Реттеу сапасын бағалау


РЕТТЕУ САПАСЫН БАҒАЛАУ
1. Реттеу сапасының негізгі көрсеткіштері
Автоматты реттеу жүйесінің қозғалыс орнықтылығы оның негізгі, бірақ жеткілікті емес қасиеті болып табылады. Автоматты реттеу жүйесінің қозғалыс орнықтылығы немесе орнықсыздығы деп ондағы өтпелі процестің өшуінің бар не жоқ екендігінен түсінуге болады.
Реттеу процесінің сапасы ретінде автоматты реттеуіштің жеткілікті дәлдікпен реттелетін параметрдің шамасын белгіленген өзгеріс заңы бойынша ұстап отыру қабілетін айтуға болады. Реттеу процесінің сапасы реттелетін параметр белгіленген шамадан аз ауытқыса, әрі белгіленген режимге тез жетсе, соғұрлым жоғары болады.
Сапаның негізгі көрсеткіштеріне: реттеу мерзімі, асыра реттеу, тербелмелі және қалыптасқан статикалық ауытқу жатады. Оған қоса, нақты жағдайда реттеу сапасына басқа да талаптар қойылады, айталық, реттелетін шаманың өзгерісінің ең үлкен жылдамдығы, оның тербелісінің негізгі жиілігі т. б. 9. 1-суреттегідей һ(/) өтпелі функция мысалында реттеу сапасының негізгі көрсеткіштерін қарастырайық.
1-с у p e т. АРЖ сана көресткіштері
Реттеу мерзімі t
р
абсолют шама /һ(t) -һ
f0
-ның жүйе жұмысының
берілген дәлдігінің ауқымынан аспайтын деңгейге жеткеніне дейінгі уақыт аралығы.
Іс жүзінде t р реттеу мерзімі деп, өтпелі қате абсолют шамасының әлі де мүмкіндік мәнінен (әдетте, ол реттелетін параметрдің қалыптасқан мәнінің 3-5%-ін құрайды) кем болатын уақыт аралығын (өтпелі процестің басынан) айтады. 0-ден t р -ға дейінгі уақыт аралығы реттеу мерзімі болып табылады. Реттеу мерзімі өтпелі процестің ұзақтығын анықтайды.
Асыра реттеу (а)
деп реттелетін шаманың процентпен өрнектелген қалыптасқан мәнінен (һ
) максимал ауытқуын
(
)
айтады.
абсолют шама өтпелі сипаттамадан анықталады:
=
-
(1. 1
)
Осыған сәйкес асыра реттеу мынаған тең болады
(1. 2)
Жүйенің тербелмелілігі реттелетін шаманың реттеу мерзімі кезіндегі тербеліс санымен сипатталады. Егер осы уақыт ішінде жүйедегі өтпелі процесс технология шарты бойынша алдын ала берілген санынан аз тербеліс жасаса, онда жүйе өзінің тербелмелілігі жөнінде қажетті реттеу талабында деуге болады.
Қалыптасқан статикалық ауытқу
(
0
) өтпелі процесс аяқталғаннан кейін реттелетін шаманың қалыптасқан мәні (g
()
) мен оның берілген мәні (x
0
) арасындағы айырым түрінде анықталады:
0
=g
()
-x
0
(1. 3)
Реттеу жүйесін сапа көрсеткіштерін өтпелі процесс графигінен тікелей анықтауға болады.
Қажетті реттеу сапасына қол жеткізу үшін статикалық дәлдікті қамтамасыз ету керек. Статикалық қате реттеуіштің жалпы күшейту коэффициенты арттыру арқылы азайтылуы мүмкін.
Жалпы күшейту коэффициенте арттыруда оның шектеулі болуы әрқашан қажет, өйткені күшейту коэффициентін үлкен етіп алған кезде реттелеін параметрдің өтпелі процесте тиімсіз тербелісі (тіпті орнықсыадығы) пайда болуы ықтимал, Статикалық қатені азайтуда басқа да нұсқаулар болуы ықтимал, атап айтқанда, әрекеті бойынша статикалық қате болмайтындай етіп реттеуіштің схемасын өзгерту. Мысалы, статикалық реттеуішті астатикалықпен алмастыру. Реттеу сапасын жалпы және өтпелі процестің сапасын ішінара арттыруды реттеуіштің құрылымдық, схемасына қосымша буындарды ендіру жолымен жүзеге асыруға болады. Қосымша буындардан тұратын, реттеу динамикасын жақсартуға арналған құрылғылар түзетуші құрылғылар деп аталатын құрамды түзеді.
2. Реттеу сапасының жанама бағалары
Реттеу сапасының көрсеткіштерін экспериментті түрде немесе дифференциалдық теңдеулерді шешу нәтижесінде алынатын өтпелі процесс қисығы бойынша анықтайды . Дифференциалдық тәңдеуді шешу көптеген еңбекті талап етуіне байланысты инженерлік практикада реттеу сапасын жанама түрде бағалау кең тараған.
