Сұраныс пен ұсыныстың өзара әрекеті

 
    
Тақырыбы: Сұраныс пен ұсыныс теориясының негіздері
МАЗМҰНЫ
КІРІСПЕ . . . 3
1-ТАРАУ. СҰРАНЫС ПЕН ҰСЫНЫС . . . 4
1. 1 Сұраныс заңы, сұраныс қисығы. Сұраныстың баға емес . . . 4
факторларының әсерінен өзгеруі
1. 2 Ұсыныс заңы, ұсыныс қисығы. Ұсыныстың баға емес . . . 6
факторлардың әсерінен өзгеруі
2-ТАРАУ. СҰРАНЫС ПЕН ҰСЫНЫСТЫҢ ӨЗАРА ӘРЕКЕТІ . . . 8
2. 1 Сұраныс пен ұсыныстың өзара әрекет етуі . . . 8
2. 2 Икемділік түсінігі. Сұраныс пен ұсыныс икемділігі . . . 9
3-ТАРАУ. БАҒА ТУРАЛЫ ЖАЛПЫ ТҮСІНІК . . . 12
3. 1 Тұтынушылық мінез-құлық теориясының негіздері . . . 12
3. 2 Маркетингте бағаның қалыптасуы . . . 14
3. 3 Нарықтық баға қалай анықталады? . . . 18
ҚОРЫТЫНДЫ . . . 21
Қолданылған әдебиеттер тізімі . . . 22
«Экономика - күнделікті өмір туралы ғылым және күнделікті тіршілік деңгейін көрсетеді, ал адамның бай болуы мен кедей болуы нақты айтқанда қарама-қарсы жағы . . . » А Маршалл
КІРІСПЕ
Экономика ежелден келе жатқан ілім. Бұл ғылым әрқашанда ғұлама және білімді адамдардың өзіне көңіл аудартқан. Бұған дәлел көрнекті американдық ғалым П. Самуельсон экономика мен саясат экономикасын ғылымдардың патшасына балаған. Нобель сыйлығының иегері М. Фридмен айтқан: «Экономика - бұл ерекше ғылым, оның ерекшелігі сол оның білім іргетасының принциптері өте қарапайым және олар бір бет қағазға сыйғысуға болады, »-деген.
Экономикалық теория бұл адамдардың өндіріс жөніндегі, тауар алмасу жөніндегі, тауары тарату және қолдануды тиімді ұйымдастыру туралы ғылым.
Нарықтық экономикада, әдетте сұраныс пен ұсыныс арасында белгілі бір сәйкестілік құрылады.
Сұраным мен үсыным тепе-теңдігіне қарсы үш кедергіні атап өтелік.
1. Ұсыным мен сұраным қисығын сыза отырып, біз басқа факторларды өзгеріссіз қалады деп санаймыз.
Бидайға ұсыным қисығын бейнелей отырып, біз оның бағасына өзгеріс енгіземіз. Бұндай жағдайда, егер де осы уақытта басқа факторлар өзгеріссіз қалғанда, сатып алынатын тауардың санымен не болады? Жанұя табысын, басқа алмастыра алатын тауар бағасы өзгеріссіз делік. Не себепті? Тек біз бір ғана фактордың нәтижесін білмекпіз, ал басқаларынан дерексізденеміз (абстракцияланамыз) .
2. Екінші кедергі қисық сызықтың қозғалысымен және қисық бойынша қозғалыстар арасындағы айырмашылықпен байланысты.
Сұранымның артуын (сүраным қисығының жылжуы) мен сатып алудың артуын (сүраным қисығы бойымен бағаны төмен қарай түсуімен байланысты қозғалыстың нәтижесі) жаңылыстырмас үшін үлкен сақтық қажет.
Астықтан аз өнім алынуы бидай бағасын көтереді. Себебі, үсыным қисығының қозғалысы бидайдың тепе-теңдік бағасын көтереді. Өте жоғары тепе-теңдік бағасы сұраным деңгейін төмендетеді, ал тұтыну сұраным қисығы бойымен төмен лықсиды.
3. Үшінші кедергі сұраным мен ұсыным тепе-теңдік нүктесінде тең деген мағынамен байланысты.
Бағаның қалыптасуы - маркетинг бағдарламасының ең басты элементтерінің бірі. Баға осы бағдарламаның қалай дұрыс жасалатынын және жүзеге асырылатынын көрсетеді. Егер де тауар белгіленген бағамен өткізілсе, онда табысқа қол жеткізгендіктің белгісі, ал, егер тұтынушы осы баға бойынша сатып алмай жатса, онда керісінше болғаны.
Баға - пайданың болуына тікелей әсер ететін фактор.
1-ТАРАУ. СҰРАНЫС ПЕН ҰСЫНЫС
1. 1. Сұраныс заңы, сұраныс қисығы.
Сұраныстың баға емес факторлардың әсерінен өзгеруі
Біз қандай бір тауар рыногында қалыптасушы ситуацияны қарастырсақ, тауар бағасы мен сатылған (өткізілген) тауар саны арасында белгілі бір байланыс бар екенін оңай байқаймыз. Тауар бағасы төмен болған сайын сатып алушылар сатып алғысы келетін оның көлемі де көп (басқасы тең жағдайда) болып, оған деген сұраныс жоғары болады. Мысалы, бағасы 60 теңге болғанда сатып алу-шылар X игілігінің бір бірлігін ғана сатып алғысы келсе, бағасы 30 теңге болса - үш бірлікті, 20 теңге болғанда - 4 бірлікті және т. б алғысы келеді. Баға мен сұраныс шамасы арасындағы кері тәуелділік сұраныс заңы деп аталады. Сатылған игіліктер санының баға деңгейіне тәуелділігін сызба түрінде беруге болады. Сұраныс қисығы - сатып алушылардың дәл осы уақытта түрлі бағамен эконо-микалық игіліктің қанша санын сатып алғысы келетінін көрсететін қисық. Экономикалық теорияда тәуелсіз өзге-рушіні (бағаны) тігінен, ал тәуелдіні (сұраныс) көлденең осіне (1. 1-сызбаны қара) қою қабылданған.
Бейнеленген қисық белгілі бір уақыт кезіндегі баға жағдайы мен X өнімінің сатып алынған көлемін си-паттайды (мысалы, 2002ж. 1 қаңтар) . Одан теріс еңкеюді байқауға болады, бұл сатып алушылардың, өз бағасы кезінде игіліктің көп санын сатып алғысы келетінін білдіреді. Жалпы түрі:
 
