35 кВ кернеулі тұйықталмаған тораптың түйін нүктелеріндегі кернеу және торап бөліктеріндегі қуат таралуын есептеу

«Электроэнегетика» пәні
«Электрлік жүйелер және тораптар» бөлімі
Есептеу-графикалық жұмыс
Орындыған: студенті
Сынақ кітапша нөмірі 10
Қабылдаған: аға оқытушы
Мазмұны
- Кіріспе . . . 3
- Есептеу шарты . . . 4
- Берілгендері . . . 4
- Есептеу бөлімі . . . 5
- Бақылау сурақтары . . . 10
- Қорытынды . . . 12
- Қолданылған әдебиеттер тізімі . . . 13
Кіріспе
Есептеу графикалық жұмыс екі бөлімнен турады. Бірінші бөлімінде 35кВ кернеулі тұйықталмаған тораптың түйін нүктелеріндегі кернеуді анықтау және торап бөліктеріндегі қуаттың таралуын табу.
Сонымен қатар, электр торабының орынбасу сұлбасын құру қажет. Торап бөліктеріндегі қуаттың таралуын, активті және реактивті жүктемелердің тізбектей қосындысымен анықтау. Тораптағы толық кернеу шығынын және түйіндік нүктелеріндегі кернеу деңгейін анықтау қажет.
Ал екінші бөлімінде бақылау сурақтарына жауап беру қажет.
Есептеу шарты
1 - суретте көрсетілген 35кВ кернеулі тұйықталмаған тораптың түйін нүктелеріндегі кернеуді анықтау және торап бөліктеріндегі қуаттың таралуын табу. Ол үшін:
- Орынбасу сұлбасын құру;
- Желідегі активті және реактивті кедергілерді анықтау;
- Желінің әрбір бөлігіндегі реактивті Р және толық S қуатты есептеу;
- Желінің бөліктеріндегі қуат ағынын есептеу;
- Түйін нуктелеріндегі кернеу деңгейін анықтау.
Берілгені : №1 кесте
- сурет. 35 кВ кернеулі тұйықталмаған торап
Есептеу бөлімі
- Орынбасу сұлбасын құрамыз:
- - сурет. Электр торабының орынбасу сұлбасы.
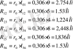
- Төмендегі формула бойынша желідегі активті және реактивті кедергілерді анықтаймыз:
, (1)
мұндағы, r 0 - активті меншікті кедергі ;
l i - бөліктер ұзындығы.
, (2)
мұндағы, x 0 - реактивті меншікті кедергі ;
l i - бөліктер ұзындығы.
Справочниктен меншікті активті және меншікті реактивті кедергілердің мәнін аламыз, сым маркасы бойынша.
3. Желінің әрбір бөлігіндегі реактивті Р және толық S қуатты келесі формулалармен есептейміз:
(3)
мұндағы P i - активті қуат;
cosϕ - қуаттылық коэффициенті.
(4)
мұндағы P - активті қуат;
S - реактивті қуат.
(4) формуладан Q табамыз:
- Желінің бөліктеріндегі қуат ағынын есептейміз:
- Желінің бөліктеріндегі кернеуді келесі формуламен табамыз:
(5)
мұндағы, U 1 - желідегі кернеу;
U 0 - желінің басындағы кернеу 1, 05 U ном ;
∆U t -қарастырылатын бөліктегі кернеудің құлауы;
(6)
мұндағы,
- қарастырылатын бөліктегі кернеудің құлауы;
P і - активті қуат;
S і - реактивті қуат;
R i - активті кедергі;
X i - реактивті кедергі;
U 0 - желінің басындағы кернеу 1, 05 U ном ;
Кесте- 2. ЭБЖ бөліктері
Х,
Ом
R,
Ом
Х,
Ом
R,
Ом
Х,
Ом
R,
Ом
Х,
Ом
R,
Ом
Х,
Ом
Р,
МВт
Q,
МВар
Р,
МВт
Q,
МВар
Р,
МВт
Q,
МВар
Р,
МВт
Q,
МВар
Р,
МВт
Q,
МВар
Р,
МВт
Q,
МВар
Бақылау сұрақтары.
3-вариант
- Әуелік желі электр берілістеріндегі қандай бағаналарды білесіз?