Жанама бағалар деп өтпелі процестің жеке ерекшеліктерін сипаттай-тын кейбір шамаларды айтады. Бұл бағалардың біріне тұйық жүйенің сипаттауыш теңдеуінің жорамал ось бойынан алшақтап орналасу дәрежесі жатады (1. 2-сурет) .
Жорамал ось пен оған ең жақын жатқан түбір арасындағы
a
қашықтық жүйенің орнықтылық қорын сипаттайды және осы жүйенің
орнықтылық дәрежесі
деп аталады. Оның мәні жорамал оське оң жақын жатқан түбірдің нақты бөлігіне тең. Түбірлер жатқан нүктелер арқылы координат басынан жүргізілген сызықтар мен теріс жартылай ось арасындағы бұрыштардың ең үлкені
жүйенің
тербелмелілігін
сипаттайды. Осы бұрыштың котангенсі m
-сtg
тербелмелік дәрежесі
деп аталады. Тербелмелілікті бағалау үшін «өшу дәрежесі» түсінігін қолдану ыңғайлы.
Өшу дәрежесі
деп өтпелі процесс қисығының бір таңбалы қатар тұрған екі амплитудасының айырымының олардың үлкеніне қатынасын айтады. Өтпелі процестің 9. 1-суреттегі түрі үшін:
(2. 1)
Тербелмелік дәрежесі мен өшу дәрежесі бір-бірімен мына қатынас арқылы байланысты:
(2. 2)
Жүйенің берілген тербелмелілігін қамтамасыз ету үшін сипаттауыш теңдеудің барлық түбірлері 9. 2-суреттегі
2
бұрышына сиып жатулары қажет.
Сонымен жүйенің тербелмелілігі мен жылдам әрекеттігінің берілген мәндерін бір мезгілде қамтамасыз ету үшін сипаттауыш теңдеудің барлық түбірлері 2-суреттегі штрихтелген аймақтың ішінде жатулары тиіс.
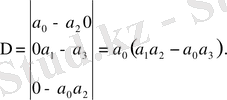
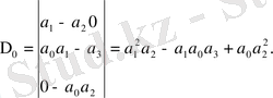
және
берілген мәндерін қамтамасыз ететін жүйенің параметрлерін анықтау үшін D-бөліктеу әдісін пайдалануға болады.
берілген мәнін қамтамасыз әтетін жүйенің параметрлерін анықтау үшін D -бөліктеу қисығын салғанда сипаттауыш теңдеулөрдегі Р айнымалыны
j
айнымалысына емес,
аймымалысына алмастыру қажет; ал
мәнін
анықтағанда
р
айнымалыны
(j-
)
өрнегіне алмастыру керек. Бір немесе екі параметрлер бойынша D -бөліктеуді жүргізіп, жүйенің берілген жылдам әрекеттігі мен тербелмелілігі болатын шарттарды алуға болады.
Сипаттауыш теңдеудің түбірлерінің орналасуы бойынша реттеу сапасын бағалауды келесі пікірлер бойынша жүргізген жөн. Өтпелі процесс негізінен жорамал оське ең жақын жатқан нақты түбірмен анықталады деп ұйғарып,
у(t) =у б е (2. 3)
реттелетін шаманың ауытқуы бастапқы у б ауытқу шамасына қарағанда n есе азаятын, яғни
(2. 4)
қажетті t n реттеу уақытын ескере отырып, орнықтылық дарежесінің жарамды мәнін табуға болад. Мысалы, егер y(t) = 0, 05y б , онда n = 20 және (2. 4) өрнек мына түрде жазылады:
.
Егер, мысалы, тербелмелі етпелі процесте реттелетін шаманың әрбір амплитудасының ауытқуы алдыңғысына қарағанда к рет ауытқыса, онда керекті өшу дәрежесі (2. 1) өрнекке сәйкес:
.
(2. 5)
(9. 5) және (9. 8) теңдеулерін бірге шешу арқылы тербелмелілік дәрежесін табамыз:
m = Іnк/(2
) . (2. 6)
Енді түбірлердің орналасу орындарының үлестірімділігінің өтпелі процеске және жүйенің орнықтылығына әсерін қарастырайық. Оны үшінші ретті нормаланған
Р 3 +Ар 2 +Вр+1=0 (2. 7)
сипаттауыш теңдеу үшін тұрғызылған И. А. Вышнеградский диаграммасынан көруге болады (4-сурет) .
