Күштік электр жүктемесін есептеу


Ш. ЕСЕНОВ АТЫНДАҒЫ КАСПИЙ МЕМЛЕКЕТТІК ТЕХНОЛОГИЯЛАР ЖӘНЕ ИНЖИНИРИНГ УНИВЕРСИТЕТІ
ИНЖИНИРИНГ ФАКУЛЬТЕТІ
КОМПЬЮТЕРЛІК ИНЖИНИРИНГ КАФЕДРАСЫ
«Өндірістiк кәсiпорындарды электрмен жабдықтау»пәні бойынша
КУРСТЫҚ ЖҰМЫСТЫҢ
ТҮСІНІКТЕМЕ ЖАЗБАСЫ
Тақырыбы: Өндірістік кәсіп орындарды электрмен жабдықтау
Студен Есназаров З. М
қолтаңба аты, жөні. дата
Ғылыми жетекші Балекова. А
қолтаңба аты, жөні. Дата
Ақтау 2022
МАЗМҰНЫ
КІРІСПЕ.
1 КУРСТЫҚ ЖҰМЫСҚА ТАПСЫРМА . . .
2 КУРСТЫҚ ЖҰМЫСТЫ ОРЫНДАУҒА ҚОЙЫЛАТЫН ТАЛАПТАР . . .
3 ЕСЕПТЕУ МЫСАЛЫ . . .
3. 1 Күштік электр жүктемесін есептеу . . .
3. 2 Орнықталған қуаттар әдісі бойынша жарықтандыру жүктемелерін есептеу . . .
3. 3 0, 4 кВ шиналарындағы реактивті қуаттар компенсациясының және цехтық трансформаторлардың санын анықтау . . .
3. 4 10кВ шиналардағы электр жүктемесін есептеу . . .
3. 5 БТҚС трансформаторларын және ӘЭЖ қоректендіргіш сымдарын таңдау . . .
3. 6 Жоғары вольтты аппараттарды таңдау . . .
ҚОСЫМША . . .
ПАЙДАЛАНЫЛҒАН ӘДЕБИЕТТЕР ТІЗІМІ . . .
Кіріспе
Қазіргі уақытта қазіргі адамның өмірі мен қызметін электр қуатын қолданбай елестету мүмкін емес. Электр энергиясының басты артықшылығы-өндірудің, берудің, ұсақтаудың, түрлендірудің салыстырмалы қарапайымдылығы.
Электрмен жабдықтау жүйесі (СЭС) электр энергиясын өндіруге, беруге және таратуға арналған құрылғылар жиынтығы деп аталады. Өнеркәсіптік кәсіпорындардың СЭС әртүрлі машиналар мен механизмдердің электр қозғалтқыштары, электр пештері, электролиз қондырғылары, электр дәнекерлеуге арналған аппараттар мен машиналар, жарықтандыру қондырғылары және т. б. кіретін өнеркәсіптік қабылдағыштарды электр энергиясымен қамтамасыз ету үшін құрылады.
Өнеркәсіптік кәсіпорынды электрмен жабдықтау міндеті электр жетегін әртүрлі машиналар мен механизмдердің қозғаушы күші ретінде кеңінен енгізумен және электр станцияларын салумен қатар туындады. Электр энергиясын тұтыну дамыған сайын өнеркәсіптік кәсіпорындарды электрмен жабдықтау жүйелері де күрделене түседі. Оларға жоғары кернеу желілері, тарату желілері, ал кейбір жағдайларда өнеркәсіптік ЖЭО желілері кіреді. Өнеркәсіптік кәсіпорындардың электр желілері электр энергиясының көздерімен және тұтынушыларымен бірге зауыттық электр жүйелеріне айналады, олардың құрылымы мен дамуы ішкі жүйелер ретінде тұтастай алғанда бүкіл энергетикалық жүйенің дамуымен біртұтас байланыста қарастырылуы керек.
Өнеркәсіптік кәсіпорындар электр энергиясының негізгі тұтынушылары болып табылады, өйткені олар біздің елімізде өндірілетін барлық электр энергиясының 67% - на дейін жұмсайды.
