Марков құбылысы


Мазмұн
Кіріспе
1. Ақырлы және саналымды жағдайдағы Марков құбылысы
1. 1. Марковтік қасиет және ауыспалы ықтималдылық
1. 1. 1. Марков құбылысындағы уақыт моменті
1. 1. 2. Бірыңғай Марков құбылысы
1. 1. 3. Колмогоров теңдеуі
1. 1. 4. Минимал ауыспалы ықтималдылық
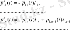
1. 2. Бірыңғай Марков тізбегін класстарға бөлу
1. 2. 1. Бірыңғай Марков тізбегінің нөлдік және оң жағдайы, қайтуының орташа уақыты, тұйық жиын
Қорытынды
Пайдалынылған әдебиеттер
Кіріспе
Марков құбылысының кластарға бөлінуі кездейсоқ құбылыстардың дербес түрі болып табылады. Кездейсоқ құбылыстардың ішінде Марков құбылысы маңызды орын алады. Бұл құбылыстың екі түрін айтар болсақ: біріншіден математика саласында Марков құбылысы жақсы талданған және физикалық есептерді шешуге, екіншіден Марков құбылысының көмегімен қатар тәртібінің физикалық жүйесін құруға мүмкіндік береді.
Марков құбылысының теориялық базасында шешуге болатын есептерге мысалдар келтірейік:
- Динамикалық жағдайда кездейсоқ құбылысты түрлендіргенде сызықты және сызықсыз болатыны бізге белгілі, ереже бойынша статистика характеристикасының шығатын құбылысын анықтайтын әдіс жоқ. Осыдан қорытындылайтынымыз нормаль құбылыс үшін сызықты түрлендіру құрамыз. Кореляциялық теория әдісінің қасиетін сақтай отырып нормалді және толық өлшемді қолданамыз. Ықтималдылық тығыздығын жуықтау әдісінің моментін есептеу арқылы қалпына келтіреміз. Бірақ жүйеге әсер ететін құбылыс марковтік болып табылады, статитика характеристикасының шығатын құбылысына есептеу әдістерін қолданамыз.
- Шектелген аймақтағы фазалық кеңістіктегі жүйенің қозғалысы нүкте қозғалысынан пайда болады. Мұндай есептердің түрі автоматты басқару жүйесінде шығарылады. Қазіргі уақытта кескінді нүктенің қозғалысын практикада көптеп ұсынады. Физиканың маңызды есептерін аналитикалық жолмен Марков құбылысында ғана шешеді.
- Қазіргі уақытта басты даму барысында радиотехника және автоматтандыру жатады. Марков құбылысы үшін бұл бағыттан нақты нәтиже алуға болады.
Қолданбалы есептерді шешкенде математикалық әдістерінің мысалдарында мақсаты көрсетілмейді. Ереже бойынша математикалық амалдарға есептер қарастырғанда белгілі арсеналды қолдана білу керек. Аналитикалық әдістердің көбі Марков құбылысында шығарып қарастырылған.
Енді Марков құбылысының теория апаратындағы есептерді шығару кезінде қолданылатын екі дәлелдеуді корсетейік
- Тәжірибелік жағдайларда жолақты кедергі немесе флуктуациялық дыбыстарды салыстырмалы инерциялық жүйенің ақырлы қатарына әсер етуін жиі қарастыруға болады. Осындай эквивалентті шулдардың аналитикалық шектік жүйеге әсер етуі Марков жүйесінде қарауға мүмкіндік береді.
- Рационал бөлшек функциясының нақты дәрежелі жиілігі түріндегі энергетикалық спектордың кездейсоқ құбылысы үшін Марков құбылысын жуықтауға болады.
Тақырыптың өзектілігі: есептелетін сандар жағдайындағы Марков құбылысын сызықсыз схоластикалық диференциялдық теңдеулерді шешуде автоматты фазалық жиілігінің орташа уақыты және кедергі қосылатын дисперсия уақытын есептеп, кесте құрып, графигін салу.
