Параллельді байланысқан тізбектердің индуктивтілігі


Параллельді байланысқан тізбектердің индуктивтілігі
Жоспар
Кіріспе
1. Индуктивтілік дегеніміз не?
1. 1. Индуктивті байланысқан элемент тізбегі
2. Индуктивтіліктің түрлері
2. 1. Тізбектей байланысқан индуктивтілігі
2. 2. Параллельді байланысқан индуктивтілігі
Қорытынды
Кіріспе
Менің курстық жұмысымның атауы «Параллельді байланысқан тізбектердің индуктивтілігі» деп аталады. Оның алу себебі, индуктивтіліктің түрлерін және олардың тізбектегі атқаратын ролін анықтап көрсету. Осы жұмыста қарастырылатын тақырыпшалары: тізбекте индуктивтіліктің байланысы, тізбектей байланысқан индуктивтілік, параллельді байланысқан индуктивтілік.
Мақсатым: берілген тақырыпшаларына атауларына сай схемаларын және формулаларын есептеу қорытындылау, және оларды жалпы сипаттау.
Айтуы бойынша, индуктивтілік не деген сұрақ пайда болады. Оған біраз тоқталып кетейік, индуктивтілік - токтың тудыратын магнит өрісі инд-сы векторының В модулі ток күшіне пропоционал болады. Ф магнит ағыны В-ға пропорционал болғандықтан, Ф~В~І болады. Демек, Ф=LI болады, мқндағы L өткізгіш контурдағы ток пен осы контурды тесіп өтіп жатқан магнит ағынының арасындағы пропорционалдық коэффициенті. L шамасын контурдың индуктивтігі немесе оның өздік индукция коэффициенті деп атайды.
1. Индуктивтілік дегеніміз не?
1. 1. Индуктивті байланысқан элемент тізбегі
Бір элемент тізбегінің тоғы екінші элемент тізбектегі тоқтың өзгеруі ЭҚҚ-ң пайда болуына әсер етсе, онда бұл екі элементі индуктивті байланыс, ал пайда болатын ЭҚҚ-ті ЭҚҚ - тің бірігейлік индукция деп атайды.
Индуктивті байланысқан екі элемент тізбектің коэффициент байланысы k мінездейді, оны келелсі формулада көруге болады:
қайда M - элемент тізбегінің бірігейлік индуктивтілігі;
L 1 және L 2 - элемент тізбегінің индуктивтілігі.
Қарапайым мысалда қарастырайық, егер коэффициент байланысы ылғи бірден кіші, және есептеп табайық, шартта ол бірге тең болуы мүмкін.
Екі катушка жіңішке сақина түрде үлкен диаметрдей оралатын болсын. Берілген катушкалық формасы бойынша үлкен деңгейлікпен және нақты есептеумен, әр катушканың бірдей магнит ағынымен жабысқаның анық көруге болады. Берілген суретте 1. 1 бірінші катушканың қосылуындағы тоқтың болуында магнит өрісінің пайда болуын көрсетілінеді.
Бірінші индукциясының сақиналары магнит өрісінің өзиндукциясымен Ф 11 жабысуы, ал екінші индукциясының сақиналары - магнит өрісінің бірігейлік индукциясымен Ф 21 . Өрісқосылуы өзиндукциясы және бірігейлік индукциясы бірінші және екінші катушканың есептеуі
Ψ 11 = ω 1 Ф 11 ; Ψ 21 =ω 2 Ф 21 .
Индуктивтіліктің анықталуы бойынша бірінші катушка және бірігейлік индуктивтілік катушка аралығында
;
.
Оң бағыттағы тоқ және магнит өрісінің өзиндукциясы ережесі бойынша ылғи да щң жақ сақинасын таңдауда, сондықтан, егер i 1 > 0, онда Ψ 11 > 0, ал i 1 < 0, онда Ψ 11 <0 , яғни Ψ 11 / i 1 ылғи оң бағытты болады.
Енді оң бағыттағы бірігейлік индукциясының Ф 21 өрісін қарастырсақ, оның таңдауы әрқалай, сондықтан Ψ 21 / i 1 амалы кез-келген бағыт алуы мүмкін. Осы қарастырылған материал бойынша бірігейлік индуктивтілік оң бағыттылық болып есептелінеді, және M мағынасы абсолюттік шама Ψ 11 / i 1 ретінде жазылған.
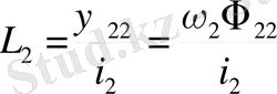
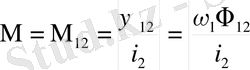
Келесі суретте 1. 2 екінші катушканың тоқтың бар болуындағы өрісі.
Оның анықталуы
;
.
Теңдік М 12 =М 21 =М дәлелдеуі мүмкін, магнит өрісінің тәуелсіз энергияның тоқтары і 1 және і 2 0-ден және өзінің соңғы мәніне дейін өсуі мүмкіншілігіне байланысты.
