Сарыағаш қаласындағы май цехы


КІРІСПЕ
«Казіргі кезде, Қазақстан Республикасының экономикалық жағдайы ауыр кезеңдерді өтуде. Мемлекеттік экономикамыз негізінен шикізатты сатудан түсетін қаржымен тығыз байланысты. Бірақ, қазіргі әлемдік дағдарыс кезінде елімізден шығатын көптеген шикізаттар әлемдік нарықта бағасын жоғалтуда. Сондықтан, көптеген дамыған мемлекеттер сияқты нарыққа шикізатты емес, дайын өнімді шығаруымыз керек. Ал, еліміздің өнеркәсіптік саласы, дәлірек айтқанда дайын өнім өндіру саласы нашар дамыған. Осындай жағдайды реттестіру үшін, еліміздегі өндіріс саласына ерекше назар аударуымыз керек.
Құрылыс- мемлекетіміздегі экономиканың негізгі саласының бірі болып табылады. Өнеркәсіп саласының өркендеп дамуына- құрылыс саласының тікелей қатысы бар. Осы екі саланың дамуы қоғамдағы жұмыс орындарының көбейуіне, материалдық және мәдениетті түрде Республика тұрғындарының тұрмыстық жағдайларын жақсартуда еңбегі күшті. Осы салынып отырған өнеркәсіптік ғимараттың тек өнеркәсіп саласына ғана емес, сонымен қатар ауыл шаруашылығына да қосатын үлесі көп. Яғни, «Құрылыс» саласының дамуы басқа салалардың дамуына себепкер болады. Айтқым келгені, «Құрылыс» саласы ел экономикасының басты өзегі, локомотиві болып табылады.
Осы жобаланып отырған «Түркістан облысы, Сарыағаш қаласындағы өсімдік майын өндіру у цехы» заман талаптарына сәйкес және сол аймақтың тұтынушыларын өніммен толықтай қамтамасыз ететін маңызды нысана болып табылады. Ауданда жобаланып отырған өнеркәсіптік ғимараттың конструктивтік элементтері мен технологиялық прцестері заман талаптарына сәйкес және толықтай экономикалық есептеулер арқылы таңдалған. Яғни жобаланып отырған ғимарат экномикалық жағынан өзін-өзі толықтай ақтайды. Қазіргі заманның талаптарына сәйкес ғимаратта орналастырылған өндіріс және технологиялық құрал жабдықтар, қолмен істелетін жұмыс көлемін 25% қысқартады, ал өнім өндіру көлемін 30% ұлғайтады.
Ғимаратты тұрғызуға арналған конструктивтік элементтер үшін мүмкіндігінше арзан және тиымды материалдар таңдалған. Дәлірек айтқанда, металл шығынын шамамен 14-16 %, цемент шығыны 10-12 %, ал ағаш конструкциялардың шығыны 12-14 % мөлшерінде қысқартылды. Мұндай экономикалық шараларды қолдану- құрылыстың сметалық құнын едәуір азайтады. Сонымен қатар, құрылысқа қажетті материалдарды өндіретін заводтар мен цехтардың құрылыс орнынан алыс орналаспағаны да ескерілген. Осы завод пен цехтардың әкімшіліктерімен алдын-ала келісімшарт жүргізілген. Яғни, құрылысқа қажетті материалдар мен дайын өнімдер тікелей және уақытысымен толықтай қамтамасыз етіліп тұрады.
Осы жобалап отырған «Түркістан облысы, Сарыағаш қаласындағы өсімдік майын өндіру цехы» дипломдық жобаны әрі қарай ғылыми ізденістермен толықтырып, конструктивтік элементтерін дұрыс таңдап, құрылыстытың смета құнын мүмкіндігінше арзандатуға тырысамын.
. 1 Сәулеттік-қүрылыс бөлімі
1. 1 Қажетті көлемдер мен алаңдардың сипаттамалары
Түркістан облысы, Сарыағаш қаласындағы өсімдік майын өндіру цехы Сарыағашта мекеннің батыс жақ бөлігінде 3000 метр қашықтықта өндіріс аумағы аймағында орналасқан.