Кернеуі 1 кВ және одан жоғары желілерден, трансформаторлық және түрлендіргіш қосалқы станциялардан тұратын өнеркәсіптік кәсіпорындарды электрмен жабдықтау жүйесі электр энергиясын қуат көзінен тұтыну орнына қажетті мөлшерде және айнымалы ток, бір фазалы немесе үш фазалы, әртүрлі жиіліктер мен кернеулерде және тұрақты ток түрінде тиісті сапада беру арқылы өндіріс талаптарын қамтамасыз етуге қызмет етеді.
Өнеркәсіптік кәсіпорынның СЭС осы ауданның өнеркәсіптік, көліктік, коммуналдық және ауыл шаруашылығы тұтынушыларын кешенді электрмен жабдықтауды қамтамасыз ететін энергия жүйесінің ішкі жүйесі болып табылады. Энергия жүйесі өз кезегінде елдің БЭЖ ішкі жүйесі ретінде қарастырылады. Кәсіпорынның электрмен жабдықтау жүйесі-бұл кәсіпорынның өндірісінің технологиялық жүйесінің ішкі жүйесі, ол электрмен жабдықтауға белгілі бір талаптар қояды.
Электр энергиясының құны, мысалы, машина жасауда, өнім құнының тек 2-3% - элект, электролиз, электрометаллургия және т. б. сияқты энергияны көп қажет ететін салаларда-өнім құнының 20-35% -. құрайды. Электрмен жабдықтаудағы үзілістер халық шаруашылығына айтарлықтай зиян келтіруі мүмкін, ал кейбір жағдайларда адам шығыны мен қымбат жабдықтың істен шығуына байланысты апаттар болуы мүмкін.
Өнеркәсіптік кәсіпорындардың электр бөлігінің құны өнеркәсіпке салынған инвестициялардың жалпы сомасының орта есеппен 7% құрайды.
Әрбір өнеркәсіптік кәсіпорын үздіксіз даму жағдайында болады: жаңа өндірістік алаңдар енгізіледі, қолданыстағы жабдықты пайдалану артады немесе ескі жабдық жаңа, неғұрлым өнімді және қуаттыға ауыстырылады, технология өзгереді және т. б. өнеркәсіптік кәсіпорынның СЭС (электр энергиясының соңғы қабылдағыштарына дейін) икемді болуы керек, технологиялардың тұрақты дамуына, кәсіпорын қуатының өсуіне және өндірістік жағдайлардың өзгеруіне мүмкіндік береді. Бұл кәсіпорындардағы электр энергиясын тарату жүйесін даму процесі де орын алатын аудандық энергия жүйелерінен ажыратады, алайда электр энергиясын тұтыну орындары мен оны беру нысандары анағұрлым тұрақты.
Қазіргі заманғы кәсіпорындар, әсіресе машина жасау, өңдеудің жаңа әдістерін, жаңа жабдықты үздіксіз енгізумен, оны қайта құрумен, сондай-ақ өнім моделінің өзін үздіксіз өзгертумен және жетілдірумен байланысты технологиялық процестің динамизмімен сипатталады. Сондықтан бағдарламаны өзгерту немесе шығарылатын өнімдерді жаңарту, жаңа технологиялық процестер мен заманауи жабдықтарды енгізу, сондай-ақ өндірісті автоматтандыру кезінде өндірісті қайта құруды аз шығынмен жүзеге асыруға мүмкіндік беретін жеткілікті икемділікке ие кәсіпорын құруға ұмтылу керек.
Жаңа кәсіпорындарды салу және игеру тәжірибесі көрсеткендей, тек жоспарлау ғана емес, сонымен қатар ғимараттардың дизайны технологиялық процестің икемділік шарттарын қанағаттандыруы керек; ғимараттар мен қосалқы бөлмелер өндірісті үзіліссіз кеңейтуге мүмкіндік беруі керек, ал бір өнімді игеруден жаңасын игеруге көшу күрделі қайта құруды қажет етпейді. Икемділік талаптары кәсіпорындардың құрылыс бөлігіне, технологиялық және қосалқы жабдықтарға, электрмен жабдықтау, сумен жабдықтау жүйелеріне және т. б.
Жоғары сапалы электр жетегін құру үшін электрик пен технолог-конструктордың бірлескен жұмысы қажет, сонымен қатар кәсіпорынның тиісті СЭС-ін құру үшін дизайнер-технологтардың, электриктердің және құрылысшылардың Мұқият бірлескен жұмысы қажет. Өндіріс жағдайларын мұқият зерделеу электрикке жобалау кезінде тапшы электр жабдықтары мен Электроматериалдардың артық шығындалуын болдырмауға, сондай-ақ осы өндіріс жағдайларына сәйкес келетін сенімді үнемді электрмен жабдықтауды қамтамасыз етуге мүмкіндік береді.