Ондағы: Q- сұраныс шамасы (demand) ;
Р-баға (рrісе) .
 
1. 1-сызба. Сұраныс шамасының бағаға тәуелділігі
Сұранысқа бағадан басқа факторлар да әсер етеді. Осы әсерді толығырақ қарастырайық.
Сұраныс қызметі (demeand function) - сұранысты оған әсер ететін әр түрлі факторларға байланысты анықтайтын қызмет. Оның ішінде ең маңыздысы осы кездегі игілік бірлігінің бағасы болып табылады. Баға темен болған сайын сұраныстың жоғары және керісінше болатынын біз анықтадық. Баға өзгеруі сұраныс қисығы бойынша қоз-ғалысты көрсетеді (1. 2-сызбаны қараңыз) .
Сұранысқа тауардың өзінің бағасы ғана емес, басқа да факторлар әсер етеді:
1) тұтынушы табысының өсуі (немесе қысқаруы) ;
2) ұнайтын және басымдық беретін нәрселерінің өзгеруі;
3) бағаны және тапшылықты күту;
4) жарнамаға жұмсалатын шығындардың ауытқуы;
5) субстит тауарлардың (алмастырушылардың) және комплементарлық (қосымша) тауарлардың бағасының өсуі;
6) сатып алушылар санының өсуі (немесе азаюы) және т. б.
Сұраныс осы факторлардың бәрінің қызметі болып табылады:
 
 Ондағы:
  - сұраныс;
 - сұраныс;
Р - баға;
I - табыс;
Z - ұнайтын нәрсесі;
W - күту;
 Equation. 3 субститут тауарлар бағасьі;
 Equation. 3 субститут тауарлар бағасьі;
Рсом- комплементарлық тауарлар бағасы;
N - сатып алушылар саны;
В - басқа факторлар.
Осы факторлар сұраныс қисығының оңға немесе солға жылжуына көмектеседі (7. 3-сызбаны көрсетіңіз) .
 