3-сурет. Н. А. Вышнеградский диаграммасы
Жүйенің орнықтылық аймағы А және В параметрлер жазықтығында жатқан тубірлердің әртүрлі үлестірілімдіктеріне сәйкес келетін үш аймақтан түрады. авс қисығымен шектелген I аймақ бір-біріне тең емес үш нақты түбірге және апериодтық өтпелі процеске сөйкес келеді. aвd қиысығымен шектелген II аймақ екі комплекстік түбірге және жорамал оське жақынырақ жататын бір нақты түбірге сәйкес келеді. Бұл кездегі өтпелі процесс бірсарынды. Орнықтылық шекарасы мен авс қисығы арасындағы III аймақта екі комплексті түбірлер орналасқан. Өтпелі процесс тербелмелі. Диаграммада шектеу сызықтары үшін де түбірлер үлестірілімдіктері көрсетілген. А=В=3 болатын үш түбірдің бәрі де нақты және бір-біріне тең.
1-мысал. Жүйенің сипаттауыш теңдеулері
I) Р 3 +4р 2 +41р+64=0
2) Р 3 +14р 2 +144р+1000=0
Вышнеградский диаграммасын пайдалана отырып, теңдеу түбірлерін іздемей - ақ, өшу және орнықтылық дәрежесін анықтау керек.
Шешімі; 1)
р =
алмастыруды пайдаланамыз. Онда (1) теңдеудің барлық мүшелерін 64-ке бөлгеннен кейін ол мына түрге келеді
Вышнеградский параметрлері А = 1 және
В =
= 2, 56.
Тең өшу сызықтары салынған Вышнеградский диаграммасынан [4]
70% табамыз. Орнықтылық дәрежесінің тең сызықтары салынған Вышенградский диаграммасынан [4] салыстырмалы орнықтылықтың дәрежесін табамыз а
0
=0, 25. Әрі қарай орнықтылық дәрежесінің абсолют мәнін анықтаймыз
а
0
=4
2) осы көрсетілген жолмен екінші есепті де, шығаруға болады:
=75%,
=2с
4
3. Реттеу сапасының интегралдық
көрсеткіштері
Интегралдық әдіс негізінде өшпелі процесс қисығы мен реттелетін шаманың берілген мәні арасындағы ауданды зерттеу қағидасы жатады. (4-сурет) . Себебі бұл аудан реттеуге кететін шығынды жанама сипат-тайды.
Бұл қағида бойынша: реттелетін шаманың берілген мәні мен өтпелі процесс қисығы арасындағы аудан неғұрлым кішкентай болса, соғұрлым реттеу сапасы жоғары. Көбінесе келесі түрдегі интегралдық бағалау кең тараған:
(3. 1)
(3. 2)
(3. 3)
4-сурет. Реттеу сапасының интегралдық бағалауын геометриялық мағыналау
мұндағы
(t) - ретталетін шаманың берілген мәнінен ауытқуы (реттеу қателігі) ;
Т -
осы жүйе үшін өтпелі процесті өзгертуге мүмкіндік туғызатын қайсыбір экпоненттің уақыт тұрақтысы.
Көрсетілген интегралдарды минималдау арқылы реттеу сапасының ең жоғары көрсеткіштерін қамтамасыз ететін параметрлердің мәндерін (АРЖ дифференциалдық теңдеуінің коэффициенттерін) табуға болады.
(3. 1) интеграл реттелетін шаманың берілген мәні мен өтпелі процесс қисығының арасындағы аудандардың алгебралық (яғни, таңбаларын ескере отыра) қосындысын анықтайды. Сол себептен ол тербелмелі емес һ(t) бірсарынды процестерді (3, а, б, в, г-сурет) бағалау үшін қолданылады. Тербелмелі өтпелі процестің (3, д-сурет) сапасын (3. 2) және (3. 3) интегралдары бойынша бағалаған дұрыс.
2-мысал. Ажыратылған бірінші ретті астатизмді қадағалаушы жүйенің беріліс функциясы
W(
P
) =
.
Уақыт тұрақтылары T = 0, 05c және Т 2 = 0, 04с мәндеріндегі жүйенің кірісіне g (t) =I(t) бірлік сатылы әсер берілгендегі жылдамдық бойынша сапалылығын бағалау керек.
Шешімі. Тұйық жүйенің беріліс функциясы
Шығыстық сигналдың Лаплас бойынша кескіні мына түрде болады:
Квадраттық интегралды бағалауды табу кестесінен [4] интегралдық бағалау мәндерін анықтаймыз.
мұндағы В
()
=в
=К
2
, а
0
=К. Анықтауыштар мәндері
нәтижесінде
Интегралдық бағаның мәнінің минимумын алу үшін туындысын нөлге теңейміз
осыдан сапалылықтың оптимал мәнін аламыз:
Уақыт тұрақтыларының сандық мәндерін қойғаннан кейін
4. Реттеу сапасын жиіліктік әдіспен бағалау
Бұл әдіс Фурье түрлендіруіне және тұйық АРЖ өтпелі процесі мен комплексті жиіліктік сипаттама арасындағы бірмәнді байланыстың болуына негізделген. Сонымен, жиіліктік сипаттамалар бойынша өтпелі процесс сапасын бағалауға болады.