Өндіріс орнына жету автожолдар арқылы шешіледі. Өндіріс тұрғын массивтер аумағынан жырақ орналасұқан.
Нысанның орналасуы үшін тегіс жер көзделген. Су аймағынан қашықта ороналасқан. Және басым жел бағыттарына ескеріліп жобаланған.
Өндірістің өнімдері арнаулы салынған қоймаларда сақталады және шикізатты өңдегенге дейін уақытша сақтауға ашық алаңдар бар.
1. 2 Бас жобаның шешімдері
Кесте 1. Құрылыс нысанынынң жобалық көрсеткіштері
Әртүрлі климаттық жағдайларда болатын құбылыстар үшін жауын суы ағысын ұйымдастыру үшін жер бетінің ылдиландыру көзделген.
Материалдық құндылықтарды, өнімдерді орналастыру үшін арнаулы алаңдар көзделген және бүкіл ғимарат бойына көгалдандыру, ағаш отырғызу және т/б қоршау көзделген.
Жасыл желек өсіру үшін құрылыстың болашақ аймағына биіктігі 15-20 см болатын табиғи өсімдік топырағы төгілген.
Жауын-шашыннның суын ағызу үшін аталған алаңдарда арнаулы арықтар мен латоктар көзделген.
Адамдар жүру үшін арнаулы асфальтталған жолдар, брусчатка төселген алаңдар көзделген.
Бас жобадағы құрылыстың орналасуы ҚРҚН бойынша есептеліп жел бағыттары есре отырып қабылданған.
Жұмысшылардың демалуына қолайлы жағдай жасау үшін және жұмыс орнын көркемдету үшін санитарлы-гигиеналық жағдайларды ескере отырып бос қалған жерлер көкалдандырылған. Көкалдандыру- көп жылдық шөптер мен бұталы өсімдіктер және әр - түрлі қылқан жапырақтармен орындалады.
Жобаланатын ғимараттың ішінде арнаулы жұмысшылар үшін бөлмелер, демалу орындары, қосымша бөлмелер, сыртта үлкен ағаштар отырғызу, көгалдар орнату, санитарлық гигиеналық орындар және арнаулы демалыс бөлмелері көзделген.
1. 3 Көлемдік- жоспарлау шешімі
Ғимараттың сыртқы пішіні абаттандыру тұрғысынан сылақпенен джасалады.
Өндіріс орны тамақ өндіру саласына жаттаны болғандықтан онда арнаулы өндірістік қондырғылар адам өміріне қауіпсіз жағдайда орналастыру талаптарына сай жүргізілген. Өндірісте жұмыс жасайтын адамдар үшін барлық қажетті тұрмыстық, әлеуметтік қызметтер көрсету бөлмелері көзделгең.
Өндіроіс орны болғандықтан мұндағы дайындалатын өнмідердің ауыр салмақты көлемдерін жылжыту, орналастыру көтеру жүктеу секілді мәселелерді шешу үшін онда көтергіш крандароы, құралдары көзделген. Ғимараттың бөлмелерінің жарығын қамтамасыз ету үшін электр жүйелері фонарлары арнаулы желдеткіштер, жұмысшылар бөлмесі және басқа да қызметтік орындар бар.
Кесте 2. Көздеолген бөлме атаулары
Өлшем
бірлігі
Жалпы
ауданы












Кесте 3
Техника-экономикалық көрсеткіштер
Өлшем
бірлігі
Жалпы
ауданы




1. 4 Конструктивтік шешімдер
Өндіріс ғимаратынын негізгң көтергіш элементтері ғимараттың жалпы беріктігін қамтамасыз ететіні анық. Сондықтан олардың беріктігіне үлкен мән беріп оларды арнаулы таңдау арқылы шешу керек.
Контрукция элементтерін таңдау
Табан асты конструукциясы - құрамалы дайын темір-бетон блоктардан. Табаны құймалы.
