Диэлектриктердің интерфейсіндегі электр өрісі


Жоспар
Кіріспе . . . 2
1. Диэлектриктердегі электр өрісі . . . 3
2. Электрлік диполь . . . 5
3. Диэлектриктердің интерфейсіндегі электр өрісі . . . 7
4. Ортаның диэлектрлік өтімділігі . . . 8
5. Байланысты зарядтар . . . 9
6. Сегнетоэлектриктер . . . 12
7. Электрлік орын ауыстыру векторы . . . 15
8. Электрострикция және пьезоэлектрлік . . . 16
Қорытынды . . . 19
Пайдаланылған әдебиеттер тізімі . . . 20
Кіріспе
Диэлектриктің поляризациясы дегеніміз дипольдің бағытталуы немесе электр өрісінің әсерінен дипольдардың өріс бойымен бағытталуы.
Диэлектриктердің үш түріне байланысты, поляризацияны үш түрге бөледі.
1) Полярлы емес диэлектриктің электронды немесе деформационды поляризациясы дегеніміз электрондық орбитаның диформациясының есебінен диэлектриктің атомдары мен молекулаларында индуцирленген дипольдік моменттің пайда болуы.
2) Полярлы молекулалы диэлектриктің бағытталған, немесе дипольдік поляризациясы дегеніміз молекулада бар дипольдік моментердің өріс бойынша бағытталуы (бұл бағытталу электр өрісінің кернеулігі үлкен болған және температура төмен болған сайын күштірек болады) .
3) Ионды кристалды торлы диэлектриктің ионды поляризациясы дегеніміз тор асты оң таңбалы иондардың өріс бойымен, ал теріс таңбалы иондардың өріске қарсы ығысуынан дипольдік моментің пайда болуына әкелуі.
Диэлектрик (dielectric) - поляризацияға қабілеттілігі негізгі электрлік қасиеті болып табылатын, металлдар мен шалаөткізгіштерге қарағанда электр тогын нашар өткізетін, үлестік электр кедергісі өте үлкен (j = 10^6/10^16 Ом • м) қатты, сұйық және газ тәріздес заттар. Газ тәрізді диэлектриктер туралы негізгі мәліметтер Газ тәрізді диэлектриктерге барлық газдар және ауа жатады. Көптеген газдарды газ толтырылған конденсаторларда, жоғары кернеуліктегі ауа ажыратқыштарда және басқа электртехникалық қондырғыларда диэлектриктер ретінде қолданады. Ауа барлық электрлік қондырғыларды айнала қоршайды және диэлектрик сияқты олардың жұмысының сенімділігін анықтайды.
Электр тогын өткізу қабілетіне байланысты барлық материалдар өткізгіштер, диэлектриктер және жартылай өткізгіштер болып бөлінеді. Бұлардың электрлік қасиеттерін салыстырайық. Өткізгіштерде өте көп бос зарядты тасымалдаушы бөлшектер болады. Қатты өткізгіштердің көпшілігін металдар құрайды. Металдардың жоғарғы электр өткізгіштігі олардың кристалдық торының құрылымымен түсіндіріледі.
Сыртқы электр өрісінде диэлектриктегі оң және теріс зарядтардың қайта таралып орналасуы диэлектриктің поляризациясы деп аталады.
Диэлектриктің поляризациясын сандық сипаттау үшін поляризация векторы енгізілген. Бірлік көлемдегі дипольдік моменттердің қосындысын поляризация векторы деп атайды.
1. Диэлектриктердегі электр өрісі
Электрлік қасиеттеріне байланысты заттар өткізгіштерге, жартылай өзкізгіштерге және диэлектриктерге бөлінеді.
Электр тогын өткізбейтін заттарды диэлектриктер (изоляторлар) деп атайды. Диэлектриктер полярлы (полюсті) және полярсыз (полюссіз) болып екіге бөлінеді. Молекулаларындағы оң және теріс зарядтардың центрі бір-біріне дәл келетін диэлектриктерді полярсыз деп атайды. Мысалы: H2, O2, N2, CCl4. Молекулаларындағы оң және теріс зарядының центрі бір-біріне сәйкес келмейтін диэлектриктерді полярлы (полюсті) деп атайды. Мысалы: CO, NH, HClСыртқы электр өрісінде орналасқан полярсыз диэлектриктің молекуласындағы оң және теріс зарядтар бір-біріне қатысты ығысады: оң зарядтар электр өрісі бағытында, ал теріс зарядтар өріс бағытына қарсы. Нәтижесінде молекула электрлік дипольға айналады және оның дипольдік моменті электр өрісінің кернеулігіне тура пропорционал болады.
