Полистирол


Кіріспе
Полимерлену процестерінің өнеркәсібі қазіргі кезде анағұрлым қуатты және органикалық синтездің анағұрлым дамушы салалардың бірі болып келеді.
Полимерлік материалдар авиақұрылыста (реактопластар, термопластар, резиналар, герметиктер, лак-бояулар), көлік құрылысында ( резиналар, лак-бояулар), медицинада (медициналық-техникалық қолданыста, хирургияда, травматологияда, офтальмологияда, стомотологияда), радиоэлектроникада, құрылыста, электротехникада, темір жол көліктерінде кеңінен қолданылады.
Полимерлік материалдардың авиақұрылыста қолданылуы олардың жеңілділігімен және техникалық қасиеттердің кең диапазонымен түсіндіріледі. Полимерлік материалдар авиақұрылыста негізінен армирленген пластиктер ретінде қолданылады. Полимерлік материалдардың технологиялық, механикалық және калористикалық қасиеттері олардың кабиналардың, салондардың ішкі көрінісін құруда қолданысын кеңейтті.
Көліктің сенімді жұмысы, оның ыңғайлы және қауіпсіз қозғалысын қамтамасыз ету үшін полимерлік материалдар - пластмасса, резина, лактарды және бояуларды қолдану қажет. Пластмассалардың қолданылуы көлік құрылысында кеңейіп жатыр. Пластмассалардан көліктің кузовтарын, кабиналарын және олардың бөлек ірі габаритті құрлықтарын жасайды. Көлік құрылысы үшін аса маңыздысы резиналы бұйымдардың ішіндегі шина болып келеді.
Полимерлік материалдарды медицинада кеңінен қолданады. Полимерлер медициналық техниканың құралдарын, арнайы ыдыстар мен дәрі-дәрмектер үшін әртүрлі орамаларды, сыртқы протездеу бұйымдарын жасау үшін қолданады.
Полистирол лак және бояулар аймағында төмен молекулалық стиролды шайырлар және стиролды шайырлар ретінде органикалық қолданылуын тапты.
Құрылыс техникада полистиролды негізінен көбікті полистирол өндірісі үшін қолданады. Көбікті полистиролдардың әр түрлі маркалары (ПС-1, ПС-4, ПС-Б жне т. б. ) жылу оқшаулағыш материал ретінде кең қолданылады [1] .
Әлемдік химиялық нарықты зерттеумен айналысатын американдық компанияның Chemical Market Associates Inc. (CMAI) мәліметтері бойынша әлемде полистирол қолданысының көлемі жылына 14, 4 млн тоннаны құрайды, соның ішінде 3, 5 млн тоннасы Батыс және Шығыс Еуропаға келеді.
Қазақстандық SAT&Company мұнай химиялық компанияның мәліметтері бойынша Қазақстанда, Ресейде және ТМД басқа мемлекеттерінде байқалған полистиролды пластиктер қолданысының құрылымы мынаны көрсетеді: нарықта негізгі үлесті соққыға берікті полистирол - 51%, сополимерлердің үлесі - 20, көбіктенетін полистиролдың - 18, жалпы қолданыстағы полистиролдың - 9 және стирол сополимерлерінің үлесі - 2% алды. Сонда, анағұрлым тұрақты қолданушы секторы жататын материалдардың және жылу оқшаулаудың нарығы болып табылады [2] .
Қазақстан Республикасының 2004-2010 жылдарда мұнай химиялық өнеркәсіптің даму бағдарламасы құрастырылды. Қазақстанда мұнай химиясының даму жолының бірінші қарлығашы Sat Operating Aktau полистиролды өндіру бойынша Ақтау зауыты болды. Sat Operating Aktau ТМД территориясындағы стиролды синтездеу және өндеу бойынша ірі комплекстерінің бірі болып табылады.
2006 жылдың 3 тамызында Атырау қаласында бірінші интеграцияланған мұнай химиялық комплекстің құрылыс жобасының қоршаған ортаға әсерінің алдын-ала бағалануы (ҚОӘААБ) бойынша қоғамдық тыңдаулар болды. ҚОӘААБ «КазЭкоПроект» алматылық компаниясымен жасалды.