Жұмыстың мақсаты: сызықсыз схолостикалық диференциалдық теңдеудің алғашқы қатарындағы [22] алынған теңдеудің амплитудасы мен адитивті n(t) шулындағы гармониялық жүйеге кіретін белгінің ықпалымен синусоида сипатындағы алғашқы ретті автоматты құрылған фазалық жиілігінің орташа уақытын және кедергі қосылатын дисперсия уақытын есептеу, есетелетін сандар жағдайындағы Марков құбылысының тепе- теңдік орнықты күйін анықтау.
Ғылыми жаңашылдығы: ықтималдықтар теориясының марковтік тізбек теориясына негізделген іргелі ұғымдарын, құбылыстың бірыңғайлығын класстарға бөлу, бірыңғай Марков тізбегіндегі эргодикалық қасиеттерін, Колмогорвтің кездейсоқ үлестірудегі құбылыстардытұрғызу теориясы, шектік теоремаларды дәлелдеудің сипаттамалық функциялар әдісін, үлестірімдердің белгісіз параметрлерін бағалау теориясын, өтпелі графа және оның марков тізбегімен байланысы, кездейсоқ құбылыстың теориясын, Марков құбылыстарының негіздерін терең зерттеп, жаңаша амалдар қолдану арқылы тұжырымдар қорытып шығарылды, Марков тізбегіндегі қолданылатын әдіс тәсілдерін, қасиеттерін, мысалдарын есептеу.
Жұмыстың нәтижесі: ықтималдықтар теориясы, математикалық статистика және кездейсоқ құбылыстар теориясының негіздеріне қатысты Марков тізбегінің түрлері қарастырылып есептері талқыланды.
Жұмыстың құрылымы: үш бөлімнен тұрады: бірінші бөлімде Марковтік құбылыстың қасиеттері мен ауыспалы ықтималдылығы және оларды класстарға бөлу, эргодикалық қасиеті туралы мәліметтер қарастырылған. Екінші бөлімде тақырыпқа тікелей байланысты «Есептелетін сандар жағдайындағы Марков тізбегінің топологиялық қысым үшін варияциялық принципінің анықтамасы мен нәтижелері қарастырылып мысалдар келтірген. Колмогоровтың кездейсоқ үлестірудегі құбылыстарды құру теоремасы. Үшінші бөлімде осы екі бөлімде айтылған анықтамалар мен теоремаларды тұжырымдай отырып «Біріңғай Марков құбылысының шектелген жетістігін» есептеп, талдау жасалды. Осы жасаған есептеулерге анықтамалар мен теоремалар енгіздім. Қорытынды, пайдаланылған әдебиеттер және қосымшалардан тұрады.
Зерттеу әдістемесі:
сызықсыз схоластикалық дифференциялдық теңдеудің алғашқы қатарындағы
амплитудасы мен адитивті
дыбысындағы гармониялық жүйеге кіретін белгінің ықпалымен синусоида сипаттамасындағы алғашқы ретті автоматты құрылған фазалық жиілігі орташа уақытын және кедергі қосылатын дисперсия уақытын есептеу, бірыңғай Марков құбылысының шектелген жетістігіндегі автоматты тұрғызылған жиілігін
болғандағы
орташа уақытқа тәуелді мәніне сәйкес графигін саламыз.
1. Ақырлы және саналымды жағдайындағы Марков құбылысы
1. 1 Марков қасиеті және ауыспалы ықтималдылық
Марков қасиеті.
Марков қасиетінің ауыспалы ықтималдылығын мынадай қарапайым мысалмен қарастырсақ болады. «Тыныш жүрсең - ұзақ жүресің» деген ойын бар. Бұл ойында ойнап отырған фишка ақырғы шегіне 1 . . . n жету керек. Ойнайтын допты бір бөлімнен екінші бөлімге лақтырғанда нәтижесі анықталады. Егер сол қадамда фишка
бөлімінде болса, онда ойнайтын доп түсірілген ұпайына байланысты ойынның шарты бойынша келесі қадамда ауыспалы болады.
-дің кез келген бөлімінде
ауыспалы ықтималдылық
бөліміне тастамас бұрын тәуелсіз
бөліміне ауысады.
Айтылған қасиеттерді Марковтің кездейсоқ процессі деп аталады.
фазалық жағдайында жататын жүйені қарастыралық, параметріне қатысты жүйенің жағдайы өзгеріп отыратын қатысты оқиғаға тәуелсіз жүйеге ауысамыз.