Өнеркәсіптік кәсіпорындардың СЭС-ін зерттеу, жобалау, жобалау және пайдалану кезінде шешілетін негізгі міндеттер кернеулерді дұрыс таңдау, электр жүктемелерін анықтау және электрмен жабдықтаудың үздіксіздігіне қойылатын талаптар арқылы осы жүйелердің параметрлерін оңтайландыру болып табылады; трансформаторлардың, ток пен жиілік түрлендіргіштерінің саны мен қуатын, өнеркәсіптік желілердің конструкцияларын, реактивті қуатты өтеу және кернеуді реттеу құрылғыларын, жүктемелерді симметриялау құралдарын және электрмен жабдықтау схемасын дұрыс құру арқылы желілердегі жоғары гармониканы басуды ұтымды таңдау. Барлық осы міндеттер электр қабылдағыштардың қуаттылығының өсуі, электр энергиясын пайдаланудың жаңа түрлерінің пайда болуы, жаңа технологиялық процестер және т. б. салдарынан үздіксіз күрделене түседі.
1. Жалпы бөлім
1. 1 ЭЭ өндірісі мен тұтынушыларының қысқаша сипаттамасы
Корпустық бөлшектерді өңдеу цехы (ЦОКД) бұйымдарды механикалық және коррозияға қарсы өңдеуге арналған. Оның құрамында станок бөлімі, гальваникалық және дәнекерлеу учаскелері бар. Сонымен қатар, көмекші, тұрмыстық және қызметтік үй-жайлар бар.
Цех БПП-дан ЭСН алады. ЖПП - дан ТП цехына дейінгі қашықтық - 0, 8 км, ал энергия жүйесінен ЖПП-ға дейінгі қашықтық-16 км.
GPP - де төмен кернеу-6 және 10 кВ. жұмыс ауысымдарының саны-2. Цехтың тұтынушылары ESN сенімділігінің 2 және 3 санаттарына жатады. Цех Ғимараттың қаңқасы әрқайсысының ұзындығы 8 м болатын блоктардан-бөлімдерден орнатылады.
Цехтың Өлшемдері А × В × Н = 48 × 30 × 8 м.
Станок бөлімінен басқа барлық Үй-жайлар биіктігі 3, 6 м екі қабатты.
Цехтың тізбесі 1-кестеде берілген.
Электр тұтыну қуаты бір электр қабылдағышқа арналған.
1, 1 кесте Сыртқы электрмен қамтамасыз ету жүйесі бойынша мәлімет
2. Есептеу бөлігі
Мысал үшін В тобының мысалын пайдаланып есептеуді қарастырайық
Оларға ұзақ жұмыс режиміндегі машиналар жатады: - 21, 22, 36, 47, 59.
1. Біз №53 желдеткіш мысалында қабылдағыштар бойынша бөлек есептейміз
Жалпы орнатылған қуатты табамыз:
2. 1 электр жүктемелерін есептеу
Қайта-қысқа мерзімді режим (ПКР) қабылдағыштары үшін номиналды қуатты анықтаймыз, соңғысы формулаға сәйкес ұзақ жұмыс режиміне (ПВ=1) келтіру арқылы паспорттық қуатпен анықталады:
Дәнекерлеу машиналары (ПВ=60%) :
Консольді айналмалы крандар (ПВ=25%) :
мұндағы Ri-есептелген шеңбердің радиусы, Ri-номиналды қуат, m - таңдалған масштаб.
Масштабты
Электр жүктемелерінің картограммасы қосымшада көрсетілген
Электр қабылдағыштар орталықтарының координаттары, олардың номиналды қуаттары және тиісті сұраныс коэффициенті кестеде келтірілген
Кесте 1, 2
2. 2 жүктеме орталығын анықтау
Әрбір электр қабылдағыш: цех, өнеркәсіптік кәсіпорын, осы өндірістің технологиялық цикліне сәйкес өзгеретін өзіндік жүктеме кестесі бар. Сондықтан электр жүктемелері орталығының (ЦЭН) координаттары уақыттың әр сәтінде бір жүктеме графигімен (бір қабылдағыш үшін) және графиктер жиынтығымен (жалпы цех үшін) анықталған мәндерді қабылдайды.
