Фенол және оның түрлері


ЖОСПАР
І. КІРІСПЕ
ІІ. НЕГІЗГІ БӨЛІМ
2. 1 БІР АТОМДЫ ФЕНОЛДАР
2. 2. ЕКІ АТОМДЫ ФЕНОЛДАР
2. 3. ҮШ АТОМДЫ ФЕНОЛДАР
2. 4. НИТРОФЕНОЛДАР
ІІІ. ҚОРЫТЫНДЫ
ІV. ПАЙДАЛАНҒАН ӘДЕБИЕТТЕР
І. КІРІСПЕ
Фенолдар - әдетте суда қиын еритін кристалдық заттар. Су буымен қоса ұшады. Өзіне тән иісі бар. Антисептиктер болып табылады, улы, теріге тисе күйдіреді. Сумен әуелгі фенолдан гөрі балқу температурасы төменірек кристаллогидраттар құрады.
Фенолдардың реакцияға өте қабілетті гидроксил тобы мен ароматик ядросы бар.
Фенолдар спирт немесе судан гөрі едәуір үлкен қышқылдық көрсетеді, алайды қышқыл есебінде олар көмір және карбон қышқылдарынан әлсіздеу. Мысалы, сірке қышқылының диссоциациялану константасы 1, 8∙10-5, көмір қышқылынікі 4, 8∙10-7, көгерткіш қышқылдікі 7, 2∙10-10, фенолдікі 1, 3∙10-10 және судікі 1, 8∙10-16. Сондықтан фенолдар күйдіргіш натрдың ерітіндісімен әркеттесетін феноляттар түзеді, бірақ натрий карбонатынан СО2 ығыстырып шығара алмайды.
Спирттермен салыстырғанда фенолдардың үлкен қшқылдығын оттек атомының бөлінбеген электрондар жұптарының ядроның электрондарымен әрекеттесуі арқылы түсіндіруге болады. Мұндай қосарлану оттек атомындағы электрондар тығыздығын азайтады және спирттердегіден гөрі фенолдарда протонның үлкен қозғалтқышын туғызады.
Темір феноляттардың комплекстік сипаты бар. Олардың ерітінділері қанық қанық боялған. Фенол FeCl3 ерітіндісімен күлгін түске, крезолдар - көк түске боялады.
Фенолдарға, әсіресе мыс ұнтағының қатысуымен, галогекн туындылардың феноляттары әсер еткенде, сондай-ақ фенолдарға алкилсульфаттар, сульфоқышқылдардың эфирлері немесе диазометан әсер еткенде, фенолдар гидроксил топтағы сутек атомының арқасында оңай алкилденеді.
Фенолдардың эфирлері - тұрақты заттар. Алайда инерттік ерітіндіде Na немесе NaNH2 қыздырғанда олар да, радикалдары майлар қатарынан эфирлер сияқты ыдырайды. Оларға сілтілердің әсері аз.
Фенол этилен тотығымен конденсацияланып, полиэтиленгликольдің фенил эфирін құрайды.
ІІ. НЕГІЗГІ БӨЛІМ
2. 1 БІР АТОМДЫ ФЕНОЛДАР
Алу тәсілдері. Ароматик ядроға гидроксил топты енгізудің бірнеше тәсілдері бар. Олардың көпшілігі өндірісте қолданылады.
1. Сульфоқышқылдардың тұздарын сілтілермен балқыту:
Бұл әдіс өнеркәсіпте кеңінен пайдаланылады. Реакцияны әдетте 320-3500 С күйдіргіш натрмен жүргізеді, бірақ қымбатырақ күйдіргіш калий одан гөрі жақсы шығым береді. Фенолдардың шығымы сульфолау үшін алынған бензолмен салыстырғанда 60-70 % шамасы болады. Техникада ашық және автоклавтық процестер пайдаланылады.
Реакциямен қатар қосалқы тотығу процестері өтеді. Бензолсульфоқышқылдың натрий тұзын күйдіргіш натрмен қоса балқытқанда фенолмен қатар резорции (І), флюраглюции (ІІ), және п-п - диоксидифенил (ІІІ) алынады:
Алкилфенолдардың жағдайында алкилтоптардың жарым-жартылай тотығуы өтеді. Мысалы, мезитиленнің сульфоқышқылын (IV) сілтімен қоса балқытқанда мизитолмен (V) қатар келесі заттар алынады:
2. Галоген туындылардың гидролизі. Техникада кейінгі кездерде хлорбензолды гидролиздеу жолымен фенолдың жақсы шығымын алуды үйренді:
Ядромен байланысқан хлордың қозғалтқышы аз, сондықтан да процесті немесе мыс тұздарының қатысуымен 2500 С автоклавта күйдіргіш натрдың 8 %-тік ерітіндісімен жүргізеді немесе сілтінің ерітіндісі хлорбензолмен бірге 3000 С және 200 атм. дейін қысымда ұзындығы 1 км-ден аса түтіктер системасы арқылы өткізіледі (Реакцияның механизмін кіші Н. Н. Ворожцов зерттеген) .