 
1. 2-сызба. Сұраныс қисығы 1. 3-сызба. Сұраныс қызметі
(сұраныс қисығының жылжуы)
1. 2 Ұсыныс заңы, ұсыныс қисығы. Ұсыныстың баға емес
факторлардың әсерінен өзгеруі
Ұсыныс тарапынан рынокта қалыптасушы жағдайды қарастырсақ, ұсыныс шамасының бағаға тәуелділігі тіке-лей екенін байқау оңай, баға жоғары болған сайын, сату-шылар ұсынуға дайын тауарлар саны кеп болады (басқа жағдайлары тең кезде) . Мысалы, бағасы 20 теңге бол-ғанда өндірушілер X игілігінің тек 2 бірлігін, баға 30 теңге болғанда төрт бірлікті, 50 теңге бағада алты X игілігі бірлігін сатуға келіседі. Жалпы түрі:
 
 Ондағы:
  - ұсыныс шамасы (sumpply) ;
 - ұсыныс шамасы (sumpply) ;
Р - баға.
Баға мен ұсынылған өнім саны арасындағы тіке бай-ланыс ұсыныс заңы деп аталады. Өндірілген игіліктер санының баға деңгейіне тәуелді болуын графикалық түрде көрсетуге болады (1. 4-сызбаны қараңыз) .
 
1. 4-сызба. Ұсыныс шамасынуң бағаға тәуелділігі
Ұсыныс қисығы (supply curve) - өндірушілердің дәл осы уақытта түрлі бағамен сатқысы келетін экономикалық игілік санын көрсететін қисық. Экономикалық теорияда тәуелсіз ауыспалыны (бағаны) тікелей, ал тәуелдіні (ұсынысты) - көлденең оське орнату қабылданылған.
Бейнеленген 3 қисығы (ағылшынның supply сезінен) белгілі бір уақыт ішінде сатылған X игілігінің сатылу көлемі (мысалы, 2002 ж. 1 қаңтары) мен баға деңгейін сипаттайды. Оның еңкеюі оң, бұл ендірушінің жоғарырақ бағамен игіліктердің көбірек көлемін сату жөніндегі ниетін білдіреді. Бағадан басқа ұсынысқа алуан түрлі факторлар әсер етеді.
Ұсыныс қызметі (supply function) ұсынысты түрлі факторлар әсеріне байланьсты анықтайды. Біз анықтап алғанымыздай, осы уақыт ішіндегі игілік бірлігі бағасы маңыздыларының бірі болып табылады, Баға өзгеруі ұсыныс қисығы бойынша қозғалысты білдіреді (1. 5-сызбаны қараңыз) . Шынында игілік ұсынысына игіліктің өзінің бағасы ғана емес, басқа факторлар да әсер етеді:
1) өндіріс ресурс факторларының бағасы;
2) технология;
3) рыноктық экономика агенттерінің бағаны және тапшылықты күтуі;
4) салықтар мен субсидиялар көлемі;
5) сатушылар көлемі.
Ұсыныс барлық осы факторлардың қызметі болып табылады:
 
Ондағы: Р - игіліктің өзінің бағасы;
 Р
  - ресурстар бағасы;
 - ресурстар бағасы;
К - қолданылатын технология сипаттары;
Т - салықтар мен субсидиялар;
N - сатушылар саны;
В - тағы басқа факторлар.
 