Қосымшада ұсынылған жоспарға сәйкес дәнекерлеу бөлімінің электр жүктемелері орталығының координаттарын табамыз. Станок бөлімшесі үшін тиісті деректер 2-кестеде келтірілген. ЦЭН координаттары формулалар бойынша:
дәнекерлеу бөлімінің толық қуаты:
есептеулер жүргізе отырып, біз мынаны аламыз
Қосымшада көрсетілген жоспарға сәйкес гальваникалық учаскенің және желдеткіштің электр жүктемелері орталығының координаттарын табамыз. Гальваникалық учаскенің және желдетудің толық қуаты:
есептеулер жүргізе отырып, біз мынаны аламыз
Қосымшада көрсетілген жоспарға сәйкес станок бөлімшесінің электр жүктемелері орталығының координаттарын табамыз.
станок бөлімінің толық қуаты:
есептеулер жүргізе отырып, біз мынаны аламыз
Біз цехтың жалпы жүктеме орталығын табамыз.
Алынған электр жүктемелерінің орталығы координаттарға ие:
.
2. 3 цехтың белсенді электр жүктемелері орталығының шашырау аймағын есептеу
ЦЭН-нің шашырау аймағындағы орны топтағы қабылдағыштардың орналасу координаттарына және олардың салыстырмалы жүктемелеріне байланысты. Сондықтан шашырау аймағы объектілердің өзара орналасуының геометриялық сипаттамасы болып табылады. Шашырау аймағы-эллипс. ЦЭН шашырау аймағын анықтау үшін Орталықтың координаттарын бөлу Заңын табу керек. Формулалар бойынша қалыпты үлестіру Заңының параметрлерін бағалауды есептейік:
, (2)
- i. қабылдағыштың салыстырмалы жүктемесінің мәні
Алатын мәніміз
Көріп отырғаныңыздай, мәндер ЦЭН координаттарынан іс жүзінде ерекшеленбейді. Алынған мәндер шашырау өлшемін табу үшін қолданылады (орташа квадраттық ауытқу) .
(3)
мұндағы n-сынақтар саны, бұл жағдайда сынақтар саны цех бөлімшелерінің санына тең, яғни .
Есептеулер жүргізе отырып біз аламыз:
Шашырау аймағын шектейтін эллипсті құру үшін оның жартылай осьтерін формула бойынша анықтаймыз:
(4)
где -
,
,
, тогда
,
;
.
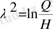
Сенімді ықтималдық ретінде мәнді қабылдап, осы теңдеуді шешіп, аламыз . Сонда жартылай осьтердің мәндері формула арқылы көрсетіледі:
.
Мәнін табамыз
.
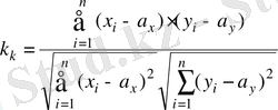
Шашырау эллипсінің осьтері координаталық осьтермен белгілі бір бұрыш жасайды . Берілген бұрышты анықтау үшін корреляция коэффициентін табамыз:
,
(6)
Біз эллипстің жартылай осьтерінің бағытын, яғни осьтердің айналу бұрышын есептейміз:
Бұл жағдайда шашырау аймағын құру үшін эллипс осін өзіне параллель координаталары бар нүктеге ауыстыру, осьтер бойымен қашықтықты кейінге қалдыру, содан кейін осьтерді бұрышқа бұру жеткілікті .
Құрылыс деректері қосымшада берілген(1-парақ) .
2. 4 электрмен жабдықтау схемасын таңдау
Бүкіл цехты электрмен жабдықтау үшін біз толық цехтық трансформаторлық қосалқы станцияны (бұдан әрі КБО) қоректендіретін кабельдік желіні (бұдан әрі КБ) қолданамыз. Cl, CCTP қуаты 10 кВ және f=50 Гц-ке тең айнымалы кернеуге арналған.
Цктп-дан кейін магистральдық Шина құбыры (бұдан әрі-шма) . Содан кейін әрбір РП-да тарату шиналарын (бұдан әрі ШРА) өткіземіз.
Әрбір бөлімшеде ШР-дан қоректенетін ПР-9000 сериялы тарату пункттерін (бұдан әрі-РП) орнатамыз.
РП - дан кейін cl көмегімен біз электр қондырғыларын қуаттаймыз.
