Фонтанды скважиналарды жөндеу


Жер асты қондырғылары мен скважина оқпанындағы ақауларды жою, түп маңы аймағына жер етумен байланысты комплекстік жұмыстарды - жер асты жөндеу деп атайды.
Істегі скважиналар қорының жөндеу жұмыстарымен тұрғызу үзақгығы, жыл бөліп немесе айдағы жалпы календарлық уақыты мен скважинаның нақты жұмыс уақытының қатынасынан шығатын пайдалану коэффицентімен өлшенеді.
С. Нұржанов кен орнында, қазіргі жағдайда скважинаны пайдалану коэффициенті 0. 891 тең.
Скважинаны жер асты жөндеудегі жұмыс түрімен қиындығына орай күрделі және кезекті жөндеу түрлеріне бөлінеді.
Кезекті жөндеуге; сорап ауыстыру, сорапты- компрессорлар құбырларын ауыстыру, көтеру құбырларының түсіру тереңдігін өзгерту, құбыр қабырғаларындағы парафинді жою, H 2 S (күкіртсутек) -тен тоттануына байланысты құбырларды ауыстыру және тағы да басқа жұмыстар жатады. Бұл жұмыстарды скважинаны жер асты жөндеуге (СЖАЖ) мамандықтандырылған арнайы бригадалар жүргізеді. Бригадалар мұнай газ өндіру өндірісінің барлығында құралады.
Жер асты жөндеу бригадалары С. Нұржанов кен орнында вахталық әдіс бойынша жұмыс жасайды. Әрбір бригадалар құрамы үш адамнан тұрып, жұмыстарды былайша бөліседі.
Скважина сағасындағы жұмыстарды оператор көмекшісімен, ал көтергіш механизм лебедкасында тракторист-шофер жұмыс атқарады.
Жер асты қондырғыларының апаттары мен қауіптерін жою, пайдалану тізбегінің тозығын дұрыстау, скважиналарды су ағынынан оқшаулау, басқа пайдалану жазықтығына көшу, түп маңы аймағын өңдеу және басқада жұмыстардың жүргізу қиындығынан скважинаны күрделі жөндеу дәрежесіне жатқызады.
Осындай жұмыстар скважиналарды күрделі жөндеу цехтарына тапсырылады.
Скважинаны жер асты жөндеу жұмыстарын көтергіш және транспорт көліктері, қол операцияларына қолданылатын құралдар, механизациялық жабдықтар, скважинаны, құбырларды және тағы да басқаларды тазалау үшін керекті механизациялардан тұратын жинақты саймандармен жүргізеді.
СКЖ-дегі барынша сәйкес келетін жұмыстар болып; оқшаулау-қайта тұрғызу, жөндеу-дұрыстау, аулау, екінші оқпанды бұрғылау жұмыстары болып табылады.
2. 3 Фонтанды скважиналарды пайдалану.С. Нұржанов кен орыны үшінші кезенде игеру жағдайында болғандықтан қазіргі кезде штангілі терең сораппен игеруге газ факторы аз скважиналарды көшірді. Сонымен қатар болашақта газ факторы жоғары, дегенмен қабат қысымы төмен скважиналарды газлифт әдісімен игеру жүргізілмек.
Қазіргі таңда КТ - II қабатының "Г - Д" бөліктерін ашу және әлі де фонтандалу аяқталмағандықтан игеру фонтанды әдісімен жүргізілуде.
2. 4 Фонтанды скважиналарды игеру.Коллекторлар сипаттамасының мәліметтері негізінде бірінші және екінші корбонатты қабаттарды, өткізгіштігі 0. 5 мкм 2 -тен көп 4 дәрежелі коллекторлар қатарына жатқызады. Бұл дәрежедегі коллекторлар қатарына кестеде келтірілген қалдық сулардағы натрий немесе кальций катиондары және қабат флюидтарының кез келген байланысы бар. Ерітіндіге қойылатын қосымша талаптардың бірі болып (қышқылды өңдеуге дейін) ерітіндінің қатты және сұйық фазаларының қабатқа өтуін азайтып және қабат арасын тығындау үшін уақытша қолданатын қышқыл ерітінді жинаушының болуы болып табылады.