Өндірістік объекттердің жұмысынан Атырау қаласы мен Каспийдің жағалық территорияларына келіп түсетін үлкен экологиялық жүктемелерді ескере отырып, сондай-ақ көмірсутекті кешендерді игеру мен шикізатты біріншілік өңдеу бойынша бірінші интеграцияланған мұнай химиялық комплекстің құрылысы мен өндірістік жұмысы үшін комплекстің негізгі қондырғылары дислокациясының жаңа концепциясы-Қарабатан станциясының қала сыртындағы өнеркәсіптік аймағы-анықталды.
Жоғарғы үстеме құны бар мұнай химиялық өндірістер құрылысының басқа да инвестициялық жобалары (2007-2009) жасалады: Атырау МӨЗ-інде бензолды алу, этилбензол мен этиленгликольді алу, Маңғыстау облысының Ақтау қаласындағы пластмасса зауытында жол битумының өндірісі, және басқа да ароматты қосылыстар өндірісінің мүмкіндігі қарастырылуда [3] .
1 Әдеби шолу
Полистирол өндірісі үшін бастапқы шикізат стирол болып келеді. Стирол қанықпаған бүйір тізбегі бар ароматты қосылыс болып табылады. Стиролды 1839 жылы Симон деген ғалым ашты. Германияда стирол өндірісінің бағдарламасын өндеуге шамамен 1930 жылы кірісті.
СН=СН 2
Стирол
Стирол ─ түссіз сұйықтық, жағымсыз иісті болып келеді. Стиролдың қайнау температурасы 145ºС, қату температурасы -31ºС, критикалық температурасы 373ºС, жасырын балқу жылуы 365 Дж/г, тұтқырлығы 0, 78 Па*с, тығыздығы 906 кг/м 3 , молекулалық массасы 104 болып келеді. Стирол әр түрлі қатынастарда көптеген органикалық еріткіштермен араласады (полярсыз және әлсіз полярлы) : төмен спирттермен, алифатты, хлорланған, ароматты көмірсутектермен, нитропарафиндермен, күкіртті көміртегімен және т. б. Стиролдың жоғарғы спирттер, кетондар мен эфирлерде ерігіштігі шектеулі, суда ол аз ериді (0, 03%) және стиролда су қиын ериді (0, 07%) .
Стирол органикалық асқын тотықтардың, хинонның және үшіншілік бутилпирокатехиннің жақсы еріткіші болып келеді. Стирол есірткілік әрекетке ие. Олардың буларымен ұзақ демалу жүйке жүйесіне әсер етеді, қан және бауыр құрамының өзгеруіне, терінің бұзылуына әкеледі [4] .
Стирол гомополимер және түрлі сополимерлерді алу үшін қолданады. Ол метилметакрилатпен, акрилонитрилмен, изобутиленмен, бутадиенмен оңай сополимерленеді. Соңғысымен жоғары сапалы синтетикалық каучуктер жасау үшін сополимер алады. Конструкциялық жоғары берікті материал акрилонитрил, бутадиен мен стиролдың сополимеріне (АБС-пластик) ие. Стиролдың каучукке телу жолымен жоғары берікті материал - соққыға берік полистирол алынады [5] .
Өнеркәсіпте стиролды негізінен этилбензолды катализатор қатысында дегидрлеу жолымен алады:
СН 2 -СН 3 СН=СН 2
+ Н 2
Полистирол (ПС) - сызықты, күшті тармақталған, құрылымы ретсіз полимер:
~СН-СН 2 ~
Полистирол
Полистирол 100°С жоғары температурада алынған болса, полимер арқылы тізбектің берілу реакциясы салдарынан тармақталған болады.
Полистиролдың макромолекулаларының құрылысы сызықты болып келеді. Полимердің орташа молекулалық салмағы - 3 000-нан 9 дейін болады, бұл полимерлеу әдістеріне және жағдайларына байланысты болады. Макромолекула буындары «бастың соңына» типі бойынша бір-бірімен жалғанады.
Полистирол винилді полимер болып табылады. Құрылымдық жағынан ұзын көмірсутекті тізбектен және әрбір екінші көмірсутекке қосылған фенилді топтардан тұрады.