Диэлектриктер-бұл электр тогын өткізбейтін заттар. Егер металдардың (жақсы өткізгіштердің) меншікті кедергісі 10-8 . . . 10-6 ОМ. М аралығында болса, онда диэлектриктер үшін бірдей физикалық шама 106 . . . 108 ОМ. М. диэлектриктер кез-келген агрегаттық күйдегі заттар арасында кездеседі.
Диэлектрик молекулалары электрлік бейтарап болғанымен, олардың электрлік қасиеттері бар, яғни олар сыртқы электр өрісіне жауап береді. Жоғарыда кез-келген электронейтралды зарядтар жиынтығынан пайда болған өрісті сәйкес диполь өрісі ретінде ұсынуға болатындығы атап өтілді. Оның зарядтары осы популяцияның жалпы оң және теріс зарядтарына тең және олардың орталықтарында орналасқан; орталықтардың координаттары берілген бөлшектер санынан (нүктелік массалардан) тұратын дене массаларының центрін анықтауға ұқсас.
Молекулалар ішіндегі зарядталған бөлшектердің өзара орналасуына байланысты полярлы және полярлы емес диэлектриктер ажыратылады. Сыртқы электр өрісі болмаған кезде оның молекулаларының оң және теріс зарядтарының орталықтары сәйкес келсе, диэлектрик полярлы емес деп аталады. Диэлектрик молекулаларын электрлік диполь ретінде қарастыра отырып, электр өрісі болмаған кезде полярлы емес молекуланың диполь қолы және сәйкесінше оның диполь моменті нөлге тең деп айтуға болады. Сыртқы өріс қосылған кезде молекулалардың электронды қабықшалары деформацияланады, оң және теріс зарядтардың орталықтары бір-біріне ауысады, молекулалар индукцияланған дипольдік моментке ие болады және өздерінің электр өрісінің көзіне айналады. Бұл процесс (құбылыс) электронды поляризация деп аталады. Тәжірибе көрсеткендей, оң және теріс заряд орталықтарының өзара сысуы сыртқы өрістің қарқындылығына пропорционалды. Осыған байланысты полярлы емес диэлектриктің молекулалары ұзартылуы қолданылатын күшке пропорционалды серіппеге ұқсас. Сондықтан полярлы емес молекулалар серпімді дипольдер деп аталады; олардың қатарына сутегі, азот, оттегі және т. б. молекулалар жатады.
Диэлектрик полярлы деп аталады, егер оның молекулаларында сыртқы электр өрісі болмаса да нөлдік емес диполь моменті болса. Полярлық диэлектриктің молекулаларында оң және теріс зарядтардың орталықтары сәйкес келмейді; сыртқы өріс олардың қосымша өзара сысуын тудырады, сонымен қатар молекулаларды дипольдік моменттері өрістің кернеу сызықтары бойымен орналасатындай етіп бұруға бағытталған бағдарлаушы әсер етеді. Бұған жылу қозғалысы кедергі келтіреді; нәтижесінде сыртқы өрістің бағытына қатысты дипольдік моменттердің кейбір басым бағыты белгіленеді. Бұл құбылыс диэлектриктердің бағдарлы поляризациясы деп аталады. Есептеулер көрсеткендей, кернеуі 108 В/м дейінгі өрістерде (диэлектриктердің бұзылуы болған кезде) оң және теріс зарядтардың өзарамещысуын елемеуге болады. Сондықтан полярлық молекулалар қатты дипольдер деп аталады; бұл су, алкоголь және т. б. молекулалары.
Типті иондық кристалдарда
заттың молекулалары даралығын жоғалтады. Сондықтан иондық кристалдың торын бірі оң, екіншісі теріс иондар түзетін екі біріктірілген құрылым ретінде қарастыруға болады. Сыртқы өрістің әсерінен екі тор да қарама-қарсы бағытта ығысады, бұл деп аталатынға әкеледі. иондық поляризация.