Колонналаоры - құрамалы темір-бетон. Көлденең өлшемі - 40х50 см. Биіктігі - 9, 6м.
Қабырғалары - құрамалы т зауыт жағдайында жасалған темір-бетон панелдерден тұрады, қалыңдығы - 25см. Және кірпіштен қаланған қабырғаның қалыңдығы - 38см.
Этаждардың арасындағы жабын плитасының өлшемдері 3х6 м. Төбе жабыны - үш қабатты рулонды қарақағаз.
Полы- мозайкалы бетон, астынан бетон құйылған.
құрастырмалы қаңқа қолданылады.
1. 5 Негізгі конструкциялардың жылу-техникалық есебі
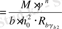
Қорғаушы қабаттардың суыққа қарсылығы мына төмнде берілген әдіспен анықталады.
R
(1. 1)
- қаралмақ элементтің тұсына сәйкес көрсеткіш.
- нормалар анықтамасы бойынша жобаланып отырған өндіріс орны үшін ішкі көрсеткіш.
= 16
С.
- элементтің беттерінің градиенттік айырмашылық шамаасы.
= 6
С.
- элементтік қабатының жылу ұстау шамасы.
=8, 7 вт/ м
С.
Қаралмақ конструкцияның жылу жоғалу сипаттамасына қарсылық шамасы
R
=1/
+ R
+1/
(1. 2)
- элементтік жылу ұстау шамасысырт жағынан.
= 23 вт/ м
С.
R
- элекемттәі жылуға қарсылығы
R
= R
+ R
+ . . . + R
R
R
. . . R - элекементтің әр бөлігінің қарсылығы.
Сыртқы қабырға қалыңдығын анықтау
Қаралмақ конструкцияның тұріне байланысты оның тығыздығын анықтаймыз.
=1000 кг/м
.
Нысанның төңірегінің сипаты - төмен ылғалды.
Қаралған элементтің және материалдардын осы есеп үшін сипаттамалары төмендегідей:
Кесте 4
Материалдар мінездемесі
м
кг/м
Вт/мс
S
Вт/м
С
1
2
3
Арнаулы сылақ
Жеңіл бетон
Цементті қойыртпа
0, 02
0, 02
1800
800
1800
0, 76
0, 24
0, 76
9, 6
38, 3
9, 6
Сылақ
Жеңіл бетон
Сурет 1. Конструктивтік сұлба
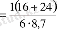
(1. 1) сыртқы ауа райының суықтық деңгейі тәулік бойынша
t =
24
С.
Жалпы қабылдау шамасы бойынша аталған көрсеткішшті (Д 4) кесте бойынша қабылдаймыз. Сонда
R
=
0, 766 мс/вт
R
қажетті жылу беру кедергісін R
R
=1/
+ R
+1/
=
R
1/
+
/
+
/
+
/
=
R
=
=
=
=
=
=0, 18м
Есептеу нәтижесі бойынша қабырғаныің өлшемін тауып 250мм деп қабылдап, нысанның массивті көрсеткішін анықтаймыз.
әр қабаттың сәйкес көрсеткіштерін анықтайтын шамалар
Есептеу нәтижесі бойынша қорытынды шығарып 250мм етіп қабылдаймыз.
Жабын плитаның жылытқыш қалындығын анықтау
Нысанның ең жоғарғы бөлігі жабыны болғандықтан ол сыртқы ауа әсеріне ұшырайды. Шешімі рулонды көпқабатты болғандықтан төмендегідей шешімді қарастырмыз.
Сурет 2. Схемалық тұрде
Кесте 5
Материалдар мінездемесі


Қажетті жылу беру кедергісін R
анықтаймыз.
R
=
0, 65 мс/вт
Жабынның жалпы жылу беру кедергісін келесі өрнекпен анықтаймыз.