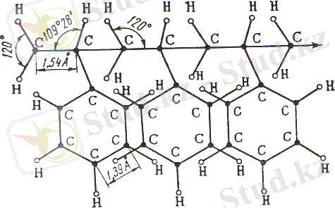
Полистирол макромолекуласының бір бөлігінің ретті құрылымының схемалық суреттемесі 1-суретте (қара дөнгелектермен көміртегі атомдары, ал ақ - сутектің атомдары бейнеленген) келтірілген. Полистролдың молекулалық тізбегі сызықтық және аз мөлшердегі тармақталған құрылымға ие. Тармақталған құрылым түзілген гомополимер молекулалары мен өсуші радикалдар арасындағы тізбекті беру реакциясының нәтижесінде түзіледі. Тармақтардың саны және өлшемі полимерлеу жағдайына және дәрежесіне байланысты өзгереді.
Сурет 1 - Полистиролдың молекула құрылысының схемасы
Техникада қолданылатын полистирол аморфтық құрылымға ие. Негізгі тізбекпен салыстырғанда фенилді топтар ретсіз орналасады. Бұл сутегі атомдарымен салыстырғанда фенилді топтардың үлкен өлшеміне байланысты кристалдық бөліктердің түзілуіне кедергі жасайды.
Аморфты полистирол қалыпты температурада қатты, мөлдір және жоғары атмосфераға тұрақтылыққа ие. Полимер төмен тығыздықпен
(1, 05 г/см 3 ), жоғары суға тұрақтылықпен, жақсы диэлектрлік қасиеттерімен (диэлектрлік өткізгіштік 2, 6, электрлік беріктілік 50 км/мм) сипатталады.
Аморфты полистиролдың құрылымын жоғары температурада оны ұзарту арқылы реттеуге болады. Бұл полимер беріктігінің өсуіне және тегістігінің жоғарылауына әкеледі.
Стереоретті полистиролды TiCl 3 және Al(C 2 H 5 ) 3 катализаторы қатысында 60-75 0 С температура кезінде бензолда ерітілген стиролдың аниондық полимерленуі арқылы алуға болады. Алынатын изотактикалық полимер құрамында 50% дейін кристалдық фаза болады [6] .
Синдиотактикалық полистирол деп аталатын полистиролдың жаңа типі бар. Оның басқа полистирол түрлерінен ерекшелігі: тізбектелген фенилді топтар оның негізгі тізбегінде әр жақтан қатарласып орналасады. Ал «қарапайым» немесе атактикалық полистиролда макромолекуланың негізгі тізбегіне деген фенилді топтарының осындай реттілігі болмайды, яғни ретсіз болады.
Cиндиотактикалық Атактикалық
полистирол полистирол
Жаңа синдиотактикалық полистирол кристалдық құрылымға ие, ал оның балқу температурасы 270 0 С құрайды. Синдиотактикалық полистиролды металдық катализаторлармен бірге полимерлеу жолымен алады [7] .
Полистиролдың негізгі қасиеттері
Тығыздық, кг/м 3 1040-1060
Шынылану температурасы, °С 78-85
Мартенс бойынша жылутұрақтылғы, °С 75-85
Үлестік жылу сыйымдылығы, кДж/кг°С 1, 34
Жылу өткізгіштік коэффициенті, Вт/м°С 0, 09-0, 16
Сызықты температуралық ұзару коэффициенті (6-8) -10
24 сағат ішінде су сіңіргіштігі, % 0, 04
Сыну көрсеткіші 1, 59-1, 60
Жанғыштығы, см/мин 1, 27-2, 54
Ұрылу тұтқырлығы, кДж/м 2 12-22
Беріктілік шегі, МПа:
Ұзару кезінде 35-60
Иілу кезінде 55-130
Бринелль бойынша қаттылығы, МПа 140-160
Стиролдың бос радикалды және ионды механизм бойынша полимерленуі мүмкін. Бос радикалды механизм бойынша полимерленуінің нәтижесінде алынған полистирол атактикалық құрылымға ие және аморфты болады; ионды полимерлену нәтижесінде және катализатор типіне байланысты алынған полимер аморфты немесе кристалдық (изотактикалық) болуы мүмкін.
CH=CH 2 -CH-CH 2 -
n
Жоғары молекулалық аморфты полистирол түрлі әдістермен - массада, эмульсияда, суспензияда немесе ерітіндіде инициаторлардың қатысында немесе қатысынсыз алынуы мүмкін.
Изотактикалық полистиролды Циглер-Натта стереоспецификалық катализаторлар қатысында алады.