Поляризация векторы диэлектрлік поляризацияның сандық сипаттамасы ретінде қолданылады
. Егер диэлектрик біркелкі поляризацияланса, яғни. оның әрбір нүктесінде бірдей болса, онда поляризация векторы - заттың бірлік көлеміндегі молекулалардың дипольдік моменттерінің қосындысы:
(1)
(Мұнда
жеке молекуланың дипольдік моменті,
- көлемі) . Біртекті емес поляризация жағдайында диэлектриктің белгілі бір нүктесіндегі поляризация векторының мәні бар:
. (2)
Анықтамадан вектордың модулінің өлшем бірлігі екені шығады
- 1 С/м2. Тәжірибе көрсеткендей, диэлектриктердің көпшілігі үшін поляризация векторы сыртқы электр өрісінің күшіне пропорционал болады:
. (3)
Мұнда
нақты диэлектрикті сипаттайтын өлшемсіз скаляр шама болып табылады; ол диэлектрлік сезімталдық деп аталады. Диэлектриктердің ерекше тобы бар - ферроэлектриктер, олар поляризацияның сыртқы өріс кернеулігіне сызықтық емес тәуелділігімен сипатталады (олар кейінірек қарастырылады) .
2. Электрлік диполь
Электрлік диполь деп шамалары жағынан тең, жүйе өрісі анықталатын нүктеге қарағанда ара қашықтығы (l ) едәуір аз әр аттас екі (+q, -q) нүктелік зарядтан құралған жүйені айтады. Зарядтар арқылы жүргізілген түзу диполь осідеп аталады. Дипольдер осі бойынша теріс зарядтан оң зарядқа қарай бағытталған және зарядтардың ара қашықтығы ( l) -ге тең вектор диполь иіні деп аталады.
Диполь моменті деп оң заряд шамасының зfрядтар ара қашықтығына көбейтіндісін және диполь иінінің бағытымен бағыттас векторды айтады.
= g (4)
Әрбір нүктедегі өріс нүктелік зарядтар (+ g, - g) туғызатын және өрістердің суперпозициясы бойынша табылады. Диполь өріс кернеулігіне тән, ол дипольді туғызатын зарядтар шамасы арқылы емес, диполь моменті (P = gl) арқылы анықталады. Диполь өрісінің кернеулігі
E = * (5)
Микроскопиялық деңгейде өрістегі диэлектриктердің мінез-құлық механизмін түсіну үшін алдымен электрлік бейтарап жүйенің сыртқы электр өрісіне қалай жауап беретінін түсіндіруіміз керек. Қарапайым жағдай - зарядтардың толық болмауы - бізді қызықтырмайды. Біз диэлектрикте электр зарядтары бар екенін білеміз - атомдар, молекулалар, кристалдық тор иондары және т. б. сондықтан біз құрылыстың қарапайымдылығы бойынша келесі электронды бейтарап жүйені қарастырамыз - шамасы бойынша екі тең және белгісі бойынша қарама -қарсы нүктелік зарядтар +q және-q, бір-бірінен l қашықтықта орналасқан. Мұндай жүйе электрлік диполь деп аталады.
Электрлік диполь-бұл бір-бірінен l қашықтықта орналасқан екі нүктелік тең және белгіге қарама-қарсы зарядтардан тұратын жүйе (2-сурет) .
2-сурет. Электрлік диполь
Электр өрісінің кернеу сызықтары мен электр дипольінің эквипотенциалды беттері келесідей. (3, 4, 5 - суреттер)
3-сурет. Электр диполь электр өрісінің кернеу сызықтары
4-сурет. Электрлік дипольдің эквипотенциалды беттері
5-сурет. Электр өрісінің кернеу сызықтары және эквипотенциалды беттер
3. Диэлектриктердің интерфейсіндегі электр өрісі
Өткізгіштігі бар екі диэлектриктің әрқайсысына рұқсат етіңіз
Және
біркелкі электр өрісінің кернеулігін құрады
Және
. Жазық диэлектриктік интерфейстегі кернеу мен электрлік орын ауыстыру векторлары қанағаттандыруға тиісті шарттарды табайық. Дәлелдеуді жеңілдету үшін векторлар деп есептейміз
интерфейске перпендикуляр жазықтықта орналасады және интерфейсте сыртқы зарядтар болмайды.