R
=1/
+ R
+1/
=
R
1/
+
/
+
/
+
/
=
R
R
=1/8, 7+0, 003/1, 92+0, 05/0, 27+
δ
/0, 14+0, 03/0, 76+0, 03/0, 17+1/23=0, 7
δ
=[0, 65-(0, 115+0, 015+0, 185+0, 21+0, 04+0, 035+0, 043) ] =0, 08
D=0, 03/1, 92∙17, 98+0, 05/0, 21∙6, 8+0, 08/0, 14∙2, 19++0, 03/0, 76∙9, 6+0, 05/0, 17=3, 27 < 4
Шарт орындалды, яғни δ=80 мм.
1. 7 Ғимаратты инженерлік жабдықтау
Ғимарат элементтерінің тотығуын қамтамасыз ету
Бұл жұмысты атқару үшін арнаулы нормаларда көрсетелген шараларды жүзеге асырмаыз.
Пайда болатын шұғыл жағдайларды, өрт, жалын және басқаларды сақтау қауіпсіздендіру мәселерін шешу үшін сәйкес түрде нормативті құжаттардың құрамына сәйкес жұмыстарды атқару қажет. Оның бәрі көзделуге біндетті.
Электр куатын беруді камтамасыз ету үшін арнаулы қойылған РУ-0, 4 кВ шағын трансформатор станциясы іске асырылған.
Апаттық тәртіпті және жұмыс жағдайын ескере отырып 0, 4 кВ күшімен есептелген кестеде келтірілген ТЖ 0, 4 кВ дөңгелектегі орташа түсу салмағы бойынша қуаты 250 кВ әр күшті трансформаторлар қабылдайды.
Өндіріс орнын қажетті мөлшерде сумен қамтамасыз ету үшін өндірістік және шаруашылық, тұрмысқа қажетті судың мөлшері:
1. Өндіріске қажетті - 162 м
/тәулік.
2. Шаруашылық тұрмысқа қажетті - 6, 8 м
/тәулік.
1. 8 Сейсмикаға қарсы шаралар
Өндіріс орны сейсмикалық аймақта орналасқандықтан оған сәйкес түрде арнаулы нормалардың көздейтін чейсмикаға қарсы шаралар ҚР ҚЕ 2. 03-30-2017 бойынша орындалған. Осы үшін нормаға сәйкес ғиимаратта жоғарғы класс бетон, жоғарғы маркалы кірпіш қабырға биіктігі, ені терезе аралық қабырғалар қалыңдығы іргетасты антисейсмикалық белдеумен жүргізу барлық эжтаж деңгейінде антисейсмикалық белдеу орналастыру қойыртпа маркасын 50-ден кем алмау сияқты шаралар жүргізілген.
2 Арнауклы есептер жүргізуді негізгі конструкциялар үшін көздеу
Есеп жүргізу үшін ғимараттың элементтеріңнің негізгі көрсеткіштерін келтіреміз
- Этаж аралық конструкциялар плиталары 3х6м
- Арнаулы стропилалық конструкция 12 м
- Колонналар өлшемі 0, 4х0, 5м. Н=10, 5м
- 1, 2х6 м бүкіл контуры бойынша қоршаушы
- Іргетас - зауыт жағдайында дайындалған тасымалды арнаулы бетон В15
- Құрылыс орны - Сарыагаш қаласы
- Топырақ - саз және құм аралас масса
- Қар жүгіР0=50 кгс/м2
- Жел екпініq0=48 кгс/м2
2. 2 Жабын плитасын есептеу
«Жүктемелерді жинақтау
- Жабын үшін арнаулы плита 3х6
- Жұмысша арматура АТ-V
- Қосымша үшін А-ІІ
- Сымды біліктер ВР-ІІ
- Қолданыстағы бетон В40
Кесте 6
1 шаршы метр үшін
Барлығы
Б. Уақытша қардан Р=500 н/м
Плитаны беріктікке есептеу
Ию моменті М = (q + р) · l 2 /11
Негізгі есеп жүргізуші ртетінде қырлардың маңыздылығы болғандықтан солардың есебін жүргіземіз.