Өнеркәсіпте полистиролды негізінде стиролдың бос радикалды полимерленуімен алады, барлық танымал әдістері мыналар болып табылады: тізбекті (массада), эмульсиялы, суспензиялы және еріткіштерде. Ерітіндіде полимерлену кең қолданысқа ие емес, өйткені алынған полимердің молекулалық салмағы аз болады, ал оны ерітіндіден бөлу елеулі қиындықтар туғызады. Бұл полимерлену әдісін полимер ерітінді (лак, желім) түрде пайдалануы қажет болғанда қолданылады. Кең қолданысты полимерленудің тізбекті және эмульсиялы түрлері алды [6] .
Полистиролдың көбісі массада өндіріледі. Ол инициатор қатысында және оның қатысынсыз жүзеге асырылуы мүмкін. Полимерленудің инициаторлары ретінде бензоилдің асқын тотықтары, азо-бис-изомай қышқылының динитрилі және басқалары қолданылады. Жоғары диэлектрлік көрсеткіштерге ие, тазалығы жағынан жоғары дәрежелі полистирол алу үшін полимерленуді инициаторсыз (термиялық полимерлену) жүзеге асырады. Бұл қыздыру кезінде жоғары жылдамдықпен стиролдың полимерленуге қабілеттілігімен түсіндіріледі. Тізбекті полистиролды түссіз және түрлі түске боялған түйіршіктер түрінде шығарады. Түссіз өнім жоғары сапалы диэлектрик ретінде қабыршақ түрінде, боялған өнім техникалық және тұрмыстық қолданыстағы түрлі құйылған бұйымдарды жасау үшін қолданыс тапты. Бұл әдістің артықшылығы - үздіксіз, жоғары механикаландырылған әрі автоматтандырылған агрегатта жасау мүмкіндігі; жоғары өнімділігі, полимердің жоғары диэлектрлік көрсеткіштері, химиялық ластанған ағынды суларының жоқтығы.
Полистиролдың аз тоннажды маркасы және стирол сополимерлерін алуда қолданылады. Стиролдың суспензиялық полимерленуі эмульсиялық полимерленуге ұқсас болып келеді. Бұл екі әдіспен алынған полимерлер бөлшектердің өлшемдерімен ерекшеленеді. Мономер бөлшектері эмульсиялық полимерленуге қарағанда суспензиялық полимерленуде елеулі үлкен болады. Инициаторлар ретінде мономерде еритін және суда ерімейтін заттар қолданылады. Эмульгаторлар орнына крахмал, желатин, поливинилді спирт қолданылады. Бұл заттар суспензияны тұрақтандырғыштар деп аталады [5] .
Тізбекті әдіспен салыстырғанда суспензиялық әдістің артықшылықтары мыналар болып табылады:
- жылуды шығару жеңілдігі және полимерлеуді анағұрлым төмен температурада жүргізу мүмкіндігі;
- өнімде бос стиролдың құрамы төмен болады;
- суспензиялық әдіспен полимер және сополимерлердің кең ассортиментін алуға болады;
Суспензиялық әдістің кемшіліктері:
- процесті тек қана мерзімді тәсілмен жүргізуге болады, өйткені суспензияның тұрақтылығы төмен болады;
- процестің көп сатылығы;
- ағынды сулар көп түзіледі [8] .
Стиролдың эмульсиялық полимерленуін сулы ортада арнайы эмульгаторлар және суда еритін инициаторлар қатысында жүргізеді. Эмульгаторлар - бұл эмульсияны тұрақтандыратын беттік-активті заттар. Эмульгаторлар ретінде суда еритін май қышқылдарының тұздары (сабын), карбон мен ароматты сульфоқышқылдарының тұздары және тағы басқа заттар қолданылады. Процестің температурасы тізбекті полимерленуге қарағанда төмен болады, бұл молекулалық массасы жоғары полимердің алынуын қамтамасыз етеді. Эмульсиялық әдіспен негізінен АБС-сополимерлер өндірісінде қолданылады. Бұл әдіспен көбікті полистирол өндірісі үшін полистирол алынады. Эмульсиялық полистирол тізбектіге қарағанда жоғары молекулалық массаға және жоғары соққы тұтқырлығына ие болып келеді [5] .
Бұл әдістің кемшіліктері:
- полимер тазалануын қиындататын эмульгаторларды көп мөлшерде қолданылуы;
- полимердің жоғары дисперстілігі;
- диэлектрлік көрсеткіштерін нашарлататын түрлі қоспалармен полимердің ластануы;
- ағызынды суларды тазалаудың көп сатылы процесі.