Шина құбырларын қолдану өткізгіш материалдарды пайдаланудың үнемділігінің артуына байланысты, осылайша кәсіпорын цехының СЭС-ін жобалау кезінде біз "трансформатор-магистраль" блогын қолданамыз, бұл жобалаудың қарапайымдылығына және электротехникалық материалды үнемді пайдалануға әкеледі.
ЦКТП кернеуді 0, 4 кВ дейін төмендетеді және шиналар мен сымдарды таңдау осы кернеуге сәйкес келеді. Өнеркәсіптік кәсіпорынды электрмен жабдықтау схемасы қосымшада көрсетілген (2-парақ) .
2. 5 бөлімшелер мен цехтың қуатын есептеу
Белсенді қуатқа сұраныс коэффициенті деп есептелген (жобалау жағдайында) қуаттың қабылдағыштың номиналды (белгіленген) белсенді қуатына қатынасы аталады. Ол электр қабылдағыштың номиналды қуатын пайдалану дәрежесін сипаттайды. Оның құрамдас бөліктерінің орнына бір сұраныс коэффициентін қолдану-пайдалану коэффициенті мен Максимум коэффициенті электр қабылдағыштар санының әсерін, олардың қуаттылығының арақатынасын және т. б. ескермейді және есептеулерде қатенің жоғарылауын береді. Дегенмен, мәндер кейде мәндерге қарағанда аз таралумен тұрақты болады .
Сұраныс коэффициенті деп аталады:
;
онда
.
Кез-келген электр энергиясын қабылдағыш белсенді және реактивті жүктемені тұтынатындықтан, соңғысын келесідей табамыз:
Бұл жағдайда:
.
Электр қабылдағыш:
.
Жоғарыда келтірілген формулаларды қолдана отырып, біз бөлімшелер мен бүкіл цехтың белсенді және толық қуатын табамыз.
Әрі қарай есептеу үшін барлық электр қабылдағыштар үшін орташа қуат коэффициенті тең екенін қабылдаймыз . Тиісінше, тиімділік әр тұтынушы үшін тең.
Дәнекерлеу бөлімі
- Біз желдету және дәнекерлеу бөлімінің белсенді қуатын табамыз.
;
.
2. Желдету және дәнекерлеу бөлімінің толық қуатын есептейік:
3. Біз жарықтандыру құрылғыларының қуатын табамыз.
Осы учаскеден ТП, РУ, бытовка шамдары, цех бастығының кабинеті және дәнекерлеу бөлімшесі қуатталған.
ТП, РУ, бытовки, цех бастығының кабинеті.
Өлшемі А=4м, В=8м, с=24 м2, биіктігі Нр=3, 6 м.
Біз екі Pb-40 флуоресцентті шамдары бар PSO-0. 2 шамдарын таңдаймыз.
E=100lk кезінде
Кен=4, 5 Вт / м2
Ру. ст = кенді S
Ру. ст = 4, 5 ст 24 = 108 Вт
n = RU. ст / Рсв
n = 108 / 80 дана 2 дана.
n = 2 [дана] . Әр қабатта 2 шам бар.
Дәнекерлеу бөлімі.
Өлшемі А=16М, В=4м, с = 64 м2, биіктігі Нр=3, 6 м.
Біз екі Pb-40 флуоресцентті шамдары бар PSO-0. 2 шамдарын таңдаймыз.
E=100lk кезінде
Кен=4, 5 Вт / м2
Ру. ст = кенді S
Ру. ст = 4, 5 ст 64 = 288 Вт
n = RU. ст / Рсв
n = 288 / 80 дана 4 дана.
n = 4 [дана] . Әр қабатта 2 шам бар.
Гальваникалық учаске және желдеткіш
- Біз гальваникалық учаскенің және желдеткіштің болжамды белсенді қуатын табамыз.
- Гальваникалық учаскенің және желдеткіштің толық қуатын есептейік:
3. Біз жарықтандыру құрылғыларының қуатын табамыз.
Қойма, гальваникалық учаске және желдеткіш шамдары осы аймақтан қоректенеді.
Көлемі қойма А=4м, В=8м, с=24 м2, биіктігі Нр=3, 6 м.
Біз екі Pb-40 флуоресцентті шамдары бар PSO-0. 2 шамдарын таңдаймыз.