белгілеуін уақыт параметрі деп алсақ, жүріп өткен жол немесе нақты сан.
уақыт мезетінде жүйенің жайы болса мына заңдылық шығады:
жүйесіндегі уақыт моменті фазалық жағдайында жатса, онда
жүйесіндегі уақыт моменті
фазалық жағдайында жатады және
ықтималдылығы
моментіндегі жүйенің қозғалысына тәуелді емес болады.
жүйесі Марков тізбегі деп аталады. Ықтималдылығы
(1. 1. 1)
болса, Марков тізбегіндегі ауыспалы ықтималдылық деп аталады.
моментінің
Марков тізбегіндегі жағдайын қарастырамыз. Егер
(1. 1. 2. )
бастапқы ықтималдылықтың үлестірімі болса, онда
(1. 1. 3)
кез келген
және
үшін орындалады
.
- Марков құбылысындағы уақыт моменті.
алдыңғыларға тәуелді емес кездейсоқ уақыт моменті болсын, сонда Марков тізбегі деп аталатын болады.
А кез келген оқиғасының пайда болуы
моментінен кейінгі жүйенің шешіміне бағынады. Шарт бойынша моментіне дейінгі бұл оқиғаның ықтималдылығы шартты оқиғаға сәйкес келеді және
моментінде ғана
жүйесі орындалады.
Кез келген
және
бөлігінде
(1. 1. 4)
уақыт моментіндегі тізбегі
жағдайына сәйкес келетін моменті үшін қолданылады. Мысалы - ішжағдайдағы жүйеге бірінші қондыру моменті,
- бірінші
моментінен кейінгі жағдай,
екінші моментінен кейінгі жағдай т. с. с. . Кез елген
оқиғасы
және
дейінгі аралыққа сәйкес келетін толық жүйенің орналасуы өзара тәуелсіз болады
.
- Бірыңғай Марков құбылысы
Ауыспалы ықтималдылық
айырымына сәйкес келсе
Марков тізбегі біріңғай деп аталады.
(1. 1. 5)
Мысал.
Кездейсоқ кезу. Барлық нүктелердің кездейсоқ кезуінің бөліктерін қарастырамыз. Әр қадамның р ықтималдылығының бөліктерінде 1 ығысу,
ықтималдылығында -1 ығысуы болады.
қадамынан кейінгі бөлшек болсын.
тізбегі Марков тізбегін құрайды: егер
нүктесінде жатса, онда оның келесі орындалуы
нүктесіндегі өткен шешімдерге тәуелді емес және
ықтималдылығы ауыстырым бөлігіндегі келесі
қадамы жағдайына сәйкес келеді.
болғанда жағдайын жағдайына ауыстыру мүмкін емес және
. Сонан соң қадамдағы бөлігі
жағдайына өте алатыны белгілі,
айырымы да осылай және
-де т. с. с. сандар үшін
жағдайында
болғанда
қадамы
қадамына тең және бағыты оң болады. Ықтималдылық мұндай жағдайда
(1. 1. 6)
осылайша
болғандағы
дің ауыспалы ықтималдылығын ойша шығаруға болады
:
,
(1. 1. 7)
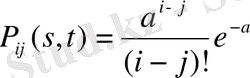
Радиоактивті ыдырау.
Радий қандайда бір
уақыттан кейін
радонға айналатындығын білеміз. Осындай айналу кезінде
бөлігі пайда болады. Егер атомы
ықтималдылығына тәуелді емес және
уақытта
атомына айналса, онда
саны уақытта ыдырағанда
атомына айналады,
уақыттағы
бөлшегінің сандық иіні Пуассон заңы бойынша үлестіреміз:
(1. 1. 8)
мұндағы
,
-
атомының алғашқы саны.
атомынан қалған сандар
Егер
моментінде радий саны белгілі болса, онда
ықтималдылығының
және
арасында
-бөлігінің
мәні шығады, осылайша ауыстырмалы ықтималдылықтың
марковтік кездейсоқ процессі
(1. 1. 9)
болғанда
жағдайынан
жағдайына ауысу мүмкін емес екені белгілі және
.
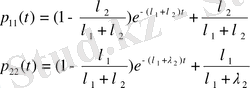
Күту уақытының айнымалы жағдайы.