q н ре = 0, 03 · 25000 = 750 Н/м 2
q р ре = q н ре · λ = 750 · 1, 1= 825 Н/м 2 q n = 2650 · 1, 2 = 0, 84 кН/м 2
Плитаға түсетін жалпы жүк.
q = 180 + 120 + 520 +720 +55 + 825 = 2, 42 кН/м 2
l = l 1 - b = 1200 - 100 = 1, 1м Р = 700 · 1, 2 = 0, 84 кН/м 2
нәтижесәнде
М =
= 0, 36
Жабынның сөресінің қалыңдығы
h o = h - a = ht/2 = 3/2 = 1, 5см =15мм
В = 1м болғанда А о коэфициентін анықтаймыз.
λ
=
0, 077
А
S
=
0, 702 cм²
R S = 375 мПа В р - І ф 3 мм арматура үшін.
Бойлық арматураны d = 3 мм пісірілетін торды қабылдаймыз.
Вр - І, S = 100 мм, А S = 0, 71см 2 және көлденең арматуралы А S = 0, 35 см 2 , d = 3мм Вр - І, S = 200 мм сонда с-2
= 2750 + 5900
Плитаның арнаулы биіктетілген конструкцияларын анықтау
Арнаулы қырлар өзара қатаң бекітілгендіктен оларды біртұтас деп қабылдаймыз. Жүк жинақ нәтижесі 1, 2 м аралық үшін
q
n
= q
pe
·γ· q
p
= 2365 · 1, 2 +
· 0, 15 · 1 · 25000 = 31474 H/м
2
q n = 3, 15 кН/м 2
Р = 700 · 1, 2 = 840 Н/м = 0, 84 кН/м 2
q = (q n + p) = 0, 84 H/м = 3, 99 кН/м 2
Сурет 3. Жабын плита сулбасы
Ортадағы ең үлкен есептік көрсеткіш мынадай
М =
=
2
Көлденең күш
Q
А
= (q+р) · l/2 =
= 5, 79 кН
Есептік конструкция үшін оның биіктігі
h o = h - a = 15-3=12 см
Аралықтағы қырдың есепші қимасы сығылу аймағында сөресі bt таврлы болып табылады.
b
f
= 120 > br + 2 (
= 10+2 (
) = 106
Есептік ен үшін bf = 106
λ
=
0, 007
λ = 0, 007 → η = 0, 995; ξ = 0, 01 х = ξ · h o = 0, 01 · 12 = 0, 12 см
х о = 0, 12 < h ф = 3см
Бейтарап осі сөресі арқылы өтеді, сондықтан төменгі бойлық арматураның қажетті ауданы қырда болады.
А
S
=
0, 483 cм²
R S =280 мПа білік ф10 А-ІІ үшін, сонда А S = 0, 785 см 2
Арматуралау проценті
М=
![]()
![]()
Тірек моменті арқылы А о табамыз.
λ=
Сонда λ м = 0, 15 → h = 0, 918, ξ = 0, 77 тіректегі жоғарыда созылған арматураның ауданы
А
S
=
2
Есептеу нәтижесі бойынша темір біліктер үшін қажет аудан:
А S =1, 05 - 0, 35 =0, 7см 2
Жоғарғы және төменгі шыбықтарда дәл солай еніп қабылдаймыз, яғни 1∅10 А-ІІ, А S =0, 785 см 2 . Көлденең арматура болмағанда созылуға және істеу шартынан бойлық күш әсерімен қырдың көтеру қабілетін тексереміз.
Q
b min
=γ
b3
· R
bt
·γ
b
·b·h=0, 6·1, 4·100·0, 9·7, 5·12=6804 H
демек көлденең арматура
< Q
А
=7030 Н
-ға есептеу керек
Q
ωb
=
;
q
Sω
=
S=
=7, 5мм=7, 5см
,
∅10А -III, ∅3Вр - І үшін сонда
q
Sω
=
Q
ωb
=2·
=
Бойлық қырларды беріктікке есептеу
Ұзындығы 1, 2 элемент үшін
l о =l-10/2·ξ=597-10=587см
М max = B (q+р) ·l 2 о /8=
![]()
![]()
М=5, 75 кН/м
Сығылу аймағының шамасы
b t =
![]()
212 см
b f =212 см деп қабылдаймыз.