Тізбекті және суспензиялық әдіспен алынған полистиролдың өзіндік бағасын салыстырғанда, ең жақсы техникалық-экономикалық көрсеткіштерге тізбекті әдіспен алынған полистирол ие екенін көреміз.
Әр түрлі әдістермен синтезделген полистиролдың қасиеттері төменде келтірілген:
Тізбекті Суспензиялық Эмульсиялық
Тығыздық, г/см 3 1, 05-1, 08 1, 05-1, 08 1, 05-1, 08
Ұзару кезіндегі беріктік
шегі, кгс/см 2 350 400-420 500
Вик бойынша жылуға
тұрақтылығы, 0 С 100-105 105-108 110
Электрлік беріктік, кв/мм 25 20-22 20-22
Қалдықты мономердің
құрамы 0, 5-0, 8 0, 1-0, 5 0, 15-0, 2
Анағұрлым таралған полистиролды пластиктерді келесі топтарға біріктіруге болады:
- полимерлер (гомополимерлер) ;
- стиролдың сополимерлері:
а) екілік (акрилонитрилмен-СН және метилметакрилатпен) ;
б) үштік (акрилонитрилмен және метилметакрилатпен-МСН) ;
- каучукпен блок-сополимерлері:
а) соққыға берік полистирол - каучук пен стиролдың екілік сополимерлері;
б) АБС пластиктері - каучук және акрилонитрилмен стиролдың үштік сополимерлері [8] .
Қалыпты температурада полистирол қатты мөлдір материал, шыныға ұқсас болып келеді, спектрдің көрінетін бөлігінің сәулелерін 90% дейін өткізеді. Полистирол түссіз, оның дәмі және иісі болмайды, физиологиялық жағынан зиянсыз және басқа пластмассалармен салыстырғанда жеңіл болады.
Полимердің қатты аморфты күйі 80°С дейін сақталады. Осы температурадан жоғары болғанда полимер эластикалық күйге өтеді, жайлап температураның жоғарылауымен эластикалық деформация өседі.
Шамамен 300°С температурада полистирол бұзылады. Полистиролдың термиялық деструкциясы 260°С кезінде, термототықтырғыш - 200°С кезінде басталады. Азот атмосферасында полимердің деструкциясы анағұрлым жоғары температуралар кезінде жүреді: 300°С кезінде полистирол азотта өте жай полимерсізденеді және 375-400°С -та полимерсіздену жылдамдығы ауада 200°С температурада полистирол полимерсіздену жылдамдығына жақындай бастайды. Полистиролдан жасалған бұйымдарды қолданудың анағұрлым жұмыс температурасы 70°С аспау керек. Жылу және жарыққа тұрақтылықты жоғарылату үшін полистиролға тұрақтандырғыш қосады. Полистиролды 220°С температураға дейін ысытқанда деструкция өнімдердің негізгі компоненті стирол пайда болады.
Полистирол иондаушы сәулеленуге анағұрлым тұрақты полимерлердің бірі болып табылады. 5800 Мфэр дозасы тек қаттылық модулін кішкене жоғарылатады, сонымен қатар полимердің мөлдірлігі 50%-ке төмендейді.
Полистиролдың кристалдануын 150°С температура кезінде полимерді ұзақ ысыту арқылы жеңілдетуге болады. Кристалды полистиролдың негізгі тізбегі спираль тәріздес формада болады.
Полистирол майлардың, спирттердің, судың, араласқан және концентрлі тұздардың, галоген сутектік қышқылдардың және сілтілердің әсеріне тұрақты болады. Ол стиролда, ароматты және хлорланған көмірсутектерінде, күрделі эфирлерде, кетондарда жақсы ериді. Тотықтырғыш агенттердің, сутегінің асқын тотығының, калий перманганатының, күкірт және азот қышқылдарының, мұзды сірке және сүт қышқылдарының әсерімен бұзылады. Керосин және жоғары спирттер полистиролдан жасалған бұйымдардың сынуына әкеледі.
Полистиролдың артықшылығы - суға жоғары тұрақты және қышқылдардың сулы ерітіндісінің, сілтілердің және тұздардың әрекетіне тұрақты, өте жақсы диэлектрлік қасиеттері, қанағаттанарлық механикалық қасиеттері, жеңіл боялуы болып келеді.