Жоғары да айтылған және ОАО «Казахойл-Эмба» акционерлік қоғамының бұрғылау ерітінділерін қолдану тәжірибесіне сүйене отырып КТ - 1 және КТ - 2 өнімді жыныстарын аршу үшін полимерді сульфатты ерітіндісін пайдалану ұсынылады.
Қышқыл-ерімелі толықтырылғыш түрінде ерітіндіге қатты фазалардың 5% көлемінде бор немесе сидерит қолдануға болады.
Сынақ объектісін аршылуы 1160 кг/м 3 тығыздықты хлорлы кальций ерітіндісімен скважина сағасына деиін толтырылып куммулятивті перфорация жүргізіледі.
Перфорация аяқталған соң, антикоррозиялық етіп істелген, басқармалы, (скважинаға СКҚ арқылы түсірілетін) кақпақшалары бар қондырғы жүйесі жіберіліп саға аузына фонтанды арматура орнатылады.
Ағынды шақыру (Север-1 ингибиторымен жабық айналымда толық араласқан мұнайды агрегатпен ыдыс арқылы) бұрғы сұйығын құрамында "Север -1" ингибиторының 10 %-імен араласқан мұнаймен ауыстыру арқылы жүргізіледі.
КОУК қондырғысын түсіру МГӨБ-мен бірге қажетті жағдайлардың бәрінде шешіледі.
Ингибиторлеген мұнайды айдаған соң, сорапты- компрессор және шеген құбырларды қорғаушы қабықша пайда болу үшін скважинаны 12 сағатқа жабамыз.
Ингибаторлы ерітіндіде ұстаған соң, скважинаның құбыр аралық кеңістігін ашып, скважина өнім бергенше, амбарға ағызылады. Бұл жағдайда құбыр сырты кеңістігі арқылы ингибирленген мұнай айдалады.
Фонтанды скважиналардың саға қондырғылары ретінде АФК - 6В - 100 - 200 кг: "РМСН"; АФ 6 -В -80/65 х 35 кг; АФ 6 A x l00 К х 2; және "Камерон" фирмасының АФ 6 А - 210/350 фонтанды арматуралары орнатылған.
Мұнайды фонтанды игеру кезінде жер асты кондырғылар жиынтығына мынадай элементтер кіреді:
- бөлгіш қақпақ,
- айналдырғыш қақпақ.
Қабат қысымы түсіп, өнімнің сулануына байланысты біршама скважиналар механикаландырылған әдіспен өндіруге көшірілді. Қабатқа су айдау бағытында Атжақсы өзенінде су дуалды станциялар салынып су сораптары орнатылды.
Фонтанды скважиналарының 359 СКҚ-да ингибирлеуші қақпағы арқылы инигбирленген уақытта ингибитордың меншікті шығыны 200 г/тонна болып бөлінетін КОУК - 89/73 36 кг камералы жер асты кондырғыларымен жабдықталған.
КОУК-89/73-36 кг мынадай элементтерден жинақталған:
- КАУ бөлгіш қақпағы,
- Пакер,
- Айналдырмалы қақпақ,
- Ингибиторлық қақпақ.
1995 жылдың 4 тоқсанынан бастап компрессорсыз газлифт әдісі енгізілмек. Осы негізде қондырғы мынадай бөлшектермен жинақталуы керек:
- СКҚ-ы жібергіш қақпакпен жабдықталады,
- Аралық пакер,
- Бөлгіш қақпақ,
- Табандағы қақпақ.
СКҚ-ы фонтанды игеру кезіндегі күйінде қалады. СКҚ-ның өткізгіштік қысымын азайту үшін скважина камераларына газлифт қақпақтарын қондыру керек. Скважинаның құбыр сырты аралығын құбыр аралықтан окшаулау, сонымен бірге құбыр сырты маңын ажырату үшін аралық пакер қолданылады.