АРЖ зерттеудің жиіліктік әдісінде жүйені қобалжыту әсері ретінде сатылы сигнал қолданылады:
. / <0 болғанда; (4. 1)
I >() болғанда;
Бұл функцияны үзіліссіз гармоникалық қатарға түзу Дирихле интегралы көмегімен іске асырылады:
(4. 2)
Егер АРЖ комплекстік жиіліктік сипаттамасы
болса, онда жүйенің берілген қобалжыту сигналынан туатын өтпелі процесін мына формулалар бойынша есептеуге болады:
(4. 3)
(4. 4)
Алынған (9. 16) және (9. 17) өрнектері, бірлік сатылы сигнал әсерінен туатын өтпелі процесс сапасын жиіліктік әдіспен зерттеудің негізінде жатады; бұлардың кез - келгенін пайдалана отыра, реттеу сапасы жөнінде алғашқы жуықтатылған қағиданы құруға болады:
1. Шамамен бірдей
Р
1
(
) -ге,
шамамен бірдей һ(t) сәйкес келеді;
2.
P
2
(n
) =P
1
(
),
яғни тек
осіндегі масштабы бойынша айырмашылықтары бар
Р
1
(
)
және Р
2
(
)
екі ұқсас нақты жиіліктік сипаттамалар үшін алынған өтпелі процестер бір-бірінен тек t осі бойындағы масштабымен ерекшелінеді, яғни
һ 1 (t/n) =һ 2 (1) (4. 5)
3. Орнықтылық күйінде
һ
1
(
) =Р(0) (4. 6)
4. һ(t) орныққан мәніне ұмтылу үшін керекті, бірақ жеткіліксіз шарт
-ның барлык, мәндерінде
/Р(
) /<Р(0)
(4. 7)
теңсіздігін ұстап отыру;
5. Егер
Р(
) >0. Р'(
) <(), Р"(
0
болатындай
1-қисықтай (2. 2-сурет) кемімелі бірсарынды өзгерсе, онда бұл параметрдің орныққан мәніне асыра реттеусіз ұмтылатынын және бұл кездегі өтпелі процесс ұзақтығының
(4. 8)
болатынын көрсетеді, мұндағы
-осы жүйе үшін маңызды жиіліктің жоғарғы шекарасы (спектрдың тиімді ені) ;
6. Егер
Р(
)
2-қисық
(9. 5-сурет) түрінде болса, онда
(4. 9)
7. Егер
-ның қайсыбір мәнінде
Р(
)
шексіздікке айналса, онда АРЖ орнықсыз;
8. Р
қисығы неғұрлым еңісті болса, соғұрлым етпелі процестің ұзақтығы аз болады;
9. Егер
Р(
)
оң таңбалы өспейтін функция болса, яғни
онда асыра реттеу 18%-тен аспайды.
- Іс жүргізу
- Автоматтандыру, Техника
- Алғашқы әскери дайындық
- Астрономия
- Ауыл шаруашылығы
- Банк ісі
- Бизнесті бағалау
- Биология
- Бухгалтерлік іс
- Валеология
- Ветеринария
- География
- Геология, Геофизика, Геодезия
- Дін
- Ет, сүт, шарап өнімдері
- Жалпы тарих
- Жер кадастрі, Жылжымайтын мүлік
- Журналистика
- Информатика
- Кеден ісі
- Маркетинг
- Математика, Геометрия
- Медицина
- Мемлекеттік басқару
- Менеджмент
- Мұнай, Газ
- Мұрағат ісі
- Мәдениеттану
- ОБЖ (Основы безопасности жизнедеятельности)
- Педагогика
- Полиграфия
- Психология
- Салық
- Саясаттану
- Сақтандыру
- Сертификаттау, стандарттау
- Социология, Демография
- Спорт
- Статистика
- Тілтану, Филология
- Тарихи тұлғалар
- Тау-кен ісі
- Транспорт
- Туризм
- Физика
- Философия
- Халықаралық қатынастар
- Химия
- Экология, Қоршаған ортаны қорғау
- Экономика
- Экономикалық география
- Электротехника
- Қазақстан тарихы
- Қаржы
- Құрылыс
- Құқық, Криминалистика
- Әдебиет
- Өнер, музыка
- Өнеркәсіп, Өндіріс
Қазақ тілінде жазылған рефераттар, курстық жұмыстар, дипломдық жұмыстар бойынша біздің қор #1 болып табылады.

Ақпарат
Қосымша
Email: info@stud.kz