Полистиролдың кемшіліктері - күн сәулесінің әсерінен ескіруі, жеткіліксіз жылу тұрақтылығы, ұрылу жүктердің әсерінен жоғары емес беріктілігі, органикалық еріткіштер әсеріне тұрақсыз. Оның атмосфераға тұрақтылығы: ашық ауада ол сары түске айналады және сынады.
Полистирол өте жеңіл қайта өнделеді. Температура 145-155°С кезінде полистиролды престеу, ал 180-220°С кезінде қысым астында ағу арқылы бұйымдарға қайта өндеуге болады. Полистирол жақсы оптикалық қасиеттерге (түсі, мөлдірлігі, сыртқы көрінісі) ие, ал жоғары сыну көрсеткіші (1, 60) оны оптикалық бұйымдар жасауға қолдануға мүмкіндік береді. Ол жақсы оқшаулағыш және диэлектрлік жоғалуының факторы төмен болып келеді.
Полистирол полярсыз қосылыс сияқты ароматты және хлорланған көмірсутектерде, күрделі эфирлерде, кетондарда және басқа полярсыз органикалық қосылыстарда жеңіл ериді. Ең жақсы еріткіштері тетрахлорэтан, изопропилбензол, хлороформ, ксилол, толуол, бензол, бутилацетат болып келеді. Полистиролға жағымсыз әсер ететіндер (бетінің нашарлануы) бензин, керосин, скипидар, жоғары спирттер, эфирлі майлар болып келеді, полистирол оларда және төмен спирттерде, эфирде, фенолда, сірке қышқылында, суда ерімейді.
Кесте 1 - Полистиролдың және стирол сополимерлерінің физика - механикалық қасиеттері
Бұзылу кернеуі, МПа
Ұзару кезінде
Иілу кезінде
Қысу кезінде
35-40
55-70
80-100
49
100
65-75
-
90-100
-
2-7
-
0, 3-3
30-44
60-100
-
27-56
55-60
-
35-60
50-97
46-80
Меншікті электрлік кедергісі
Беттік, Ом
Көлемдік, Ом
10 16 -10 17
10 14 -10 16
10 16
10 14
10 16
10 15
2*10 14
4*10 14
10 13 -10 14
10 12 -10 13
10 13 -6*10 15
10 12 -2*10 14
10 15
5*10 13
-
5*10 13 -10 14
Полистиролдың физика-механикалық қасиетіне оның алу әдістері, молекулалық массасы, полидисперстілігі әсер етеді. Құрамында төмен молекулалы фракциялардың көп болуы ұзаруға, ұрылуға, иілуге беріктілігі төмендейді; құрамындағы жоғары молекулалық фракциялардың болуы полистиролды қайта өндеуді қиындатады. Полимерді шынылану температурасынан жоғары температурада ысыту оның барлық беріктк сипаттамалардың төмендеуіне әкеледі.
Шынылану температурасына дейін полистирол үшін үзілу кезіндегі ұзаруының аз көлемі тән; одан жоғары температура кезінде полистирол иілімді болады, содан кейін жұмсақ және жабысқақ, жайлап тұтқырлы сұйықтыққа айналады (шамамен 185°С) . Полистирол қолдану кезінде максималды жұмыс температурасы 70-75°С болып келеді.
Полимерленудің белгілі бір дәрежесіне жеткен кезде полистиролдың жылуға тұрақтылығы молекулалық массаға байланысты болмайды, бірақ мономердің құрамын жоғарылатқан кезде ол өзгереді. Бұл заңдылық былай түсіндіріледі: полимердің жұмсару температурасы жалпы тізбектің қозғалтқыштығымен емес, макромолекулалардың бөлек буындардың қозғалтқыштығымен байланысты болуы, сондықтан буындар арасындағы байланыстың сипатына тәуелді.
Көптеген пластиктер сияқты полистирол сырғығыштыққа - жүктің ұзақ әсерінен деформациялануға қабілеттілігіне ие. Жүктің әсерінен полистиролдың деформациясы уақытымен өседі, неғұрлым материалда кернеу жоғары болса, соғұрлым сырғығыштық үлкен болады. Тура сондай өзгерісті полимерді ысыту кезінде байқауға болады.