E=100lk кезінде
Кен=4, 5 Вт / м2
Ру. ст = кенді S
Ру. ст = 4, 5 ст 24 = 108 Вт
n = RU. ст / Рсв
n = 108 / 80 дана 2 дана.
n = 2 [дана] . Әр қабатта 2 шам бар.
Гальваникалық учаскенің мөлшері А=16М, В=6м, с=96м2.
Біз екі Pb-40 флуоресцентті шамдары бар PSO-0. 2 шамдарын таңдаймыз.
E=100lk кезінде
Кен=4, 5 Вт / м2
Ру. ст = кенді S
Ру. ст = 4, 5 ст 96 = 432 Вт
n = RU. ст / Рсв
n = 432/ 80 дана 5, 4 дана.
n =6 [дана] . Әр қабатта 6 шам бар.
Желдеткіш өлшемі а=8м, В=2м, с=16м2.
Біз екі Pb-40 флуоресцентті шамдары бар PSO-0. 2 шамдарын таңдаймыз.
E=100lk кезінде
Кен=4, 5 Вт / м2
Ру. ст = кенді S
Ру. ст = 4, 5 ст 16 = 72 Вт
n = RU. ст / Рсв
n = 72 / 80 дана 1 дана.
n = [дана] . Әр қабатта 1 шам бар.
Станок бөлімі
- Біз станок бөлімінің есептік белсенді қуатын табамыз.
- Станок бөлімінің толық қуатын есептейік
3. Біз жарықтандыру құрылғыларының қуатын табамыз.
Станок бөлімінің шамдары осы аймақтан қоректенеді.
Станок бөлімінің өлшемі а=48м, В=22м, с=1056м2.
Біз 400 ДНаТ бір шамы бар шамды таңдаймыз.
Шамдар Нр = 8м биіктікте орнатылады.
Кен=10 [Вт / м2 ]
E=200lk кезінде
Ру. ст = кенді S
Ру. ст = 10 ст 1056 = 10560 [Вт]
n = 10560 / 400 дана 26, 4 [дана]
n = 28[дана]
7 шамның 4 қатары.
.
Цехтың толық қуатын анықтау
Біз цехтың жалпы Белсенді, реактивті және толық қуатын табамыз. Қорытынды қуат бөлімдердің қуаты мен жарықтандыру құрылғыларының қуатының қосындысынан тұрады. Тиісті мәндерді жазайық:
2. 6 реактивті қуат компенсаторын таңдау
Қуат немесе косинус конденсаторлары және оларға негізделген қондырғылар жергілікті реактивті қуат көздері ретінде пайдаланылады. Оларды қолдану электр желілерін токтың реактивті компонентінен босатуға мүмкіндік береді, осылайша бір жағынан таңдалған сымдардың, шиналардың, кабельдердің қимасын азайтады, екінші жағынан электр энергиясының жоғалуын азайтады.
Біз толық компенсаторлық қондырғыны таңдап, оны ЦТП-ға орнатамыз.
Сонымен, компенсаторлық қондырғының қуатын өрнектен табамыз:
k-ұйымдастырушылық іс-шаралар арқылы қуат коэффициентінің жоғарылау коэффициенті (cos est), практикалық есептеулер үшін k=0, 9.
Реактивті қуаттың өтемақысы соѕфк=0, 92 0 0, 95 мәнін алғанға дейін жүргізіледі.
Cosφ=0, 84-өтемақыға дейін; Соѕфк=0, 94-өтемақыдан кейін.
Ic 1 = 330 және ic 2 = 200-қуатты өтеуге дейінгі және кейінгі фазалық сдысу бұрыштары.
P-есептелген белсенді қуат.
Содан кейін:
Біз UKM толық конденсатор қондырғысын таңдаймыз-58-04-125-25 УЗ.
Қуаты 125 кВар модульдік конструкциядағы ЖКМ конденсаторлық қондырғылары тұрақты кернеу беру кезінде 1 сағатқа дейін қызмет ету мерзімі бар, автоматты қуат реттегіштерімен жабдықталған өзін-өзі емдейтін компенсаторлық конденсаторлармен жабдықталған.
Біз компенсаторлық қондырғыны қойғандықтан, жалпы реактивті қуат өзгерді, нәтижесінде толық қуат та өзгереді:
2. 7 ЦТП трансформаторын таңдау
Қуат трансформаторларының саны мен қуатын таңдау кезінде Электрмен жабдықтаудың сенімділігі, жабдықтың құны және электр энергиясын түрлендіруге байланысты әртүрлі шығындар маңызды критерийлер болып табылады. Ең жақсы нұсқа инвестициялар мен жылдық операциялық шығындарды салыстыру негізінде таңдалады.