1. 5-сызба. Ұсыныс қисығы (ұсыныс шамасының өзгеруі)
1. 6-сызба. Ұсыныс қызметі (ұсыныс қисығының жылжуы)
 Мысалы, өндіріс факторының бағасының өсуі ұсыныстың қысқаруын, яғни S қисығының S
  жағдайына жылжуын білдіреді. Керісінше, өндіріс факторларының бағасы төмендесе, ұсыныс өседі. Бұл S қисығының S
 
  2
 
 жағдайына жылжуына әкеледі (1. 6-сызбаны қараңыз) .
 жағдайына жылжуын білдіреді. Керісінше, өндіріс факторларының бағасы төмендесе, ұсыныс өседі. Бұл S қисығының S
 
  2
 
 жағдайына жылжуына әкеледі (1. 6-сызбаны қараңыз) .
2-тарау. СҰРАНЫС ПЕН ҰСЫНЫСТЫҢ ӨЗАРА ӘРЕКЕТІ
2. 1 Сұраныс пен ұсыныстың өзара әрекет етуі
Рынокты дамыту барысында сатушылар мен сатып алушылардың өзара бейімделуі іске асырылады (2. 1-сызбаны қараңыз) .
Бұл кезде қажетті ақпараттың тез айырбасталуына көмектесетін бағалар маңызды рөл ойнайды. Олар айырбас шарттарын рыноктық экономикаға қатысушылардың бәрі үшін қарапайым, анық және стандартты жасайды. Тепе-теңдік нүктесін Е-мен белгілейді (латынның Equilibrium сөзінен) .
Тепе-теңдік нүктесінде
Рe=Рs=Рd.
Ондағы: Р Е -тепе-теңдік баға;
Рs- ұсыныс бағасы;
 
2. 1. сызба. Тепе-теңдік бағасы және одан ауытқу
 сұраныс бағасы.
 сұраныс бағасы.
Бұл мынаны білдіреді:
 Q
 
  Е
 
 =Qs=Q
  
Мұндағы: Q Е - тепе-теңдік көлемі;
Qs- ұсыныс көлемі;
 - сұраныс көлемі.
 - сұраныс көлемі.
Тепе-теңдік баға - бәсеке күштер әрекеті нәтижесінде сұраныс пен ұсынысты теңестіруші баға. Тепе-тең бағаны құру - белгілі бір уақыт санын қажет ететін процесс. Жетілген бәсеке жағдайында сұраныс бағасының ұсыныс бағасына, сұраныс көлемі мен ұсыныс көлеміне тез өзара бейімделуі жүреді. Тепе-теңдік орнау нәтижесінде тұты-нушылар да, өндірушілер де ұтады.
2. 2 Икемділік түсінігі. Сұраныс пен ұсыныс икемділігі
Экономикалық агенттер тарапынан баға өзгеруіне болатын мүмкін реакцияны зерттеуде икемділік түсінігі маңызды рөл ойнайды. Сұраныс икемділігі бағаға қатысты, бағаның бір процентке өзгеруі әсерінен сұраныс көлемінің салыстырмалы өзгеруін көрсетеді. Осы кезде практикалық мәнге абсолюттік шама емес, салыстырмалы шама ие болады. Бұл түсінікті де. «Сникерс» бағасы 10 теңгеге өсті дегенде, оны байқамау мүмкін емес, себебі бұл «Сникерс» үшін бағаның елеулі өзгеруі болып табылады. Ол сұраныс шамасының елеулі өзгеруін тудырады. Кір жуу машинасының 10 теңгеге өсуі, сатып алушылар үшін іс жүзінде ештеме өзгертпейді. Сондықтан баға мен сұраныс шамасының өзгеруі икемділік формуласында абсолюттік емес, салыс-тырмалы түрде беріледі:
 
Ондағы: Е Р - баға бойынша сұраныс икемділігі;
∆Q/Q - сұраныстың салыстырмалы өзгеруі;
∆P/P - бағаның салыстырмалы өзгеруі.
Әдетте, баға өсуіне қарай сұраныс көлемі төмендейді және ∆Q/Q болады. Теріс сандарды болдырмау үшін, минус белгісін енгізеді:
 
 Е
 
  Р
 
 >1 болғанда сұранысты икемді (бұл сұраныс бағадан тез өседі немесе құлдырайды дегенді білдіреді) және Ер
 >1 болғанда сұранысты икемді (бұл сұраныс бағадан тез өседі немесе құлдырайды дегенді білдіреді) және Ер
  <1 болғанда икемді емес (яғни сұраныс баға өзгергенге қарағанда баяу өседі (құлдырайды) ) деп айтады.
 <1 болғанда икемді емес (яғни сұраныс баға өзгергенге қарағанда баяу өседі (құлдырайды) ) деп айтады.
 Егер баға өзгерісі ешқандай сұраныс өзгеруін тудырмаса, онда Е
 