Есепті құрастырайық,
Ф 12 < Ф 22 және Ф 21 < Ф 11 , онда к 2 <1. Екі катушканың коэффициент байланысы бірге тең болатын еді, егер Ф 12 = Ф 22 және Ф 21 = Ф 11 , яғни бүкіл өріс, бір катушкада тоқпен ұйымдастырылғаны, толығымен басқа катушкамен байланыс жасайды, бірақ ол катушкалардың бірігуіне байланысты болуында. Бірақ практикада магнит өрісінің бірдей болмауына байланысты к < 1.
Осы екі катушканың өзгеруін есептейтін прибор вариометр деп аталады.
2. Индуктивтіліктің түрлері
2. 1. Тізбектей байланысқан индуктивтілігі
Мысалға екі энергия бар құрылғыларды алайық, кедергілері r 1 және r 2 , индуктивтілігі L 1 және L 2 және өзиндукциясымен М, тізбектей қосылды. Қосылуы екі түрлі болуы мүмкін - бір бағытты және қарама-қарсы.
Бір бағытты қосылуында тоқтар екі элемент тізбектері әр уақытта оң бағытта және магнит өрісінің өз индукциясы Ф 11 (немесе Ф 22 ) мен бірігейлік индукция Ф 12 (немесе Ф 21 ), әр элементпен қосылуында есептелінеді.
Қарама-қарсы қосылуында тоқтар әр уақытты бағыттары қарама-қайшы түйіндерге қарағанда, магнит өрісінің өз индукциясы мен бірігейлік индукция әр элементпен қосылуында, айырым есептелінеді.
Екі тізбектей байланысқан индуктивтілік индуктивті байланысқан элементтері
Осы жерде Ψ 1 және Ψ 2 -бірінші және екінші элементтердің өрісқосылуы; Ψ 1 =L 1 i ± M i; Ψ 2 =L 2 i ± M i есепке қарамастан. Қосу таңбасы бір бағытта, ал минус таңбасы қарама-қарсы қосылуында қойылады. Сондықтан,
L = L 1 + L 2 ± 2М.
Не болмаса идеалды байланыс (к = 1) болады
. Егер, одан басқа, L
1
= L
2
, онда бір бағытта қосылуында
, ал қарама-қарсы қосылуында L = 0 (к < 1 ылғи L < 0) .
Толық кедергі бір бағытта қосылуында көп болады, қарама-қарсы бағытта қарағанда.
Кернеу элементтерде үш бөліктен тұрады:
Егер индуктивтілік бір элементтен кіші бірігейлік индукциясынан, онда қарама-қарсы қосылуында «көлемдік» эффект көрінеді. Мысалы, L 2 < М, онда
Осыдан
, сондықтан кернеу U
2
I тоқ фазасынан қалады, көлемдік кедергі сияқты. Әрине реактивті кедергі барлық тізбектің индуктивтілігі осылай L=L
1
+L
2
-2M>0 және тоқ І фазасы U кернеуінен қалады.
2. 2. Параллельді байланысқан индуктивтілігі
Айтайық, екі қабылдағыш энергия, кедергі тұғызатын r 1 және r 2 , L 1 және L 2 индуктивтілік және М қарым-қатынас индуктивтілігі параллель жалғанған және де біртекті сығымды бірден және сол бұрышқа жалғанған (1. 4)
... жалғасы- Іс жүргізу
- Автоматтандыру, Техника
- Алғашқы әскери дайындық
- Астрономия
- Ауыл шаруашылығы
- Банк ісі
- Бизнесті бағалау
- Биология
- Бухгалтерлік іс
- Валеология
- Ветеринария
- География
- Геология, Геофизика, Геодезия
- Дін
- Ет, сүт, шарап өнімдері
- Жалпы тарих
- Жер кадастрі, Жылжымайтын мүлік
- Журналистика
- Информатика
- Кеден ісі
- Маркетинг
- Математика, Геометрия
- Медицина
- Мемлекеттік басқару
- Менеджмент
- Мұнай, Газ
- Мұрағат ісі
- Мәдениеттану
- ОБЖ (Основы безопасности жизнедеятельности)
- Педагогика
- Полиграфия
- Психология
- Салық
- Саясаттану
- Сақтандыру
- Сертификаттау, стандарттау
- Социология, Демография
- Спорт
- Статистика
- Тілтану, Филология
- Тарихи тұлғалар
- Тау-кен ісі
- Транспорт
- Туризм
- Физика
- Философия
- Халықаралық қатынастар
- Химия
- Экология, Қоршаған ортаны қорғау
- Экономика
- Экономикалық география
- Электротехника
- Қазақстан тарихы
- Қаржы
- Құрылыс
- Құқық, Криминалистика
- Әдебиет
- Өнер, музыка
- Өнеркәсіп, Өндіріс
Қазақ тілінде жазылған рефераттар, курстық жұмыстар, дипломдық жұмыстар бойынша біздің қор #1 болып табылады.

Ақпарат
Қосымша
Email: info@stud.kz