Полистиролдан жасалған бұйымдарда ішкі кернеулердің болуы оның физика-механикалық көрсеткіштерін төмендетеді.
Полистиролға тән кемшіліктерді азайту үшін жылулық, химиялық, физика-механикалық қасиеттері жақсарған полистиролды пластиктердің жаңа түрлерін өндіру бойынша жұмыстар жүргізіліп жатыр. Бірақ бірқатар қасиеттерін жақсартқанда басқа қасиеттердің нашарлауына әкеледі [8] .
Гомополимер стиролдың әр түрлі модификация әдістері қолданылады: синтетикалық каучуктермен қосу, басқа мономерлермен сополимерленуі, стирол туындылардың полимерленуі.
Полистиролдың каучукпен қосылуы кезінде соққыға беріктілік қасиеттері ғана емес, сонымен қатар майларға және еріткіштерге тұрақтылығы жоғарылайды.
Мұндай тізбекті сополимердің (СНП) физика-механикалық қасиеттері сополимердегі акрилонитрил құрамына байланысты болады, сонымен қатар қоспада сополимер мен каучуктің қатынасына да байланысты болады.
Жылуға тұрақты полистирол. Полистиролдың жылуға тұрақтылығын жоғарылату стирол сополимерлерінің алумен жүзеге асырылады.
Техникада анағұрлым қолданылуын стиролдың (полимонохлорстирол, 2, 5-полидихлорстирол) хлор туындыларының полимерлері тапты. Полидихлорстирол мономердің эмульсиялы полимерленуі арқылы алынған, жылуға тұрақтылығы (Мартенс бойынша) 110°С төмен емес және полистиролдың көптеген бағалы қасиеттерін сақтайды. Ол құрамындағы хлордың үлкен мөлшеріне байланысты жануға қабілетті болмайды.
Полимердің жылуға тұрақтылығын жоғарылату үшін стиролды модифицирлеудің анағұрлым жақсы әдісі оның аз мөлшердегі басқа винилді мономерлермен (акрилонитрилмен, дивинилбензолмен, α-метилстиролмен жне т. б. ) сополимерленуі болып келеді.
Соққыға берік полистирол. Стирол мономерінің біраз мөлшерін алып, оны полибутадиенді каучукпен радикалды полимерлену жолымен сополимерлейміз. Бұл әдіс материалдың соққыға беріктілігін жоғарылатады. Тізбекті сополимерлену ― сополимерлер алудың әдістерінің бірі. Нәтижесінде алынған сополимер телінген сополимер типіне жатады немесе графт-сополимер деп аталады. Мұндай полимерлердің молекулалары бір полимердің негізгі тізбегінде басқа полимердің тізбегі жалғанған құрылымда болады [6] .
- Іс жүргізу
- Автоматтандыру, Техника
- Алғашқы әскери дайындық
- Астрономия
- Ауыл шаруашылығы
- Банк ісі
- Бизнесті бағалау
- Биология
- Бухгалтерлік іс
- Валеология
- Ветеринария
- География
- Геология, Геофизика, Геодезия
- Дін
- Ет, сүт, шарап өнімдері
- Жалпы тарих
- Жер кадастрі, Жылжымайтын мүлік
- Журналистика
- Информатика
- Кеден ісі
- Маркетинг
- Математика, Геометрия
- Медицина
- Мемлекеттік басқару
- Менеджмент
- Мұнай, Газ
- Мұрағат ісі
- Мәдениеттану
- ОБЖ (Основы безопасности жизнедеятельности)
- Педагогика
- Полиграфия
- Психология
- Салық
- Саясаттану
- Сақтандыру
- Сертификаттау, стандарттау
- Социология, Демография
- Спорт
- Статистика
- Тілтану, Филология
- Тарихи тұлғалар
- Тау-кен ісі
- Транспорт
- Туризм
- Физика
- Философия
- Халықаралық қатынастар
- Химия
- Экология, Қоршаған ортаны қорғау
- Экономика
- Экономикалық география
- Электротехника
- Қазақстан тарихы
- Қаржы
- Құрылыс
- Құқық, Криминалистика
- Әдебиет
- Өнер, музыка
- Өнеркәсіп, Өндіріс
Қазақ тілінде жазылған рефераттар, курстық жұмыстар, дипломдық жұмыстар бойынша біздің қор #1 болып табылады.

Ақпарат
Қосымша
Email: info@stud.kz