Көтергіш конструкциялардың есептік биіктігі
h o = h-a = 30-35 = 26, 5 см
Кесіндінің сипатын анықтау үшін оның қимасының өлшемдерін қарап мына формуланы пайдаланамыз
М ≤ R b · λ bs · h f (h o - 0, 5 h f )
М = 57500 H/м < 22·100·0, 9·30·212(26, 5-0, 5-3, 0) = 3148200 H/м
Есепетеу нәтижесінде х < h f
Ені b f = 212 см тік төрт бұрышты өлшелмелі А о коэфициентін есептейміз.
λ =
=0, 019
2. 1. 2 [1] кестеден η=0, 99 ξ=0, 02
Қажетті білік А Т - V класты арматура R sp = 680 мПа үшін бойлық арматураны есептейміз.
А
sp
=
3, 27 cм²
Сәйкесінше 2∅16 А Т - V
А SР =4, 02 см 2
әр қырға 1 шыбықтан орналастырамыз.
М=4, 02·100/(16·26, 5) =0, 95%
Q
max
=
37, 2 кН
бір қырға
Q=
Q b min = ψ b min · R bt · b · h o = 0, 6 · 1, 4 · 100 · 0, 9 · 10 · 26, 5 = 19, 03 кН
2. 2. Кеңісті торкөзді жабын арқалығын есептеу
2. 2. 1 Жобалауға арналған мәліметтер
В 30 класты ауыр бетон; жұмыс шарты коэффициенті
;
;
;
Алдын ала пернелейтін арматура А V класты (
Equation. 3 ;
;
; )
Қарапайым арматура А III класты
мм диаметрлі
мПа;
кезде
;
және периодты профильді арматура сымынан
I класты, диаметрі 5мм
;
;
.
Арматураны керудің механикалық әдісі қолданылады. Алдын-ала кернеу
, беріліс кедергі
кезінде бетон сығылады. Бетон жылулық өңдеуден өтеді.
Арқалықтарға қырлы 3*6 м панельдер тіреледі. Арқалықтар ауа ылғалдылығы 40% - тен жоғары болғанда пайдаланылады.
2. 2. 2 Есептік аралық пен күш салмақтар.
Тіректердің осьтері бойынша арқалықтың есептік аралығы
Мұнда; 0, 13м- арқалықтың сыртқы ұшынан тірек осіне дейінгі қашықтық.
Арқалықтың өз салмағынан түсетін күш салмақты біркелкі таралған етіп қабылдаймыз. Өз салмағы 10, 4 т және арнаулы бойынша сенімділік коэффициенті
күш салмақ бойынша сенімділік коэффициенті
ескеріп арқалықтың 1 м-не түсетін күш салмақ
Кесте 2 Күш салмағы



Тұрақты
Жабын панелі
Су өткізбейтін қабат
Қорытынды
Уақытша (қысқа мерзімді)
Қар
1, 49*3*6=26, 82
1, 15*3*6=20, 7
G n =47, 52
S n =1, 0*3*6=12, 06
1, 1
1, 3
1, 4
29, 5
26, 91
G=56, 41
S=16, 88
болғандығы күш салмақ
Жабын панелінен
коэффициентін шоғырланған күштер ретінде берілетін күш салмақ жоғарыдағы кестеде келтірілген.
2. 2. 3 Ішкі күштерді анықтау.
Торлы арқалықты қуыстары бар арқалық ретінде қарастырамыз. Мұндай арқалықтың есептік сызбасы екі тректе бос жатқан арқалық.
Көлденең күш (тірек реакциясы),
коэффиценті болғанда толық күш салмақтар.