  Р
 
 =0, егер бағаның шексіз шағын өзгеруі сұраныстың шексіз кеңеюін тудырса, онда Е=∞
 =0, егер бағаның шексіз шағын өзгеруі сұраныстың шексіз кеңеюін тудырса, онда Е=∞
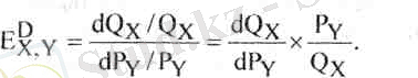
Бір игілік бағасының басқа игілік бағасына салыстырмалы икемділігі қиылыстың икемділігі деп аталады.
 
 Егер Е
 
  х
 
 >0 болса, онда біздің алдымызда бірін-бірі алмастыратын игіліктер (субституттар), егер Е
 
  х
 >0 болса, онда біздің алдымызда бірін-бірі алмастыратын игіліктер (субституттар), егер Е
 
  х
 
 <0 болса, бірін-бірі толықтыратын игіліктер тұр.
 <0 болса, бірін-бірі толықтыратын игіліктер тұр.
X игілігіне сұраныс икемділігі көп болған сайын игі-ліктерді алмастыру дәрежесі жоғары болады (Е D х, ү =+∞ болғанда алдымызда жетілген субституттар тұр) ; керісінше икемділік темен болған сайын, өзара толықтыру жоғары болады.
Бірақ, игіліктердің бірін-бірі алмастыруы және толық. тыруын сипаттайтын осы ережелерді тек бағалар сәл өзгерген кезде ғана пайдалануға болады.
Қазіргі экономикалық ғылымда табысқа қатысты сұра-ныс икемділігі көрсеткіші де пайдаланылады:
 
 Табысқа қатысты сұраныс икемділігі көрсеткіші теріс
 
  (Е
 
 <0)
 
 болса, табыс өсуі осы игілікке деген сұраныстың төмендеуіне әкеледі және оның сапасы темен деп айтуға болады. Байыған тұтынушы оны басқа, сапалырақ тауармен алмастыруы мүмкін және қажет деп есептейді. Мысалы, маргаринді маймен алмастыру арқылы, оны тұтынуды төмендету, картопты басқа көкөністермен (қияр, помидор) алмастыру арқылы, оны тұтынудан бас тарту. Егер табысқа қатысты сұраныс икемді оң (Е
  <0)
 
 болса, табыс өсуі осы игілікке деген сұраныстың төмендеуіне әкеледі және оның сапасы темен деп айтуға болады. Байыған тұтынушы оны басқа, сапалырақ тауармен алмастыруы мүмкін және қажет деп есептейді. Мысалы, маргаринді маймен алмастыру арқылы, оны тұтынуды төмендету, картопты басқа көкөністермен (қияр, помидор) алмастыру арқылы, оны тұтынудан бас тарту. Егер табысқа қатысты сұраныс икемді оң (Е
  >О) болса, онда игілік дұрыс деп есептеледі.
 >О) болса, онда игілік дұрыс деп есептеледі.
 Егер 0<Е
  <1 болса, онда игілікке деген сұраныс табысқа қарағанда баяуырақ өседі. Бұл бірінші қажеттіліктер игіліктеріне тән (тұз, нан, сіріңке) . Е
 <1 болса, онда игілікке деген сұраныс табысқа қарағанда баяуырақ өседі. Бұл бірінші қажеттіліктер игіліктеріне тән (тұз, нан, сіріңке) . Е
  >1 кезінде игілікке деген сұраныс табыстар өсуінен басым түседі және артып кетпейді (байлық заттары) . Мұндай бөлуге тұтынушылар топтары бойынша табыстың бекітілген деңгейі кезінде жол беріледі, себебі табысқа байланысты бірдей игіліктер бірліктен төмен, сонымен қатар бірлікке тең немесе одан үлкенірек (мысалы, жиһаз) икемділіктің сандық мәнін бере алады. Бірліктен төмен
 