Осы аталған қондырғыларды (H 2 S) күкіртті сутектен болатын коррозиядан сақтауға төзімді етіп дайындау қажет.
2. 4. 2 Фонтанды скважинаның жер асты және жер үсті қондырғылары.Фонтанды скважиналардың қондырғыларына жер асты және жер үсті қондырғыларына бөлінеді.
Жер асты қондырғыларына фонтанды көтергіш ретінде, ингибаторланатын болса, ингибатордың меншікті жұмсалуын 200 г/т көлемінде жұмсайтын, скважинаның СКҚ-ындағы ингибиторлаушы-қақпағы арқылы жүргізетін КОКУ-89/73- 136-36 кг тәріздес камерасы қондырғысын жатқызады.
Қондырғының жинақталуы 2. 3. 2 бөлімінде келтірілген.
Скважинаға түсірілетін фонтанды құбырларының тізбегі: газ және сұйықты көтеру қызметін атқарады. Құрамында күкіртті сутек және су кездесетін мұнайды өндіру кезінде шеген құбырларының коррозияға және эрозияға ұшырауынан сақтау үшін, сұйықты айдау арқылы скважинаны өшіреміз.
Қабаттың туы маңының аймағын өңдеу және скважинаны жуу үшін (әртүрлі әдістермен, мысалға: скважинаны өңдеу кезінде пайда болатын жоғары қысымнан шеген құбырларды сақтау үшін) қажет.
Фонтанды скважина қондыргыларына диаметрлері 38:50:63:73:89:102 және 144 мм; қабырғалар калындығы 4-тен 7 метр, ұзындығы 5. 5-10 метр болатын СКҚ қолданылады.
Құбырларды сапасы Д, К, Е, Л, М топтарынан болатын жоғары механикаландырылған құрамда болатттан дайындайды.
Фонтанды скважиналар қондырғылары сақиналы кеңістігін сығымдау үшін, скважина аузынан шығып тұрған шеген құбырлардың байланыстырмалы жоғарғы шектерін байланыстыру үшін және олардың арасындағы қысымды бақылау үшін фонтанды және газлифтті скважиналардың аузын сығымдау үшін, скважина жұмысы кезеңін бақылау және қалыптандыру үшін фонтанды арматурасының шығару желілерінде скважина өнімдерінің ағынын тоқтату немесе бірінен - екіншісіне ауыстыру үшін, құбыр желісін жалғау скважина қысымын, температурасын өлшеу үшін және түптік орналастыру, сонымен қатар скважинаға қажетті технологиялық шараларды жүргізу үшін қажет.
Фонтанды скважиналардың саға жбдықтары мынадай бөлшектерден жинақталады:
- Шеген тізбектерді байланыстырушы қондырғылар,
- Манифольд,
- Фонтанды арматура,
- Арматураны басқару станциясы.
Шеген тізбектерді байланыстырушы қондырғының техникалық көрсеткіштері:
а) Шифр: АКК - 2 35 178 245 324к2,
б) Байланыстырушы тізбектердің шартты диаметрлері:
- кондуктор 324 мм, П - техникалық 245 мм,
- пайдалану 168 мм.
в) Жан-жақты өлшемдері:
- ұзындығы 1290 мм,
- ені 820 мм,
- биіктігі 1320 мм.
г) Салмағы:
- жиналған түрінде 1870 кг,
- толық жиынтығы 1885 кг.
Шеген құбырларды байланыстырушы қондырғының ерекшелігі;
а) ашпалы-ілінбелі тізбек,
б) К-тәріздес резиналы тығыздағышпен сақиналы кеңістіктерінің толық сығымдалуы,
в) шеген құдырларды, түпке құбырды отырғызбай-ақ байланыстырылуы,
г) тығыздағыш торабының сығымдалушылық мүмкіндігін көтеру үшін пкер аралығына майлағыш сұйықтар айдалынуы.