- бірыңғай Марков тізбегі болсын. Егер
Марков моментінің жүйесі тіркелген болсын, онда
мұнан бұлайғы шығарылу кезінде
моментіне тәуелді емес, егер бастапқы уақыт моменті
болса
процесінен кейін
-да сол заңдылыққа бағынады.
үзіліссіз деп алып қарастырсақ, кейбір
уақыт моментінде (
0 деп алып) процесс жағдайы
екені белгілі. Бұл жағдайды өзгертсек кездейсоқ момент пайда болады.
ауыспалы процес моментіне дейінгі жаңа
күту мерзіміндегі айнымалы жағдай деп атаймыз.
Ықтималдылық
(1. 1. 10)
күш теңсіздігінің функциясы
(1. 1. 11)
теңдеуін функцияналды қанағаттандырады.
кез келген
. Сондықтан
ықтималдылығы экспоненциялды функция болуы керек
мұндағы
- тұрақты теріс емес сан.
Осылайша
уақыт күтімі
параметріндегі ықтималдылықтың көрсеткіштік үлестірімі болады.
жағдайына сәйкес келетін
тұрақтысы ауыспалы тығыздық деп аталады.
болғанда
құбылысы
жағдайында қалады,
болғанда
құбылысы
жағдайынан тез шығады,
болғандағы ықтималдылық
жағдайында
құбылысы
уақыт ішінде аз аралыққа өзгереді
мұндағы
уақытымен салыстырғанда кіші ретті.
Дискрет моментінің
жүйесінде уақыт жиілігін
процес жағдайына ауыстырғанда «қадам санын»
жағдайындағы
-дан жаңа жағдайға дейін қарастырамыз
(1. 1. 12)
мұндағы
-
жағдайындағы бір қадамды ауыспалы ықтималдылық
.
Мысал. Радиоактивті құбылыстың ыдырауы.
Сырттай сызылған жоғарғы ықтималдылық моделінің радиоактивті ыдырауы Ra радияның Rn радонға айналуы, мұндай ауысым Ra
Rn екі жағдайдағы атомдардың біріңғай Марков құбылысын қолданады. Ra
Rn мүмкін ауысым болып табылады. Егер алғашқы уақыт моменті
болса Ra атомының мөлшері
тең болады, онда
-бөлшегіндегі
уақытта
саны
параметріндегі Пуассон үлестірімін қолданады
(1. 1. 13)
Бұл жердегі
-
уақыттағы Ra жағдайына өту ықтималдылығы. Бұл ықтималдылық мынадай түрге келеді.
мұндағы
- Ra
Rn әр атомына сәйкес келетін кеңістіктегі ауысым т. с. с.
уақытындағы кіші аралықтағы Ra
Rn ауыспалы ықтималдылық
болады.
Қандайда бір
уақыт өткен соң радия мөлшерін қарастырамыз. Егер
-бөлшегіндегі сан
тең болса, онда Ra атомының қалдығы
.
уақыттан кейінгі радия мөлшері орташа болады.
(1. 1. 14)
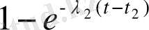
функциясының экспоненциялды сипаты Т уақытта алғашқы радия мөлшерінің жартысы ыдырайды, Т болғанда
абсолютті тұрақты болады. Бұл тұрақтылық жартылай ыдырау деп аталады, және ол ауыспалы тығыздықтың Ra
Rn ұмтылуы
теңдігімен байланысты
.
- Колмагоров теңдеуі.
Марков тізбегіндегі
ауыспалы ықтималдылық мына шарттарды қанағаттандырады
(1. 1. 15)
мұндағы
аралығында жатады.
Бірыңғай марков тізбегі болсын. Егер оны
дискрет моментінде қарастырсақ, онда
ықтималдылығының «бір қадамдық ауысымыда» бірдей анықталады.
, (1. 1. 16)
барлық жағдай үшін
уақытын үзіліссіз етіп алмастыралық
Бұл үзіліссіздіктің қасиетінің ауыспалы ықтималдылығы
дифференциялдауында бірыңғай Марковтік тізбегі үзіліссіз болады, әрдайым бірыңғай шекте қолданылады
(1. 1. 17)
болғанда
ақырлы болады.