Бұл процестің жүруімен қатар қосалқы өнімдер алынады: дифенилэфирі, о- және п- оксидифенилдер.
Бірінші заттың елеулі мөлшері түзілуінен құтылу үшін оның өзін системаға арнайы кіргізеді, себебі оның алыну процесі мынадай тепе-теңдікпен шектелген:
Кейінгі кездерде галоген туындылар гидролизінің бу фазасында әдеткі қысымда өтетін бірнеше катализдік процестері белгілі болды (Рашиг) .
3. Гидроасқынтотықтардың ыдырауы. Фенол кейбір алкилбензолдардың асқын тотықтарының қышқылдық ыдырауы арқылы алынады. Мысалы, қумолдың гидроасқынтотығы ацетон мен фенолға ажырайды.
Екіншілік - бутилбензолдың гидроасқын тотығы да осы сияқты күйге ұшырайды.
4. Біріншілік ароматик аминдерге азотты қышқылдың әрекеті. Аралық өнімдер есебінде бұл процеске ароматик диазоқосылыстар алынады:
Диазотоптың гидроксилмен алмасуы қышқыл ерітіндіде сақтау арқылы немесе қайнаумен тезірек жүзеге асырылады. Мыс тұздарының қатысуы процесті оңайлатады.
5. Осы сияқты реакциялармен фенолдың гомологтарын бензолдың гомологтарының сульфо-, галоген-, немесе аминотуындыларынан алуға болады. Алайда алкил-топты фенолдың ядросына енгізудің де әдістері бар.
Гидроксил топтың активтеу әрекеті арқасында фенолдарды алкилдеу бензол және оның гомологтарын алкилдеуден гөрі жеңілірек жүреді. Катализатор есебінде бұл арада - хлорлы мырыш, ал алкилдегіш зат есебінде спирттерді пайдалануға болады.
Физикалық қасиеттері. Фенолдар - әдетте суда қиын еритін кристалдық заттар. Су буымен қоса ұшады. Өзіне тән иісі бар. Антисептиктер болып табылады, улы, теріге тисе күйдіреді. Сумен әуелгі фенолдан гөрі балқу температурасы төменірек кристаллогидраттар құрады.
Химиялық қасиеттері. Фенолдардың реакцияға өте қабілетті гидроксил тобы мен ароматик ядросы бар.
1. Фенолдар спирт немесе судан гөрі едәуір үлкен қышқылдық көрсетеді, алайды қышқыл есебінде олар көмір және карбон қышқылдарынан әлсіздеу. Мысалы, сірке қышқылының диссоциациялану константасы 1, 8∙10-5, көмір қышқылынікі 4, 8∙10-7, көгерткіш қышқылдікі 7, 2∙10-10, фенолдікі 1, 3∙10-10 және судікі 1, 8∙10-16. Сондықтан фенолдар күйдіргіш натрдың ерітіндісімен әркеттесетін феноляттар түзеді, бірақ натрий карбонатынан СО2 ығыстырып шығара алмайды. Керісінше, фенолдарды феноляттардың ерітіндісінен көмір қышқылы ығыстырып шығарады:
Келтірілген реакциялар спирттерден немесе карбон қышқылдарынан фенолдар бөліп алу үшін пайдаланылады.
Бұл ескертулердің ядросында күшті электрофильдік тобы бар фенолдарға қатысы жоқ. Диссоциация константалары о- нитрофенол үшін 6, 8∙108, м- нитрофенол 5, 3∙10-9, п- нитрофенол 6, 5∙10-8, 2, 4-динитрофенол үшін 8, 3∙10-5 және 2, 4, 6-үш нитрофенол (никрин қышқылы) 4, 2∙10-1 тең. Мононитрофенолдардағы нитротоптың әсері орто- және пара- қалыпта - мета- қалыптағыдан гөрі көп. Орто- және пара- қалыптағы екі нитротон шамамен карбон қышқылдарындай күшті - қышқылдық береді. Орто- және пара- қалыптарда үш нитротобы бар никрин қышқылы күші жағынан минералдық қышқылдарға жақын.