Тізбек аралық кеңістікте қысымын анықтау, бақылау мүмкіншіліктері қаралған.
"Башкирлік" фонтанды арматурасының техникалық көрсеткіштері:
а) Шифр - АА 6В - 80/65 х 35 кг,
б) арматура нобайы МЕСТ 14846 - 76 бойынша,
в) шартты өлшеулері:
- оқпан диаметрі 80 мм,
- қапталдық шығарулар және құбыр басының диаметрлері 65мм.
г) Пневмоцилиндр қысымы -1. 0 МПа,
д) Автоматикалық бөгегіштің қосылу қысымы:
- жоғарыдағы -8 - 16 МПа,
- төмендегі -5 - 10 МПа.
ж) Жан-жақты өлшемдері:
- ұзындығы -2335 мм,
- ені -1180 мм,
- биіктігі -2810 мм.
и) Салмағы:
- жинақталған түрдегі - 2250 кг,
- жинақтың барлық - 2635 кг.
Фонтанды арматураның конструтивті ерекшелігі:
а) бекітпе қондырғы - пневмо және қол басқарумен, майлауды күшпен жүргізетін тік жүрісті бөгегішпен жабдықталған,
б) реттегіш қондырғыш - бұрыштық реттеу дресселі,
в) - шыршаның қапталдық шығу жолдарындағы температураны өлшеу,
- шыршаның қапталдық шығу жолдарындағы құбыр аралық және бастағы қысымды өлшеу,
- шырша ақпаны және құбыр аралық кеңістігіндегі парафин түзелу және тоттануға қарсы ингибтор беру мүмкіндіктері қарастырылған.
Манифольдың техникалық сипаттамасы:
а) Шифр: МАФ - 65 х 35 кг,
б) Шартты өткізуі 65 мм,
в) Жан-жақты өлшемдері:
- ұзындығы -8470 мм,
- ені -2260 мм,
- биіктігі -2070 мм.
Құрылымның ерекшелігі:
- өндірілетін өнімнің қысымын, температурасын өлшеу,
- зерттеу жұмыстары кезеңіндегі шығымды өлшеу үшін зерттелетін материалдың үлгілері бар контейнерлерді газдың ақтық ағынын өлшегішпен қосу, жұмыстарында қолдануға мүмкіндік береді.
Фонтанды арматура.
Оның құрылысы, жұмыс істеу принципі.
Фонтанды арматура фонтанды және газлифтті скважиналардың сағасын сығымдау үшін, көтергіш құбырларды ілу, скважинаның жұмыс істеу кезеңдерін реттеу үшін, скважина өнімін бір желісінен екіншісіне ауыстыру үшін, бөгеу үшін, скважиналық ортаның қысымын және температурасын өлшеу үшін, лубрикаторды орнату үшін, тереңдік саймандарды түсіру үшін, сонымен бірге скважинаға қажетті технологиялық шараларды жүргізуді қамтамасыз ету үшін қолданылады.
Фонтанды арматура мынандай бөлшектерден жинақталады:
1 - құбыр басының негізі,
2 - ауыстырғыш орама,
7 - қолмен басқарылатын,
8 - қашықтан басқарылатын ақпан бөлгіш,
9 - аралық фланецтерден,
10 - ретендіруші дроссел,
11 - қапталдық шығару желелеріндегі қолмен басқарылатын бөгегіш,
12 - құбыр басы және бастағы фланецтер, аралық фланецтер,
13 - ажыратқыш вентельмен, яғни : осы арадағы қысымды өлшеу үшін манометрлер орналастырылған. Сонымен қатар скважина ішіндегі температураны өлшеу үшін термометр орнатылатын термоқалта қондырғысына да орын қарастырылған.
Құбыр басы крестиновасында 14 құбыр ұстағыш орнатылады. Осының бұрғылау құбырының қазбаларында көтергіш құбырлар ілініп олар 15 стопрлі винттер арқылы бекітіледі. Крестовина және құбыр ұстағыш аралығын сығымдау үшін V тәріздес 16 манжеттер пайдаланылады.