мұндағы
жағдайындағы ауыспалы тығыздық
коэффициенті
жағдайының
жағдайындағы ауыспалы тығыздығы
болғанда жүйе
жағдайында болады., егер
жағдайындағы
құбылысының бірінші шығу моменті болса, ал
жағдайына бірінші түскен момент болса, онда
тізбегінде
жағдайынан шықса
жағдайына баратыны белгілі
(1. 1. 18)
ауыспалы тығыздығы мына теңсіздікті қанағаттандырады
1, 2, . . . , (1. 1. 19)
және осы теңдігі орындалса
ауыспалы ықтималдылық қайтымды жүйедегі Колмагоровтің дифференциялдық теңдеуін қанағаттандырады
(1. 1. 20)
Мысал. Пуассон процессі.
Бірыңғай дербес оқиғалар жиынын қарастыралық.
-
уақытындағы оқиғаның мәні Марков құбылысы болады,
ауыспалы тығыздыққа сәйкес келетін
жағдайынан келесі
(
) жағдайына өтуге болады.
екені белгілі. Айталық
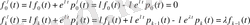
функциясы үшін Колмагоровтің дифференциялдық теңдеуі келесідей
егер
функциясымен алмастырсақ келесідей теңдеу аламыз
мұндағы
және
Дифференциялдық теңдеу түрі
Көрсетілгендей бастапқы шарттардан келесідей шешім аламыз
(1. 1. 21)
алғашқы функциясынан қайтқанда
(1. 1. 22)
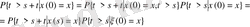
Мысал.
параметріндегі Пуассон құбылысын құрайтын жүйені есептеп шартты топ алынады шарттардың әрқайсысынан кездейсоқ
уақыты шығады, мұндағы
параметрінің экспоненциялды заңдылығы бойынша
- еркін жағдай,
- бос емес жағдайындағы қызыметін қарастыралық.
Кез келген
белгіленген уақыт моментінен осы уақытқа дейінгі пайда болған шарттың сипатына тәуелді емес. Егер жүйе
уақыт моментінде
жағдайында жатса, онда алдыңғы жағдай бұрынғысына тәуелді емес болады.
және
уақыт аралығында
ықтималдылығы
жағдайына өтеді.
моментіндегі жүйе
жағдайында жатса
-дің
жағдайына ауысқандағы кездейсоқ моменті болсын. Экспоненциялды заң бойынша уақыт үлестірімі теңдеуіне келеді:
осы жерден
және
аралығындағы
ықтималдылығы
жағдайына өтетіндігін көреміз және
моментіне дейін оның шығарылуына тәуелді емес.
және
жағдайына сәйкес келетін
және
ауыспалы тығыздығы Марков құбылысының эвалюция жүйесін айтады.
ауыспалы ықтималдылық болсын.
қарастыратын жағдайымыз және Колмагоровтің дифференциялдық теңдеуі келесідей екіге бөлінеді:
(1. 1. 23)
және шешімі мынандай формуламен жазылады
(1. 1. 24)
құбылыстың орнықтылығы. Үзіліссіз
уақытында
біріңғай Марков тізбегі
сәйкес келетін ауыспалы тығыздықтың лездік жағдайы деп атаймыз.
күйіне түскенде жүйе тез ауысады
мұндағы
жағдайынан шыққан бірінші момент. Кез келген
уақыт аралығында жағдайдан шығып қайта оралады.
аралығындағы
жағдайында барлық болған уақыты
жағдайын орнықты деп атаймыз, егер
болса
-күйінің орнықты жағдайында ықтималдылықтың оң аралығы жатады:
Ықтималдылықтың кез келген уақыт аралығында бір сан бір жағдайдан екінші жағдайға өтсе Марков тізбегі орнықты деп аталады.
Марков тізбегі лездік жағдайға жатпайды,
- ауыспалы тығыздығы ақырлы және
- бастапқы
жағдайындағы бірінші шыққан момент т. с. с.
жағдайындағы шыққан момент.
Тізбектің орнықты болуы үшін 1 ықтималдылықтың шартын орындау жеткілікті:
жағдайының ақырлы тізбегі орнықты болады
.
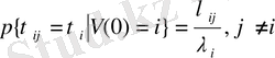
Мысал. Көбейту құбылысы.