  (0<Е
 >1 кезінде игілікке деген сұраныс табыстар өсуінен басым түседі және артып кетпейді (байлық заттары) . Мұндай бөлуге тұтынушылар топтары бойынша табыстың бекітілген деңгейі кезінде жол беріледі, себебі табысқа байланысты бірдей игіліктер бірліктен төмен, сонымен қатар бірлікке тең немесе одан үлкенірек (мысалы, жиһаз) икемділіктің сандық мәнін бере алады. Бірліктен төмен
 
  (0<Е
 
 <1)
 
 табысы бойынша сұраныс икемділігі бар әр игілік үшін нақты тұтынушыға арналған Ё^И игілік әрекет етуі керек. Бұл Энгель заңы деп аталады.
  <1)
 
 табысы бойынша сұраныс икемділігі бар әр игілік үшін нақты тұтынушыға арналған Ё^И игілік әрекет етуі керек. Бұл Энгель заңы деп аталады.
Баға бойынша ұсыныс икемділігі бағаның бір процентке өсуі әсерінен ұсыныс көлемінің салыстырмалы өзгеруін керсетеді.
 Equation. 3
 Equation. 3
Ұсыныс икемділігін түсінудегі уақыт факторының маңызы үлкен.
Қысқа рыноктық кезең жағдайында ұсыныс тіпті икемді емес (Ер S =0) . Сондықтан сұраныс артуы (төмендеуі) баға жоғарлауына (төмендеуіне) әкелгенімен, ұсыныс шама-сына әсер етпейді.
Қысқа кезең жағдайында ұсыныс икемдірек. Бұл сұраныс есуі баға өсуімен ғана емес, өндіріс көлемі де артуымен көрінеді. Себебі фирмалар сұранысқа сай ен~ дірістің кейбір факторларын өзгертіп үлгереді. Ұзақ кезең жағдайында ұсыныс тіпті икемді, сондықтан сұраныс өсуі тұрақты баға немесе бағаның сәл-пәл өсуі кезіндегі ұсыныстың елеулі өсуіне алып келеді.
3-тарау. БАҒА ТУРАЛЫ ЖАЛПЫ ТҮСІНІК
3. 1 Тұтынушылық мінез-құлық теориясының негіздері
Әр тұтынушы алдында 3 сұрақ тұрады: 1. Не сатып алу керек? 2. Қанша тұрады? 3. Сауда жасауға ақшам жете ме?
Бірінші сұраққа жауап беру үшін, заттың тұтынушыға пайдалылығын анықтап алу керек. Екінші сұраққа жауап беру үшін бағаны зерттеп, үшінші сұраққа жауап беруден бұрын тұтынушы табысын анықтау қажет.
Осы үш - пайдалылық, баға және табыс проблемалары тұтынушы мінез-құлқы теориясының мазмұнын құрайды. Осылардың өзара байланысын анықтауға тырысайық.
Игілік пайдалылығы - бул экономикалық игіліктің бір нөмесе бірнеше адам қажеттіліктерін қанагаттандыру қабілеті. Зерттеу нәтижесінде XIX ғ. мынандай заңдылық анықталды: біртіндеп тұтынатын қандай да бір игілік бөлігінің тұтынушы үшін пайдалылығы азая түседі. Бұл кезде тұтынушылар қалауы тұрақты, ал тұтыну қызметі үздіксіз, сондықтан әр нүктеде дифференцияланады деп есептеледі.
 