Құбыр ұстағышта скважина қақпағын басқаратын түтікшені енгізуге арналған арна қарастырылған.
Өлшеу құрылғылары.
С. Нұржанов кен орнында мұнай газ жинау жүйесіндегі негізгі буын болып "Спутник" АТӨҚ - автоматтық топтық өлшеу қондырғылары табылады. АТӨҚ-ға қосылған скважиналар шығымын есептеу, скважиналар жұмысын бақылау, өлшеу қондырғысынан шығатын шығымды анықтау жұмыстары аткрылады.
1998 жылдың 1 қаңтарындағы мәліметтер бойынша "Октябрскмұнай" МГӨБ балансында 69 АТӨҚ жұмыс істеп түр, жөнделіп іске қосылғаны 19, соның ішінде 12 - АМС - 40 - 14 - 400, 7 "АМСЭ - 40 - 10 -400" автоматтық топтық өлшеу қондырғылары жөнделіп, 40 - АГАТ - 1 - 50 газесептеуші өлшеу кондырғылары қондырылды.
Реагентті блоктар.
Скважиналардағы топтану, парафин тығынын жоюшы ингиваторы сонымен бірге метанолмен қамтамасыз ету үшін "БР - 25"; " ЗУ - БР - 10"; "ДНС - БР - 25" қондырғыларымен жабдықталмаған және олардың барлығы жергілікті автоматика бөліктеріне қосылған.
1998 жылдың 1 қаңтарындағы мәліметтер бойынша I 383 дана БР - 25 блогы, 16 дана БР - 10 блогы, 28 дана БР - 25 блогы қондырылған.
Есепті жылда 47 блок пайдалануға қабылданды, яғни 47 блок жөнделді.
УБСА - Жергілікті автоматизация блогы.
Аппатты қосылу және жұмыстардың жеке жағдайларында жергілікті автоматизация блогының операторлық бөлімінен шығатын, жергілікті автоматика блогы бар, автоматтандырылған блокты сепарациялық қондырғысы қолданылады.
2. 4 5 Жер асты және жер үсті қондырғыларын тоттанып- тозуымен күресу. Күресу тиімділігі.С. Нұржанов кен орнында пайдалану кезінде қондырғының тозуынан жедел жеткізетін тоттандыруға активті қатысатын (13% H 2 S және 2 % көмір қышқылды) газдардың болуы жер етеді.
Осы негізде кен орнында СКҚ-ның, тізбек ауыстырғыштың, фонтанды арматура, скважиналардың шығару желелері, мұнай жинау жүйелерін, сеператорлық қондырғыларымен газ желілерінің тозуын сипаттайтын және жылдамдығын анықтайтын зерттеу жұмыстары жүргізіледі.
Жер үсті қондырғыларының жалпы тоттанып - тозуынан жылдамдығынан 20 және 20 Ю үлгі - тексергіш гравиметриялық әдіс бойынша және сонымен бірге СН - 3 тоттанып тозуды есептеуішпен (коррозиометр), ал сулану диффузия жылдамдығын М - 3112 жаймалы сулану шарттарымен анықтаймыз. Зерттеу кезінде өндірілетін өнім 0. 1 % болды.
Скважинадағы сұйық "Север-1" реагенттерімен ингибаторланады.
"ВНЦЦСПТ нефть" институтымен С. Нұржанов кен орнында жер үсті қондырғыларының тотыгу - тозуына қарсы технологиясы жасалуда.
Тотығу - тозудан жер асты қондырғыларын қорғау үшін № 2316 скважинасында сынақ жұмысы жүргізіледі. Ол үшін скважинаға ағынды шақырудан бұрын 10 % -ті "Север - 1" ингибаторы орналасқан 55 м 3 ерітінді айдалды.