Спирттермен салыстырғанда фенолдардың үлкен қшқылдығын оттек атомының бөлінбеген электрондар жұптарының ядроның электрондарымен әрекеттесуі арқылы түсіндіруге болады. Мұндай қосарлану оттек атомындағы электрондар тығыздығын азайтады және спирттердегіден гөрі фенолдарда протонның үлкен қозғалтқышын туғызады. Фенолда электрондық тығыздықтың таралуы (Б) формуласында көрсетілген.
Темір феноляттардың комплекстік сипаты бар. Олардың ерітінділері қанық қанық боялған. Фенол FeCl3 ерітіндісімен күлгін түске, крезолдар - көк түске боялады.
2. Фенолдарға, әсіресе мыс ұнтағының қатысуымен, галогекн туындылардың феноляттары әсер еткенде, сондай-ақ фенолдарға алкилсульфаттар, сульфоқышқылдардың эфирлері немесе диазометан әсер еткенде, фенолдар гидроксил топтағы сутек атомының арқасында оңай алкилденеді:
Фенолдардың эфирлері - тұрақты заттар. Алайда инерттік ерітіндіде Na немесе NaNH2 қыздырғанда олар да, радикалдары майлар қатарынан эфирлер сияқты ыдырайды. Оларға сілтілердің әсері аз.
Фенол этилен тотығымен конденсацияланып, полиэтиленгликольдің фенил эфирін құрайды:
Мұндай эфирлерге, әсіресе егер фенол молекуласында алкил тобы бар болса, актив-беттік қасиеттер тән. Бұл жағдайда молекуланың алкилфенил бөлігі - гидрофобтық, ал молекуланың полиэтилендік бөлігі - гидрофильдік бөлік болып табылады. Октифенолдың «ОП-7», «ОП-10» деген атпен белгілі полиэтилендік эфирлері техникада тоқыма материалдарды тазарту және жуу үшін кеңінен қолданылады, мұнда бұл аттардағы цифр этиленгликольдің қалдық санын көрсетеді:
4. Фенолдар тікелей карбон қышқылдарымен эфирленбейді. Фенолдың эфирлерін феноляттарға немесе фенолдардың пиридиндегі ерітінділеріне қышқылдардың галоген ангидридтерінің немесе анидридтерінің әрекет етуі арқылы дайындауға болады:
5. Фенолдардағы гидроксид топ галогенге үлкен қиындықпен алмасады. Үш хлорлы фосфордың әрекетімен негізінде фосфорлы қышқыл эфирлері алынады:
Бес хлорлы фосфор жағдайында эфирлер алынады. Бұл реагент фенолдарды хлорлайды.
6. Фенолдарды мырыш ұнтағын қосып айдағанда гидроксид топ сутекке алмасады. Бұл тәсілді кейде күрделі фенолдардың структурасын анықтау үшін пайдаланады.
Гидроксид топ ароматик о- және п- қалыптарға реакциялық қабілеттілігін арттыра отырып ядроға өте үлкен әсер етеді. Сондықтан фенол неше түрлі орын басу және конденсация реакцияларына өте оңай түседі.
7. Галогендердің немесе галогендегіш заттардың ерітіндісінің әсерінен фенолдарды галогендеу үлкен жылдамдықпен және көбінесе пара- қалыпқа өтеді. Хлорлау кезінде көптеген орто-изомерлер түзіледі. Үш галогенфенолдар ядроны галогендеудің ақырғы өнімі болып табылады.
Одан әрі галогендеу арқылы гидроксил топтағы сутекті де алмастыруға болады. Алынатын заттар басқа таутомер күйде өмір сүруі мүмкін. Бұл заттар йодты бөліп шығарады.
Йод фенолдарды тікелей йодтамайды. Тотықтағыштарды қолдану талап етіледі.
8. Фенолды нитрлеу сұйытылған азот қышқылының әрекет етуімен-ақ жүреді. О- және п-нитрофенолдардың (бірінші изомері көбірек) қосындысы алынады. Су буымен қоса буланғыштық қабілет тек қана о-изомерге тән болғандықтан, изомерлі нитрофенолдар оңай ажыратылады. о-нитрофенолдың күшті буландығтығы молекула ішінаралық сутектік байланыстың құрылуымен түсіндіреді, ал окси- және нитротоптар басқаша орналасқан уақытта молекула аралық сутектік байланыстар пайда болады:
Сұйытылған азот қышқылында фенолдарды нитрлеу -әуелі нитроздау, одан әрі нитрозоқосылысты азот қышқылымен тотықтыру арқылы жүреді. Егер азотты қышқылды (азот қышқылының құрамындағы немесе азот қышқылын фенолмен тотықсыздандырғанда пайда болатын) ыдырату үшін несеп нәрін қоссақ, нитрлеу жүрмейді.