Электр ығысу сызықтары тек сыртқы зарядтардан басталып, аяқталатыны жоғарыда айтылған болатын. Егер интерфейсте олар болмаса, онда бірінші диэлектриктен екіншісіне өту кезінде сызықтар саны өзгермейді. Белгілі болғандай, белгілі бір бетті кесіп өтетін сызықтардың саны сәйкес вектордың осы бет арқылы өтетін ағынына пропорционал. Екі диэлектрикте де электрлік орын ауыстыру сызықтарының бірдей саны векторлық ағынды білдіреді
бірінші ортадан екіншісіне ауысқанда өзгермейді. Бұл вектордың ағыны интегралмен анықталады
, (6)
Қайда
векторлық проекция болып табылады
бетіне қалыпты бағытта. Ағынның өзгермейтіндігі соны білдіреді
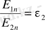
, яғни. бірінші және екінші диэлектриктегі электр индукция векторының қалыпты құраушылары бірдей. Мынадай жағдай болса
, бізде бар:
. (7)
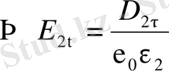
Бірінші ортаны вакуум деп алсақ (
), Бұл
. (8)
Бұл ортаның диэлектрлік өткізгіштігінің физикалық мағынасын білдіреді: ол берілген ортадағы электр өрісінің кернеулігінің қалыпты құрамдас бөлігі вакуумдағыдан қанша есе аз екенін көрсетеді.
Үштангенциалды құрамдас векторлар үшін шекаралық шарттарды модельдеу
Және
, біз циркуляция теоремасын қолданамыз:
. Интегралдау контуры ретінде біз диэлектрлік интерфейстің бойымен тіктөртбұрышты таңдаймыз, осылайша
(6-сурет) .
6-сурет
Осы шартты және контурды айналып өтудің таңдалған бағытын ескере отырып, бізде:
;
,
,
. (9)
Сонымен, вектордың нормаль компоненті
және вектордың тангенциалды компоненті
бір диэлектриктен екіншісіне өткенде өзгермейді. Вектордың тангенциалдық компоненті
және вектордың қалыпты компоненті
күрт өзгереді, яғни. үзіліс жасау. Осы заңдылықтардан диэлектриктер арасындағы шекарадағы кернеу сызықтары мен электрлік орын ауыстыру сызықтары сынатыны шығады.
4. Ортаның диэлектрлік өтімділігі
Қоршаған ортаның салыстырмалы диэлектрлік өткізгіштігі ε-оқшаулағыш (диэлектрлік) ортаның қасиеттерін сипаттайтын өлшемсіз физикалық шама. Электр өрісінің әсерінен диэлектриктердің поляризация әсерімен байланысты (және осы әсерді сипаттайтын ортаның диэлектрлік сезімталдық шамасымен) . Ε шамасы ортадағы екі электр зарядының өзара әрекеттесу күші вакуумға қарағанда неше есе аз екенін көрсетеді. Қалыпты жағдайда ауаның және басқа газдардың салыстырмалы диэлектрлік өткізгіштігі бірлікке жақын (олардың тығыздығы төмен болғандықтан) . Көптеген қатты немесе сұйық диэлектриктер үшін салыстырмалы диэлектрлік өткізгіштік 2-ден 8-ге дейін (статикалық өріс үшін) . Статикалық өрістегі судың диэлектрлік тұрақтысы өте жоғары-шамамен 80. Оның үлкен электр диполы бар молекулалары бар заттар үшін маңызы зор. Ферроэлектриктердің салыстырмалы диэлектрлік өткізгіштігі ондаған және жүздеген мың.
Поляризация салдарынан диэлектрик бетінде компенсацияланбаған зарядтар пайда болады, олар байланысқан зарядтар деп аталады (олардың сыртқы өріс тудыратын еркін зарядтан айырмашылығы) .