 
3. 1-сызба. Жалпы(а) және шекті(ә) пайдалылық
Бұл Q игілік көлемінің кез келген кішігірім өсуіне жалпы пайдалылық - ТU өсуінің сәйкес келетінін білдіреді (3. 1 (а) сызбаны қараңыз) . Жалпы пайдалылық игілік саны өсуіне қарай біртіндеп ессе де игіліктің әр қосымша бірлігінің шекті пайдалылығы = МІІ тоқтамастан азая береді (3. 1 (ә) сызбаны қараңыз) .
Жалпы пайдалылықты максимум қанағаттандыру шекті пайдалылық нөлге тең болғанда А нүктесіне жетеді. Бұл игілік қажеттілікті толық қанағаттандырады дегенді білlіреді.
Егер ары қарайғы тұтыну зиян әкелсе (игіліктің шекті пайдалылығы теріс), жалпы пайдалылық төмендейді (екі графиктегі АВ сызығын қараңыз) . Саны көбірек болған сайын осы игіліктің қосымша әр бірлігінің біз үшін құндылығы азая береді. Сонымен игілік бағасы жалпы емес, тұтынушы үшін оның шекті пайдалылығымен анықталады. Экономикалық игіліктің тұтынушы шекті пайдалылығы төмендейтін болғандықтан, өндіруші өз өнімінің қосымша санын бағаны төмендеткен кезде ғана сата алады. Шекті пайдалылықты азаю заңы сұранысты анықтау негізінде жатыр.
 
Пайдалылық қызметі - игілік санының өсуіне байланысты оның шекті пайдалылығының азаюына көрсететін қызмет:
Ондағы МU - шекті пайдалылық, ол осы иіліктің жалпы пайдалылығының жеке туындысына тең.
Тұтынушы таңдауы - бұл ресурстар шектеулілігі жағдайында рационалды тұтынушының пайдалылығы қызметін арттырушы таңдау.
Пайдалылық қызметі тұтынушының ақша табысы кез келген игілікті сатып алуға жұмсалған әр соңғы теңге бірдей шекті пайдалылық әкелетіндей болып бөлінген жағдайда максимумге жетеді (артады) .
Пайдалылықтың максимумге жету ережесі бірқатар тұжырымдар жасауға мүмкіндік береді.
 
Шынында, егер
Сондықтан, игіліктің кез келген n-інің шекті пайдалылықтары арасындағы арақатынас олардың бағаларының арақатынасына тең болады, яғни
 
Өлшенген шекті пайдалылықты мынау арқылы бейнелейміз:
 
 Ондағы
  - ақшаның шекті пайдалылығы.
 - ақшаның шекті пайдалылығы.
Сонымен, ақша бірліктерінің шекті пайдалылығы тепе-теңдікте пайдаланудың түрлі варианттарында тең. Жалпы түрінде былай жазуға болады:
 
Бұл игіліктің шекті пайдалылывы тұтынушының шекті шығындарына тең болады дегенді білдіреді. Сонымен, ақылмен істелген тұтынушылық таңдау қосымша пайда (SП) мен қосымша шығындарды (SШ) салыстыруды ғана емес, олардың арасындавы SП-8Ш тепе-теңдікті де білдіреді.
Немқұрайдылық қисығы тұтынушы үшін пайдалылығы бір, екі экономикалық игіліктің түрлі комбина-цияларын керсетеді,
X игілігін пепси-кола, Ү игілігін гамбургер деп алайық.
Тұтынушыға 3 гамбургер жеп, бір шөлмек пепси-кола ішудің (Кі нүктесі) немесе 1 гамбургер жеп, 3 шөлмек пепси-кола (К 2 нүктесі) ішудің бәрі бір (3. 2-сызбаны қараңыз) .
3. 2 Маркетингте бағаның қалыптасуы
Бағаның қалыптасуы - маркетинг бағдарламасының ең басты элементтерінің бірі. Баға осы бағдарламаның қалай дұрыс жасалатынын және жүзеге асырылатынын көрсетеді. Егер де тауар белгіленген бағамен өткізілсе, онда табысқа қол жеткізгендіктің белгісі, ал, егер тұтынушы осы баға бойынша сатып алмай жатса, онда керісінше болғаны.
Баға - пайданың болуына тікелей әсер ететін фактор.
Себебі:
1) пайда - сатудан алынған түсім сомасы мен шығын сомасы арасындағы айырма;
2) бағаның деңгейіне сату көлемі тәуелді. Маркетингтің негізгі мәселелерінің ішіндегі бастылары:
бағаны қай деңгейде белгілеу керек және қалай, неге оны өзгерту керек.
Бағаның қалыптасуы - көп факторлы қүбылыс болғандықтан, күрделі процесс. Ол белгілі бір шектелген ауқымда ғана аймағында ғана қозғалыс жасай алады. Бағаның ең жоғарғы деңгейі өндіріс шығыны мен өнімнің өткізілуімен анықталады.
Өндіріс шыгындары түрақты, айнымалы және жалпы болып бөлінеді.
Тұрақты шығындар - өндіріс көлеміне байланыссыз, шығынның өзгеріссіз қалатын бір бөлігі (мысалы, аренда төлемі, жылуға берілетін төлемдер және т. б) .
Айнымалы шығындар - өндіріс көлеміне байланысты, өз мөлшерін өзгертетін шығынның бір бөлігі.
Жалпы шығындар - түрақты және айнымалы шығындардың қосындысы.
Бағаның ең жоғарғы шегі сүраныммен (баға мен сұраным кері пропорционалды байланыста) анықталады. Баға жоғарылаған сайын, сүраным азаяды, немесе керісінше.
Тауарлардың көпшілігіне баға өскен сайын сүраным көрсеткіші иілген немесе түзу сызық бойымен төмен қарай үмтылады. Сәнді тауарларды алатын болсақ, онда бүл тәуелділік әлдеқайда күрделі болып келеді.
 