Сағаға 5 мм диаметрлі штуцерді қондырып, қарсы қысым туғыза отырып құбыр сырты аралығында скважина толық толғанша ЦА - 320 цементтеуші агрегатпен айдауды жүргізеді.
Қондырғы бетінде қорғаушы жаппа құрылуы үшін скважина 12 сағатқа жабылады. Пайдалану кезінде ерітіндіге "Север - Г' тотыгу - тозуға қарсы ингибаторды 10 % - тен кем болмауын, яғни 1 м 3 па 200 гр жұмсайтын БР - 25 блокты қондырғысының көмегімен реттеп, құбыр сырты аралығына жіберіп отыру керек.
Сынақтан соң құбырдың - тұздалу және жарықталуы байқалмайды. Құбыр үлгілерінің беттерінде ингибиторлық жаппа байқалады.
Қазіргі кезде тотығу - тозудан құбыр өткізгіштері және қондырғылар "Север - 1" және "Нефтехим" ингибиторларынан жүргізілді.
Кен орнында тотығу - тозуды анықтау үшін ай сайын құбыр өткізгіштер және қондырғылардан қабырғалардың және СКҚ қалыңдығы өлшенеді.
2. 4. 4 Фонтанды скважиналарда парафин түзілуімен күресу. Күрес тиімділігіС. Нұржанов кен орнында басты назарды парафин және гидрат түзуге қарсы күресуге бөледі.
Көтергіш құбырларда шөккен парафин кен тазарту үшін механикаландырылған, жылулық және химиялық күрес әдістері қолданылады.
Механикаландырылған әдіс: ырғақ, ұшпалы ырғақ және плунжер тәріздес ырғақпен жүргізіледі.
Жылулық әдісте көтергіш құбырларды парафинмен тазарту үшін, құбыр аралық кеңістікке ыстық су немесе буды үздіксіз айдау, сонымен қатар ысытылған мұнай айдалады.
Химиялық әдістің негізі болып парафин шөгіндісінен тазарту үшін сорап өлшемдегіш көмегімен құбыраралық кеңістікке скважинаның жұмыс істеу кезендерінде жеңіл көмірсутек сұйығын немесе БАЗ айдайды. Мұнай ағынына БАЗ қосу парафиннің қатты түйіршіктерімен абсорбцияланып оларды тоқтатады. Осының есебінен парафин ; мұнай ағынынан бөлініп қатты түйіршіктенге айналады.
С. Нұржанов кен орнында парафиннің түзелуінен сақтану үшін скважиналарға көбіне "Север - 1", "СНПХ -1212" композицияларын айдап отырады. Яғни, 1:1 құрамында өндіру есебінен 150 гр/т.
Скважинаны депарафиндеуге қажет еріткіш заттар көлемін есептеу, шөгінділердің ерігіштігін ескере отырып, 1988-2002 жылдар аралығында 126 скважина өңдеу жұмысы 80%-тік жеткізгіштіктерге жуық тиімділікпен жүргізіледі.
2. 5 Фонтанды скважиналарды зерттеуФонтанды скважинаның жұмыс кезеңдерін дұрыс қою үшін оны кезекті зерттеп отыру керек.
Өндірістік тәжірибеде фонтанды скважиналарды қарапайым жағдайда - әртүрлі түп қысымы болғанда, ағынның тоқтаған кезеңінде зерттейді. Бұл әдісті сонымен қатар скважина жұмысының технологиялық режимін белгілейтін, реттеу қисығына қажет мәліметтер алғанда қолданады.
Фонтанды скважиналарды зерттеу барысында:
1. Жоғарғы штуцерге байланысты мұнай, су және газ шығымдарының тәуелділігін анықтайды.
2. Қабат қысымының, өтпелі кезеңдегі мәнін анықтап және оның уақытқа байланысты жылжуын анықтайды.
3. Түп қысымы немесе дипрессияға байланысты мұнай, газ және су және олардың шығымдарының тәуелділігін белгілеп, олардың өнімділік коэффицентін анықтайды.