Байланысқан зарядтар жасайтын диэлектрик ішіндегі өріс еркін зарядтар жасайтын сыртқы өріске қарсы бағытталған.
Біздің жағдайда өрісті беттік тығыздығы шексіз зарядталған екі жазықтық жасайды.
, (10)
Сондықтан
(11)
Қалыңдығы d және қырының ауданы S диэлектрлік пластинкаларының толық дипольдік моменті
pv=PV=PSd (12)
екінші жағынан pv = qd = осыдан
Бұл диэлектрліктің электрлік өрісте поляризациялану қабілетін және өріс диэлектр арқылы қанша есе нашарлайтындығын көрсетеді.
Диэлектрлік өткізгіштіктің табиғаты электр өрісінің әсерінен поляризация құбылысына негізделген. Заттардың көпшілігі электрлік бейтарап, бірақ құрамында зарядталған бөлшектер бар. Бұл бөлшектер заттың массасында ретсіз орналасады және олардың электр өрістері бір-бірін орта есеппен бейтараптайды.
Диэлектриктерде негізінен байланысты зарядтар бар (оларды диполь деп атайды) . Бұл дипольдер шартты түрде диэлектриктің қалыңдығы бойынша өздігінен бағытталған және орта есеппен электр өрісінің нөлдік кернеуін тудыратын екі түрлі бөлшектердің байламдары болып табылады. Сыртқы өрістің әсерінен дипольдер қолданылатын күшке сәйкес бағдарлануға тырысады. Нәтижесінде қосымша электр өрісі пайда болады. Ұқсас құбылыстар полярлы емес диэлектриктерде де кездеседі.
Өткізгіштерде процестер ұқсас, тек сыртқы өрістің әсерінен бөлінетін және өздерінің электр өрісін жасайтын бос зарядтар бар. Бұл өріс сыртқыға бағытталған, зарядтарды қорғайды және олардың өзара әрекеттесу күшін азайтады. Заттың поляризация қабілеті неғұрлым көп болса, ε соғұрлым жоғары болады.
5. Байланысты зарядтар
Диэлектрлік ортадағы электр өрісі диэлектриктің (сыртқы зарядтар) молекулаларының бөлігі болып табылмайтын зарядтармен жасалған сыртқы өрістің суперпозициясы және молекулалардың зарядтарына байланысты ішкі өріс - деп аталады. байланысты төлемдер. Бұл жағдайда негізгі рөл сыртқы зарядтарға тиесілі, өйткені байланысқан зарядтар өрісі сыртқы өрістің әсерінен диэлектриктердің поляризациясы нәтижесінде пайда болады.
Алдымен поляризация векторы кез келген нүктесінде бірдей болатын біркелкі поляризацияланған диэлектрикті қарастырайық. . Мұндай диэлектриктің ішіндегі кез келген шағын көлемнің жалпы электр заряды әрқашан нөлге тең. Басқаша айтқанда, біркелкі поляризацияланған диэлектриктің ішінде байланысқан поляризация зарядтары болмайды. Оның жер бетіне жақын жұқа қабатында жағдай басқаша. Шынында да, егер диэлектрик бетінің қандай да бір нүктесіндегі сыртқы өрістің қалыпты құрамдас бөлігі нөлге тең болса, онда сыртқы өрістің әсерінен бірдей таңбалы молекулалардың зарядтары бетіне шығады, қарама-қарсы таңбалы зарядтар ішке енеді ( 7, а-сурет) . Нәтижесінде поляризацияланған бетінде
7-сурет
диэлектрик, байланысқан зарядтардың жұқа қабаты (беттік поляризация зарядтары деп аталатын) түзіледі. Олардың бетінің тығыздығы анық
диэлектриктің поляризациясына байланысты (мұнда
ауданы бар элементар беттегі байланысқан зарядтың мәні
) . Бұл тәуелділікті табу үшін сыртқы электр өрісінде біркелкі поляризацияланған жазық-параллель диэлектрлік пластинаны қарастырайық; өріс кернеулігі сызықтары пластинаның сыртқы бетіне нормальмен бұрыш жасайды
(7, б-сурет) . Ұзындығы генераторлары бар пластинадағы қиғаш цилиндрді ойша бөліп алайық
, кернеу сызықтарына параллель және ауданы бар негіздер
(диэлектриктің поляризация векторы мен керілу сызықтары кодиректорлы екені анық) . Мұндай цилиндрдің көлемі
, оның дипольдік моменті
(13)
Мұнда
поляризация векторының модулі. Диэлектрик біркелкі , оның ішіндегі кез келген шағын көлемнің таза электр заряды нөлге тең. Демек, электрлік қасиеттері бойынша ерекшеленетін цилиндр зарядтары бар дипольге тең.