Концентрациялы азот қышқылымен одан әрі нитрлегенде үш нитрофенол никрин қышқылы алынады:
Фенолды нитрлегенде тотығу процестері орын алады. Сондықтан реакцияны жұмсақ жағдайларда жүргізу керек.
9. Фенолдарды сульфолағанда о- және п-фенолсульфоқышқылдар алынады. Қалыпты температурада концентрациялы күкірт қышқылы көбінесе о-изомер береді, ал 1000 С болғанда п-изомер басым болады.
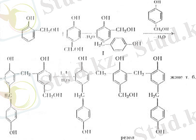
10. а) Фенол мен майлар қатарының қандай болмасын бір альдегидінің қосындысына сілтілік немесе қышқылдық катализаторлармен әсер еткенде о- және п- қалыпта конденсация жүреді. Бұл реакцияның іс жүзінде өте үлкен маңызы бар, себебі ол маңызды пластикалық массалар (бакелиттер) мен сырлық негіздер алудың негізін қалайды:
Әдеттегі температурада молекуланың фенол мен альдегидтің конденсациялануы арқылы өсуі біршама сызықтық бағытта жүреді. Қыздырғанда тармақталған молекулалар түзілетін конденсация басталады. Ақырғы өнім ерімейтін болып шығады.
Фенол мен ерімейтін поликонденсациялануы
ә) фенолспирттердің сызықтық еритін полимерлерді (резол смоласы, резол) құрау арқылы конденсациялануы:
б) резолды әрі қарай конденсациялау (қыздырумен) үш өлшемдік тор көзді (кеңістіктік) ерімейтін полимердің (резит, бакелит С) түзілуіне апарады:
В) фенолдардың ароматик альдегидтермен конденсациясы үш фенилметандық қатардың кейбір маңызды бояғыштарын алудың негізін қалайды:
11. Фенол сақинасындағы сутек атомдарының қозғалғыштығының арқасында гидроксил топта орынбасарлар бар көптеген фенол туындылары қайта топтасып, орынбасарларды ядроға ауыстыруға қабілетті келеді. Мысалы, дейтерий гидроксил топтан ядроның о- және п- қалыптарына оңай көшетіні белгілі:
Фенолдардың эфирлерін қышқылдармен қыздырғанда алкил ядроға көшіп, алкилфенолдар түзіледі:
Фенолдардың алкилдік эфирлері мұндай қайта топтасуға жай қыздырғанда ұшырайды. (Кляйзен реакциясы) . о-орын ауысқан фенолдар түзіледі:
Фенолдың ацилдік эфирлері AlCL3 әсерінен ароматик оксикетондарға айналады. Температураның көтерілуі бұл арада орто-орын басуға жағдай туғызады (фриз реакциясы) :
12. Ядроға гидроксил топтың енуі оның тотықтырғыштарға қарсы төзімділігін азайтады. Тотықтырғыштың табиғатына және реакцияның өту жағдайларына байланысты әр түрлі өнімдер алынады.
... жалғасы- Іс жүргізу
- Автоматтандыру, Техника
- Алғашқы әскери дайындық
- Астрономия
- Ауыл шаруашылығы
- Банк ісі
- Бизнесті бағалау
- Биология
- Бухгалтерлік іс
- Валеология
- Ветеринария
- География
- Геология, Геофизика, Геодезия
- Дін
- Ет, сүт, шарап өнімдері
- Жалпы тарих
- Жер кадастрі, Жылжымайтын мүлік
- Журналистика
- Информатика
- Кеден ісі
- Маркетинг
- Математика, Геометрия
- Медицина
- Мемлекеттік басқару
- Менеджмент
- Мұнай, Газ
- Мұрағат ісі
- Мәдениеттану
- ОБЖ (Основы безопасности жизнедеятельности)
- Педагогика
- Полиграфия
- Психология
- Салық
- Саясаттану
- Сақтандыру
- Сертификаттау, стандарттау
- Социология, Демография
- Спорт
- Статистика
- Тілтану, Филология
- Тарихи тұлғалар
- Тау-кен ісі
- Транспорт
- Туризм
- Физика
- Философия
- Халықаралық қатынастар
- Химия
- Экология, Қоршаған ортаны қорғау
- Экономика
- Экономикалық география
- Электротехника
- Қазақстан тарихы
- Қаржы
- Құрылыс
- Құқық, Криминалистика
- Әдебиет
- Өнер, музыка
- Өнеркәсіп, Өндіріс
Қазақ тілінде жазылған рефераттар, курстық жұмыстар, дипломдық жұмыстар бойынша біздің қор #1 болып табылады.

Ақпарат
Қосымша
Email: info@stud.kz