;
Ұзақ мерзімді күш салмақтан
;
кезінде толық күш салмақ
;
Июші моменттік арқалық қимасында (29 суретте) анықталады
Мұндағы: х - тіректен қарастырылатын қимасына дейінгі қашықтық
d i - тіректен қадалған күшіне дейінгі қашықтық
(қарастырылатын қиманың сол жағында орналасатын күштер ескеріледі) .
Моменттер мәндері, kН *м, кестеден көрсетілген
Кесте 3 Моменттер мәндері







2. 2. 4 Тік қималарды беріктікке есептеу
Қиманың биіктігі
мм.
Мұндағы
- аралықтың жоғарғы белдеуінің көлбеулігі;
a=130 мм - аралықтың шеткі бетінен тірек осіне дейінгі қашықтың есептеу реті.
мПа
мм (бұл жерде d=18 мм
мПа
кернеуін есептеу үшін белгісіз толық шығындар кезінде арматураның алдын ала кернеуін қабылдаймыз.
кезінде
болады
V
болғандықтан
деп қабылдаймыз
кезінде
арматураны қабылдаймыз.
4Ø12 А V және 5 Ø14 А V
2. 2. 5 Көлденең күш бойынша көлбеу қимасын беріктікке есептеу
Ылдилы кесінді ең жақын шоғырланған күш салмақ Ғ
1
тірек қырына дейінгі қашықтық.
.
Есептеу реті:
;
Мұнда,
ауыр бетон үшін;
мПа тең деп алынған.
Есепті жалғастырамыз, өйткені
.
Көлбеу қиманың проекциясының ең үлкен ұзындығы
-;
мм
мм.
Есептеу реті.
Мұнда
.
,
,
2. 2. 6. Қиманың геометриялық сипаттамасы
2 суретте көрсетілген есептік қималарың геометриялық сипаттамаларын анықтаймыз. 2-2, 3-3, 4-4 қималарында қуыстар биіктік шегінде бетон жоқ болады
1. Бетон қимасының ауданы
2. Бүкіл ұзына бойлық арматура қимасының ауданы: 4 О 16 AV және 2 О 18 AV (A SP =13. 13см 2 ) ;
[Төменгі кернелмеген арматура] → 4 О 5 B P I (A S =0. 785см 2 ) 4 О 12 А III
(A S 1 =4, 5 см 2 ) жоғарғы кернелмеген арматура.
Онда A SP +A S +A S I =13, 13+0, 785+4, 52=18, 44см 2
... жалғасы- Іс жүргізу
- Автоматтандыру, Техника
- Алғашқы әскери дайындық
- Астрономия
- Ауыл шаруашылығы
- Банк ісі
- Бизнесті бағалау
- Биология
- Бухгалтерлік іс
- Валеология
- Ветеринария
- География
- Геология, Геофизика, Геодезия
- Дін
- Ет, сүт, шарап өнімдері
- Жалпы тарих
- Жер кадастрі, Жылжымайтын мүлік
- Журналистика
- Информатика
- Кеден ісі
- Маркетинг
- Математика, Геометрия
- Медицина
- Мемлекеттік басқару
- Менеджмент
- Мұнай, Газ
- Мұрағат ісі
- Мәдениеттану
- ОБЖ (Основы безопасности жизнедеятельности)
- Педагогика
- Полиграфия
- Психология
- Салық
- Саясаттану
- Сақтандыру
- Сертификаттау, стандарттау
- Социология, Демография
- Спорт
- Статистика
- Тілтану, Филология
- Тарихи тұлғалар
- Тау-кен ісі
- Транспорт
- Туризм
- Физика
- Философия
- Халықаралық қатынастар
- Химия
- Экология, Қоршаған ортаны қорғау
- Экономика
- Экономикалық география
- Электротехника
- Қазақстан тарихы
- Қаржы
- Құрылыс
- Құқық, Криминалистика
- Әдебиет
- Өнер, музыка
- Өнеркәсіп, Өндіріс
Қазақ тілінде жазылған рефераттар, курстық жұмыстар, дипломдық жұмыстар бойынша біздің қор #1 болып табылады.

Ақпарат
Қосымша
Email: info@stud.kz