4. Алынған мәліметтер негізінде белгіленген уақыт аралығында скважина жұмысының мүмкін технологиялық кезеңін анықтайды.
2. 5. 1 Кен орнындағы зерттеу жұмыстарының жағдайыС. Нұржанов кен орнының скважинаны зерттеу бағдарламасы, қабат сұйықтарымен газдарының коллекторлық құралын анықтауға, гидродинамикалық сипатын, айдау және өндіру скважиналарының өнімділігін зерттеуге, өнімді қабат пен контур сырты маңдарының байланысы және игеру жүйесінің рациональды сұрақтарын шешуге қажет басқа да бір қатар көрсеткіштерді анықтауға бағытталған.
Өнімді жиектердің коллекторлық құрылымын анықтау үшін бірінші реттік скважинаны бұрғылау кезінде керн алынады.
Скважинаны гидродинамикалық зерттеу әдісі кезінде кем дегенде үш кезеңдерге тұрғылықты алуды, мүмкін минималды кезеңнен бастап, кейін зерттеуді кері бағытта қайта жүргізеді.
Қабат және түп қысымдарын бақылау үшін барлық скважиналар қоры пайдаланылады.
Қабат флюйдтерін өндіруді бақылау мұнай және сұйықтың шығымдарын жүйелі өлшеу негіздерінде жүргізеді.
2. 5. 2 Фонтанды скважиналарды зерттеу әдістері мен технологиялары. Зерттеу кезінде қолданылатын қондырғылар мен саймандарФонтанды скважиналардың пайдалану кезіндегі оперативті жұмыстар ағынның индикаторлық қисығын тұрғызуға бағытталады.
Қисықты құру үшін түп қысымын және соған сәйкес газ және сұйықтың шығымын білу керек.
Осы зерттеу мәндеріне паралеллді түрде құбыр сырты және буфердегі қысымды өлшеп, сонымен қатар газ факторын және тағы да басқа жағдайларды анықтайды.
Индикатор диаграмасын құру және қисықты реттеу кезеңдері (штуцердің әр түрлі өлшемдерінде) реттей келе ауыстырумен жүргізіледі.
Бұл үшін өте аз шығым кезеңінде зерттеуді міндетті түрде, индикатор сызығы бастапқы кезде тік сызықты бөлімге ие болады.
Әр скважина бойынша мүмкін технологиялық кезеңдерді орнату үшін, өндірістік тәжірибеде қисықты реттеу кеңінен қолданылады.
Фонтанды скважиналарды әр түрлі диаметрлі штуцер орнатумен зерттеуде мұнай, газ, су шығымымен газ факторын өлшеу арқылы жүргізеді және қысымның жұмыс кезеңдерін зерттейді.
Зерттеу кезінде алынған мәліметтер негізінде реттеу графигі тұрғызылады.
Құралған қисықтың көмегімен фонтанды скважиналардың технологиялық кезеңдерін анықтауға болады.
Фонтанды скважиналарды зерттеу барысында мынадай қондырғылар қолданылады:
1. ГДМ - 3 - динамографы,
2. ГСБ - 400 - газды өлшеуші,
3. Тереңдік манометрі,
4. Контейнерлер,
5. Секундомерлер.
Саймандарды скважина жұмыс істеп тұрған кезде түсіруге болады.
Кей жағдайларда саймандарды скважина саға қысымы өте жоғары болған жағдайларда, лубрикатор орнатылып, СКҚ арқылы түпке түсіруге тура келеді.
Монометрдің барлық бөлшектері тек силфоннан басқа, мықты герметикалық корпусқа салынған, мұнай ішінде атмосфералық қысым сақталады.
Скважина монометрлерінің әр түрлі болып келіп соның ішіндегі қарапайым және кең қолданылатын жеке - жеке болтын МГН - 2 геликсті скважина монометрі табылады.
Монометрдің сезгіш бөлігі болып вакумды жеңіл маймен толтырылған көп тілді тегіс серіппесі бар геликс табылады.