осы цилиндрдің негіздеріне шоғырланған; оның дипольдік моменті
. Теңдікті (13) ескере отырып, бізде:
, (14)
Қайда
поляризация векторының сыртқы нормальға проекциясы болып табылады. Өйткені
,
. (15)
Бұл нәтиже сыртқы біртекті емес өрістегі біртекті емес поляризацияланған диэлектрик үшін де жарамды екенін көрсетуге болады.
Егер диэлектрикk біркелкі емес поляризацияланған, оның шағын көлемінің ішіндегі жалпы электр заряды, жалпы айтқанда, нөлге тең емес. Демек, диэлектриктегі поляризация нәтижесінде көлемдік байланысқан (поляризация) зарядтар пайда болуы мүмкін. Олардың тығыздығы арасындағы қатынасты табу үшін
және поляризация, біз полярлы емес диэлектрикте ауданы бар элементар бетті ойша таңдаймыз
. Одан әрі пайымдауды жеңілдету үшін сыртқы өрістің әсерінен тек оң зарядтар ығысады, ал теріс зарядтар орнында қалады деп есептейміз. Бұл жағдайда көлемді көлбеу цилиндрге салынған молекулалардың оң зарядтары
, Қайда
- оң зарядтардың орын ауыстыру шамасы (-сурет) . Егер
көлем бірлігіне келетін молекулалар саны
8-сурет
диэлектрик және
бір молекуланың оң байланысқан заряды болса, онда поляризация нәтижесінде жалпы заряд таңдалған бет арқылы өтеді.
. Құннан бері
молекуланың индукцияланған дипольдік моментінің модулі және туындысы болып табылады
поляризация векторының модулі болып табылады, бізде:
Мұнда
таңдалған беттің векторы. Әйтпесе айтқанда, диэлектрлік поляризация нәтижесінде таңдалған бет арқылы өткен жалпы оң байланысқан заряд осы бет арқылы өтетін поляризация векторының ағынына сандық түрде тең.
Әрі қарай, біз диэлектриктің ішіндегі жабық бетті таңдаймыз
. Поляризация нәтижесінде ол арқылы өткен байланысқан оң зарядты поляризация векторының ағыны ретінде көрсетуге болады:
. (16)
Остроградский-Гаусс теоремасы бойынша
. (17)
Сондықтан беттің ішінде теріс байланысқан заряд қалады
. (18)
Бұл зарядты оның көлемдік тығыздығымен өрнектесек, келесі теңдеуге келеміз:
. (19)
Бұл байланысқан зарядтардың көлемдік тығыздығы мен диэлектриктің поляризациясы арасындағы қажетті қатынасты білдіреді:
. (20)
Бұл теңдік диэлектриктің ішіндегі көлемнен оң байланысқан зарядтар пайда болады деген болжаммен алынады. Алайда, шын мәнінде, оның жалпы мағынасы бар: одан поляризация нәтижесінде диэлектриктің таңдалған көлемінің электрлік бейтараптығы бұзылған кезде көлемдік байланысқан зарядтар пайда болады. Бұл нәтиже полярлы диэлектрик жағдайында да жарамды.
6. Сегнетоэлектриктер
Сегнетоэлектриктер - белгілі температуралар аралығында (сегнетоэлектрлік фазаға сәйкес) бағыты сыртқы әсерлер арқылы (электр өрісімен немесе механикалық кернеулермен) өзгертіле алатын спонтанды поляризацияланған кристалл диэлектриктер (соның ішінде сұйық кристаллы) .