уақыт моментіндегі
саны көбейсе
аралығында тағы да бір
ықтимал бөлшек қосылады, ал қатар шамасы
болады. Мұндай құбылыс
жағдайындағы Марков тізбегін құрады және ауыспалы тығыздығы
Орнықтылық шарты бойынша ақырсыз ауыспалы сан жүйесіне кеткен
уақыт ықтималджылығы ақырсыз деп аталады. Бұл шарт
шартына пара-пар. Егер
жағдайынан шыққан момент болса, онда
болады.
мұндағы
-тәуелсіз кездейсоқ шама,
параметрлі үлестірімі көрсеткішіне тәуелді. Сондықтан
(1. 1. 25)
орнықты болады егер тек мына шарт орындалса
бұл шарт былай бөлінеді
осылайша Пуассон құбылысына қарастырған мысалымыздың шешімін аламыз.
- Минимал ауыспалы ықтималдылық.
ауыспалы ықтималдылықтың орнықтылық шарты Колмагоровтің диференциялдық теңдеуінің жалғыз шешімі болып табылады. Кез келген тізбек үшін олай емес, бірақ
минимальді шешімі бар болады, кез келген
шешімі үшін бұл теңдеулердегі барлық
үшін келесі теңдік орындалады
құрамдас минималді шешім
уақыттағы
-дан
-ға дейінгі ауыспалы ықтималдығы шығады.
минималды шешімі
моментіндегі тізбегін айтады, мұндағы
моментіндегі ауысым санын білдіреді
.
Мысал. Құбылысты көбейту. Ауыспалы тығыздық мынадай болсын
және бастапқы моментте бір бөлшек болсын. Ақырсыз көп болатын тағы да бір жағдай енгіземіз.
уақытында бұл жағдай
оң ықтималдылықтан өтетін құбылыс, яғни ауыспалы тығыздыққа сәйкес келетін барлығы нөлге тең және
үшін дифференциялдық теңдеуі мына түрге келеді
(1. 1. 26)
Негізінде
теңдеудің шешімі болмайтындығы белгілі, сондықтан
. Минимальды шешімі жүйедегі
(1. 1. 27)
теңдеуінен біртіндеп анықталады.
1. 2 Бірыңғай марков тізбегін класстарға бөлу
Қайтымды және қайтымсыз жағдай.
жағдайының нәтижесі қайтымсыз деп аталады, ақырлы
уақыт аралығында ықтималдылық 1 жүйесі бұл жағдайда қайтпайды.
- Іс жүргізу
- Автоматтандыру, Техника
- Алғашқы әскери дайындық
- Астрономия
- Ауыл шаруашылығы
- Банк ісі
- Бизнесті бағалау
- Биология
- Бухгалтерлік іс
- Валеология
- Ветеринария
- География
- Геология, Геофизика, Геодезия
- Дін
- Ет, сүт, шарап өнімдері
- Жалпы тарих
- Жер кадастрі, Жылжымайтын мүлік
- Журналистика
- Информатика
- Кеден ісі
- Маркетинг
- Математика, Геометрия
- Медицина
- Мемлекеттік басқару
- Менеджмент
- Мұнай, Газ
- Мұрағат ісі
- Мәдениеттану
- ОБЖ (Основы безопасности жизнедеятельности)
- Педагогика
- Полиграфия
- Психология
- Салық
- Саясаттану
- Сақтандыру
- Сертификаттау, стандарттау
- Социология, Демография
- Спорт
- Статистика
- Тілтану, Филология
- Тарихи тұлғалар
- Тау-кен ісі
- Транспорт
- Туризм
- Физика
- Философия
- Халықаралық қатынастар
- Химия
- Экология, Қоршаған ортаны қорғау
- Экономика
- Экономикалық география
- Электротехника
- Қазақстан тарихы
- Қаржы
- Құрылыс
- Құқық, Криминалистика
- Әдебиет
- Өнер, музыка
- Өнеркәсіп, Өндіріс
Қазақ тілінде жазылған рефераттар, курстық жұмыстар, дипломдық жұмыстар бойынша біздің қор #1 болып табылады.

Ақпарат
Қосымша
Email: info@stud.kz