұмыстың мақсаты: кері бұрыштық қиылыстыру әдісімен қосымша тірек нүктелерінің координаталарын есептеу әдістемесі мен техникасын игеру және пункттің орынын анықтаудың күтілетін қателігін бағалауды үйрену.
Әдебиет:
1. Маслов А. В., Гордеев А. В., Батраков Ю. Г. Геодезия: Учебник для вузов. М. : Колос С, 2006. Гл. 17 (17. 1-17. 5) .
2. Поклад Г. Г., Граднев СП. Геодезия: Учебное пособие для вузов. М. : Академический Проект, 2008. Ч. П. Гл. В.
Әр студент оқытушы берген тапсырма нұсқасын жеке орындайды.
Кері геодезиялық байланыстырудың мәні осы нүктеде белгілі координаттары бар кем дегенде үш бастапқы нүктенің бағыттары арасындағы бұрыштарды өлшеу арқылы Р қосымша нүктесінің координаталарын анықтау туралы болып табылады. Іс жүзінде сенімді бақылауды алу және қажетті нүктенің координаттарын анықтаудың дәлдігін арттыру үшін бірнеше рет кері байланыстыру қолданылады, кем дегенде төрт бастапқы нүктеден (сурет 1) . Бұл жағдайда кері байланыстырудың шешімі бастапқы нүктелердің екі комбинациясы бойынша тәуелсіз орындалады (мысалы., 1, 2, 3 және 1, 3, 4-пункттер) .
Сурет 1. Кері бұрыштық қиылыстыруды шешу үшін схема (4 пункт бойынша)
Есте сақтау керек, кері байланыстыруды шешкен кезде бастапқы нүктелер бақылаушыны (нүкте Р) орталық деп санай отырып, сағат тілімен нөмірленеді.
Есепті шешудің көптеген әдістері мен әдістерінің ішінен тапсырма Деламбр әдісімен төрт бастапқы пункт (суретті қараңыз) бойынша кері геодезиялық байланыстыруды шешуді қарастырады.
Бұл әдістің идеясы - Гаусс формулалары бойынша кері байланыстырудың шешімін тура байланыстыру шешіміне шешіміне келтіру. Ол үшін қолда бар бастапқы деректер бойынша бастапқы пункттерден анықталатын нүктеге бағыттардың дирекциялық бұрыштарын табу қажет.
Деламбр арқылы есепті шешу келесі ретпен жүзеге асырылады.
- Бағыттың дирекциондық бұрышын бастапқы 1-пункттен Р анықталатын нүктеге мына формула бойынша есептейді:
2. Басқа бастапқы пункттерден бағыттарының дирекциондық бұрыштарын анықтайды (2, 3, 4) :
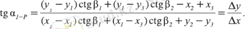
3. Бастапқы нүктелерден Р анықталатын нүктеге (Гаусс формулалары) бағыттардың дирекционық бұрыштарының тангенстерінің немесе котангенстерінің формулаларын қолдана отырып, Р нүктесінің координаттарын екі комбинацияда есептеңіз. Бірінші шешім α 1-P және α 2-P дирекциондық бұрыштарын қолдану арқылы алынады, екінші шешім үшін α 3-P және α 4-P дирекциондық бұрыштары қолданылады. Екінші шешім бақылау болып табылады және ол біріншісінен тәуелсіз.
Жоғарыда келтірілген әдіс бойынша есепті шешудің мысалы төменде келтірілген.
Кері геодезиялық байланыстырудың дәлдігін бағалау. Бастапқы үш пункт бойынша Р нүктесінің орнын анықтаудың орташа квадраттық қателігін (1, 2, 3-пункттердің комбинациясы үшін) мынадай формула бойынша табады:
мұндағы m β -бұрышты өлшеудің орташа квадраттық қателігі (қарастырылған мысалда m β =2") ; ρ" = 206 265". Бұрыштық және сызықтық шамалардың қалған әріптік белгілері суретте көрсетілген (жақшада 2, 3, 4-тармақтардың II комбинациясы үшін шамалардың белгілері берілген) .
Формулаға кіретін сызықтар бұрыштары мен ұзындықтарының шамалары нүктелер координаталары бойынша кері геодезиялық есептерді шешуден табылады.
Р пунктінің орнын анықтаудың жалпы орташа квадраттық қателігі:
- Іс жүргізу
- Автоматтандыру, Техника
- Алғашқы әскери дайындық
- Астрономия
- Ауыл шаруашылығы
- Банк ісі
- Бизнесті бағалау
- Биология
- Бухгалтерлік іс
- Валеология
- Ветеринария
- География
- Геология, Геофизика, Геодезия
- Дін
- Ет, сүт, шарап өнімдері
- Жалпы тарих
- Жер кадастрі, Жылжымайтын мүлік
- Журналистика
- Информатика
- Кеден ісі
- Маркетинг
- Математика, Геометрия
- Медицина
- Мемлекеттік басқару
- Менеджмент
- Мұнай, Газ
- Мұрағат ісі
- Мәдениеттану
- ОБЖ (Основы безопасности жизнедеятельности)
- Педагогика
- Полиграфия
- Психология
- Салық
- Саясаттану
- Сақтандыру
- Сертификаттау, стандарттау
- Социология, Демография
- Спорт
- Статистика
- Тілтану, Филология
- Тарихи тұлғалар
- Тау-кен ісі
- Транспорт
- Туризм
- Физика
- Философия
- Халықаралық қатынастар
- Химия
- Экология, Қоршаған ортаны қорғау
- Экономика
- Экономикалық география
- Электротехника
- Қазақстан тарихы
- Қаржы
- Құрылыс
- Құқық, Криминалистика
- Әдебиет
- Өнер, музыка
- Өнеркәсіп, Өндіріс
Қазақ тілінде жазылған рефераттар, курстық жұмыстар, дипломдық жұмыстар бойынша біздің қор #1 болып табылады.

Ақпарат
Қосымша
Email: info@stud.kz