Сегнетоэлектриктерде бір жақты бағытталган спонтанды поляризация аймақтары - сегнетоэлектрлік домендер бар. Сыртқы әсерден Сегнетоэлектриктер көп доменді күйден монодоменді күйге өтуі мүмкін. Сегнетоэлектриктердің осы қасиеті ЕЭМ-ның еске сақтау құрылғыларын жасауда пайдаланылады. Көптеген Сегнетоэлектриктердің диэлектрлік өтімділігі және пьезоэлектрлік константаларының аномальды жоғары мәндері болады және cегнетоэлектриктердің физикалық қасиеттері температураға тәуелді.
Осы уақытқа дейін қарастырдық «қарапайым» диэлектриктер пайдаланылды, олардың поляризациясы сыртқы электр өрісі болмаған кезде әрқашан нөлге тең болады. Дегенмен, деп аталатындар бар. ферроэлектрлік кристалдар (ферроэлектриктер), олар өздігінен жүретін, т. өздігінен поляризация. Мұның себебі, кристалдық тордың көршілес учаскелерінде орналасқан атомдардың дипольдік моменттері өзара әрекеттесуіне байланысты белгілі бір бағытта бағдарлануға бейім болады. Бұл тәртіпке бейімділік атомнан атомға беріледі; нәтижесінде домендер деп аталатын кристалдың бүкіл макроскопиялық аймақтары өздігінен поляризациялануы мүмкін.
Ферроэлектриктердің кәдімгі диэлектриктерден ерекшеленетін тағы бір ерекшелігі олардың рекордтық жоғары өткізгіштігі болып табылады. Мысалы, өте жақсы диэлектрик болып саналатын слюда үшін,
, ал ферроэлектриктердің диэлектрлік өткізгіштігі ондаған мыңға жетуі мүмкін. Үшінші ерекшелігі - поляризация векторының модулінің сыртқы электр өрісінің күшіне тәуелділігі негізінен сызықты емес (9, а-сурет) . 1-қисық негізгі поляризация қисығы деп аталады, өйткені оның басы нүктеде
, Қайда
Және
(нөлдік поляризацияға кристалды әртүрлі күшті және бағыттағы өрістерге әсер ету арқылы қол жеткізуге болады) . Көбеюімен
1 қисығы қанығуға дейін поляризацияның ұлғаюын көрсетеді (
) . Егер қазір өріс күші төмендесе, онда
қалдық поляризация бар (
қисық 2 бойынша) . Поляризация нөлге тең болуы үшін өрістің бағытын өзгертіп, қарқындылықты мәнге дейін арттыру қажет.
, ол ферроэлектрдің мәжбүрлі күші деп аталады. Әрі қарай өсумен
9-сурет
... жалғасы- Іс жүргізу
- Автоматтандыру, Техника
- Алғашқы әскери дайындық
- Астрономия
- Ауыл шаруашылығы
- Банк ісі
- Бизнесті бағалау
- Биология
- Бухгалтерлік іс
- Валеология
- Ветеринария
- География
- Геология, Геофизика, Геодезия
- Дін
- Ет, сүт, шарап өнімдері
- Жалпы тарих
- Жер кадастрі, Жылжымайтын мүлік
- Журналистика
- Информатика
- Кеден ісі
- Маркетинг
- Математика, Геометрия
- Медицина
- Мемлекеттік басқару
- Менеджмент
- Мұнай, Газ
- Мұрағат ісі
- Мәдениеттану
- ОБЖ (Основы безопасности жизнедеятельности)
- Педагогика
- Полиграфия
- Психология
- Салық
- Саясаттану
- Сақтандыру
- Сертификаттау, стандарттау
- Социология, Демография
- Спорт
- Статистика
- Тілтану, Филология
- Тарихи тұлғалар
- Тау-кен ісі
- Транспорт
- Туризм
- Физика
- Философия
- Халықаралық қатынастар
- Химия
- Экология, Қоршаған ортаны қорғау
- Экономика
- Экономикалық география
- Электротехника
- Қазақстан тарихы
- Қаржы
- Құрылыс
- Құқық, Криминалистика
- Әдебиет
- Өнер, музыка
- Өнеркәсіп, Өндіріс
Қазақ тілінде жазылған рефераттар, курстық жұмыстар, дипломдық жұмыстар бойынша біздің қор #1 болып табылады.

Ақпарат
Қосымша
Email: info@stud.kz