Бір трансформаторлық қосалқы станцияларды салу әрқашан ең аз шығындарды қамтамасыз ете бермейді. Егер қоректі резервтеу шарттары бойынша бірнеше трансформаторды орнату қажет болса, онда олардың екіден аспайтынына көз жеткізу керек. ЦТП трансформаторларының санын таңдау кәсіпорын цехының жұмыс режимімен байланысты.
Екі трансформаторлық қосалқы станциялар бір немесе одан да көп трансформаторлық қосалқы станцияларға қарағанда экономикалық тұрғыдан тиімді.
ПУЭ талаптарын, жоғарыда келтірілген мәліметтерді және өнеркәсіптік кәсіпорын II санатты тұтынушы болып табылатындығын ескере отырып, ЦТП схемасын 2 трансформаторды қабылдаймыз.
Әрбір трансформатордың 2 трансформаторлық ЦТП қуаты шарттан таңдалады:
Бірақ сонымен бірге трансформатордың бос және қысқа тұйықталу кезіндегі шығындарын ескеру қажет, бұл есептік белсенді қуаттың 2% және есептік реактивті қуаттың 10% құрайды. Нәтижесінде біз өрнек аламыз:
Біз TCZ трансформаторларын таңдаймыз-160/10 - 3-х фазалық, құрғақ, қоршаған ортаның әсерінен қорғау - қорғалған, шаң өткізбейтін, жалпы өнеркәсіптік қондырғы.
TCZ-160/10 трансформаторының сипаттамалары
номиналды қуаты-160кВА
номиналды кернеу ВН-10кВ
номиналды кернеу НН -0, 23; 0, 4 кВ
шығындар ХХ-0, 32 кВт
кз - 2 кВт шығыны
кернеу KZ-4, 5%
ағымдағы х. х номиналды - 2, 6%
Қалыпты жұмыс кезеңінде трансформаторлардың әрқайсысы жүктеледі:
.
Трансформатордың номиналды қуатын таңдау трансформаторлардың бірі істен шыққан кезде қажетті қуатты ескере отырып жүргізіледі. Қалған трансформатор қосалқы станцияның барлық жүктемесін немесе оның кейбір шектеулерін қабылдауы керек, III санаттағы тұтынушыларды Ажырату (бұл жағдайда кейбір жарықтандыру құрылғыларын өшіру)
- шиналар мен кабель желілерінің қималарын таңдау
- Іс жүргізу
- Автоматтандыру, Техника
- Алғашқы әскери дайындық
- Астрономия
- Ауыл шаруашылығы
- Банк ісі
- Бизнесті бағалау
- Биология
- Бухгалтерлік іс
- Валеология
- Ветеринария
- География
- Геология, Геофизика, Геодезия
- Дін
- Ет, сүт, шарап өнімдері
- Жалпы тарих
- Жер кадастрі, Жылжымайтын мүлік
- Журналистика
- Информатика
- Кеден ісі
- Маркетинг
- Математика, Геометрия
- Медицина
- Мемлекеттік басқару
- Менеджмент
- Мұнай, Газ
- Мұрағат ісі
- Мәдениеттану
- ОБЖ (Основы безопасности жизнедеятельности)
- Педагогика
- Полиграфия
- Психология
- Салық
- Саясаттану
- Сақтандыру
- Сертификаттау, стандарттау
- Социология, Демография
- Спорт
- Статистика
- Тілтану, Филология
- Тарихи тұлғалар
- Тау-кен ісі
- Транспорт
- Туризм
- Физика
- Философия
- Халықаралық қатынастар
- Химия
- Экология, Қоршаған ортаны қорғау
- Экономика
- Экономикалық география
- Электротехника
- Қазақстан тарихы
- Қаржы
- Құрылыс
- Құқық, Криминалистика
- Әдебиет
- Өнер, музыка
- Өнеркәсіп, Өндіріс
Қазақ тілінде жазылған рефераттар, курстық жұмыстар, дипломдық жұмыстар бойынша біздің қор #1 болып табылады.

Ақпарат
Қосымша
Email: info@stud.kz