Сатып алушылардың бағаның өзгеруіне сезімталдылығы, сатып алу көлемі жағынан бағаның икемділігімен аныкталады.
Бағаның икемділігі дегеніміз бағаның өзгеруіне байланысты сұранымның өзгеру дәрежесі. Сұраным икемді, егер де икемділік көрсеткіші 1-ден артық болса, онда бағаның сәл ғана өзгеруі сұранымның әжептеуір өзгеруіне әсерін тигізеді.
Егер де бағаның өзгеруі сұраным көлеміне оншалықты әсер етпесе (икемділік 1-ден төмен болса), онда сұраным икемсіз болады
Біртекті сұраным болады, егер де оның өзгеру дәрежесі бағаның өзгеру дәрежесіне сәйкес келсе.
Баға икемділігі сұранымның өзгеруінің (пайызбен) бағаның өзгеруіне (пайызбен) қатынасымен есептелінеді
 
мұнда, С1- алғашқы сұраным мөлшері
С2-сұранымның өзгергендегі мөлшері
Б1 - бағаның алғашқы деңгейі
Б2- бағаның өзгергендегі деңгейі
... жалғасы- Іс жүргізу
- Автоматтандыру, Техника
- Алғашқы әскери дайындық
- Астрономия
- Ауыл шаруашылығы
- Банк ісі
- Бизнесті бағалау
- Биология
- Бухгалтерлік іс
- Валеология
- Ветеринария
- География
- Геология, Геофизика, Геодезия
- Дін
- Ет, сүт, шарап өнімдері
- Жалпы тарих
- Жер кадастрі, Жылжымайтын мүлік
- Журналистика
- Информатика
- Кеден ісі
- Маркетинг
- Математика, Геометрия
- Медицина
- Мемлекеттік басқару
- Менеджмент
- Мұнай, Газ
- Мұрағат ісі
- Мәдениеттану
- ОБЖ (Основы безопасности жизнедеятельности)
- Педагогика
- Полиграфия
- Психология
- Салық
- Саясаттану
- Сақтандыру
- Сертификаттау, стандарттау
- Социология, Демография
- Спорт
- Статистика
- Тілтану, Филология
- Тарихи тұлғалар
- Тау-кен ісі
- Транспорт
- Туризм
- Физика
- Философия
- Халықаралық қатынастар
- Химия
- Экология, Қоршаған ортаны қорғау
- Экономика
- Экономикалық география
- Электротехника
- Қазақстан тарихы
- Қаржы
- Құрылыс
- Құқық, Криминалистика
- Әдебиет
- Өнер, музыка
- Өнеркәсіп, Өндіріс
Қазақ тілінде жазылған рефераттар, курстық жұмыстар, дипломдық жұмыстар бойынша біздің қор #1 болып табылады.
 
            
                Ақпарат
Қосымша
Email: info@stud.kz