Ауалы электр беріліс желілері электр энергияны проводтар арқылы алыс қашықтықтарға таратады. Негізгі құрылыстың элементтері болып проводтар, найзағайдан қорғайтын тростар, тіректер, оқшаулағыштар және сызықты арматуралар болып табылады. Проводтар электр энергияны беру үшін қолданылады. Электр беріліс желісін найзағайдан қорғау үшін тіректерге жалғанған проводтардың жоғарғы жағында тростар орнатылады.
Тіректер - проводтар мен тростарды жердің жоғарғы жағында ұстап тұрады. Ал оқшаулатқыштар болса, тіректерден проводтарды оқшаулатуға арналған. Сызықты арматура - проводтарды оқшаулатқыштарға және оқшаулатқышты тіректерге бекіту үшін қолданылады.
Ауалы желілерде оқшауланбаған проводтар қолданылады. Көбінесе алюминий, болаттан жасалынады. Найзағайдан қорғайтын тростар әдетте болаттан жасалынады. Тростарды найзағайдан қорғау үшін ғана емес, жоғары сапалы байланыс орнату үшінде қолданады.
а) б) в)
3-сурет. Ауа провод желісінің құрылысы.
1-суретте ауа провод желісінің құрылысы көрсетілген. Бір проволокалы провод (1-сурет, а) бір дөңгелек проволокадан тұрады. Бұндай проводтар көп проволокалы проводтарға қарағанда арзан болады, бірақ механикалық беріктілігі төмен болады. Бір материалдан құралған көп проволокалы провод (1-сурет, б) болса, бірнеше өзара байланысқан проволокалардан тұрады. Ауданы артқан сайын проволокалар саны да артады. Ал екі түрлі металлдан құралған көп проволокалы проводтың (1-сурет, в) ішкі проволокасы (өзекше проволока) болаттан жасалады, ал сыртқы проволокалар алюминийден.
Ауалы желі тіректері анкерлік және аралық болып бөлінеді. Бұл тіректер проводтардың іліну тәсілі арқылы ерекшеленеді. Аралық тіректер оқшаулатқыш гирляндты арматура арқылы проводтарды ұстап тұру үшін қызмет етеді. Анкерлік тіректер проводтарды керіп қою үшін қолданылады.
Анкерлік тіректер аралыққа қарағанда қымбаттау және күрделілеу болып келеді.
Бұрылыс нүктелерінде бұрыш тіректер қолданылады. Олар анкерлі немесе аралық болады.
Ауалы желілерде арнайы қолданылатын тіректер: тармақталмаған, өтпелі және транспозициялық.
... жалғасы- Іс жүргізу
- Автоматтандыру, Техника
- Алғашқы әскери дайындық
- Астрономия
- Ауыл шаруашылығы
- Банк ісі
- Бизнесті бағалау
- Биология
- Бухгалтерлік іс
- Валеология
- Ветеринария
- География
- Геология, Геофизика, Геодезия
- Дін
- Ет, сүт, шарап өнімдері
- Жалпы тарих
- Жер кадастрі, Жылжымайтын мүлік
- Журналистика
- Информатика
- Кеден ісі
- Маркетинг
- Математика, Геометрия
- Медицина
- Мемлекеттік басқару
- Менеджмент
- Мұнай, Газ
- Мұрағат ісі
- Мәдениеттану
- ОБЖ (Основы безопасности жизнедеятельности)
- Педагогика
- Полиграфия
- Психология
- Салық
- Саясаттану
- Сақтандыру
- Сертификаттау, стандарттау
- Социология, Демография
- Спорт
- Статистика
- Тілтану, Филология
- Тарихи тұлғалар
- Тау-кен ісі
- Транспорт
- Туризм
- Физика
- Философия
- Халықаралық қатынастар
- Химия
- Экология, Қоршаған ортаны қорғау
- Экономика
- Экономикалық география
- Электротехника
- Қазақстан тарихы
- Қаржы
- Құрылыс
- Құқық, Криминалистика
- Әдебиет
- Өнер, музыка
- Өнеркәсіп, Өндіріс
Қазақ тілінде жазылған рефераттар, курстық жұмыстар, дипломдық жұмыстар бойынша біздің қор #1 болып табылады.
Ақпарат
Қосымша
Email: info@stud.kz
, (1)