Серіппе ішіндегі әрбір тіл қысым арқылы вертикал осіне бұрыш жасай айналады. Оның бұралу бұрышы қысыммен пара - пар.
Белгілеуші бөлім мына бөлшектерден - жылжымалы бұранды белгілегішті іске келтіретін сағат механизмі, яғни қозғалысы тең таралған белгілеуші күймеге хабарлайтын бөлшектерден жинақталған.
МГН - 2 техникалық сипаттамасы.
- диаметрі: 32 мм,
- ауырлатқышпен бірге салмағы: 12. 3 кг,
- ауырлаткышпен бірге ұзындығы: 2285 мм,
- қысымды өлшеу шегі: 10 - 100 МПа,
- жұмыс істеу температурасы: 160° С - ға дейін,
- ауысу жұмысы:
а) перо: 50 мм - ге дейін,
б) күйме: 120 мм - ге дейін,
- өлшеу шегінің сезгіштік қашықтығы: 0. 2 % артық емес,
- күйменің ауысу жұмысының уақыты 16 сағатка дейін,
- сайманның дәлдік классы: 0. 25-тен 0. 4 дейін.
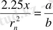
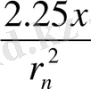
2. 6 Фонтанды скважиналарды зерттеу мәліметтерін өңдеу Өнделген мәліметтерді пайдалану.Түптегі монометр түп қысымының өзгеруінен белгілейді.
(Ln t: ΔР) . Координаттары бойынша график тұрғызамыз:
ΔP(r c :t)
ΔP(r c :t”)
ΔP(r c :t’)
a
ln t’ ln t” ln t
ΔP(r
c
:t) =
; ΔP(r
c
:t) = a+b ln r ;
ΔP(r
c
:t)
ln t - тік теңестірілу;
В =
; В =
;
- гидро өткізгіштік;
және К өлшемдері жылумен өткізгіштер.
Табылған су өткізгіштер жоғарылық және өткізгіштік скважинаға жерлі радиустағы қабаттарға орташа мәндер болды.
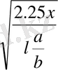
а = в*ln
; ln
; ln
= ln 1
;
= 1
; N =
немесе r
n
=
.
Келтірілген әдіс скважинаны жылдам жабуға, скважинаға ағымды жылдам тоқтатуға береді.
... жалғасы- Іс жүргізу
- Автоматтандыру, Техника
- Алғашқы әскери дайындық
- Астрономия
- Ауыл шаруашылығы
- Банк ісі
- Бизнесті бағалау
- Биология
- Бухгалтерлік іс
- Валеология
- Ветеринария
- География
- Геология, Геофизика, Геодезия
- Дін
- Ет, сүт, шарап өнімдері
- Жалпы тарих
- Жер кадастрі, Жылжымайтын мүлік
- Журналистика
- Информатика
- Кеден ісі
- Маркетинг
- Математика, Геометрия
- Медицина
- Мемлекеттік басқару
- Менеджмент
- Мұнай, Газ
- Мұрағат ісі
- Мәдениеттану
- ОБЖ (Основы безопасности жизнедеятельности)
- Педагогика
- Полиграфия
- Психология
- Салық
- Саясаттану
- Сақтандыру
- Сертификаттау, стандарттау
- Социология, Демография
- Спорт
- Статистика
- Тілтану, Филология
- Тарихи тұлғалар
- Тау-кен ісі
- Транспорт
- Туризм
- Физика
- Философия
- Халықаралық қатынастар
- Химия
- Экология, Қоршаған ортаны қорғау
- Экономика
- Экономикалық география
- Электротехника
- Қазақстан тарихы
- Қаржы
- Құрылыс
- Құқық, Криминалистика
- Әдебиет
- Өнер, музыка
- Өнеркәсіп, Өндіріс
Қазақ тілінде жазылған рефераттар, курстық жұмыстар, дипломдық жұмыстар бойынша біздің қор #1 болып табылады.

Ақпарат
Қосымша
Email: info@stud.kz