Жай сандардың арифметикалық прогрессияда таралуы


Жұмыс түрі: Дипломдық жұмыс
Тегін: Антиплагиат
Көлемі: 54 бет
Таңдаулыға:
Мазмұны
Кіріспе . . .
I-тарау. Дирехле функциясының негізгі қасиеттері . . .
§ 1. 1. Сипаттар және олардың қасиеттері . . .
§ 1. 2. Дирехле функциясы, оның қасиеттері . . .
§ 1. 3. функциясының нөлге айналмауы . . .
§ 1. 4. функциясының нөлдері туралы . . .
II-тарау. Арифметикалық прогрессиядағы жай сандар
§ 2. 1. Прогрессиядағы жай саны туралы . . .
§ 2. 2. Жай сандар санын есептеудегі Дирехле функциясымен байланысы . . .
§ 2. 3. Асимптотикалық формулалар . . .
Қорытынды . . .
Пайдаланылған әдебиеттер тізімі . . .
Кіріспе
Дипломдық жұмыстың тақырыбы - жай сандардың арифметикалық прогрессияда таралуы.
Жай сандар деп тек бірге және өзіңе бөлінетін оң бүтін сандарды атаймыз.
Арифметикалық прогрессия - дегеніміз натурал қатардың шектеусіз ең бір қарапайым бөлімше тізбегі.
Берілген жұмыстың негізгі мақсаты жай сандардың арифметикалық ппогрессияда таралуын оқып - зерттеу болып табылады. Математика ғылымына жай сандар туралы ұғым қашан енгені тарихта белгісіз.
Менің дипломдық жұмысым екі тараудан тұрады: Дирехле функциясының негізгі қасиеттері және арифметикалық прогрессиядағы жай сандар.
Бірінші тарау төрт бөлімнен тұрады. Онда сипаттар және олардың қасиеттері, Дирехле функциясы және оның қасиеттері, Дирехле функциясының нөлдері туралы қарастырылды.
Дипломдық жұмыстың екінші тарауы үш бөлімнен тұрады. Екінші тарауда прогрессиядағы жай сандар саны туралы, жай сандар санын есептеудегі Дирехле функциясымен байланысы және асимптотикалық формулалар қарастырылатын болатын.
1837 жылы Дирехле арифметикалық прогрессияда шексіз көп жай сандар бар болатындығын дәлелдеген.
Қорытынды бөлімде дипломдық жұмысқа қысқаша шолу жасалған. Соңында әдебиеттер тізімі келтірілген.
I-тарау. Дирехле функциясының негізгі қасиеттері.
§ 1. 1. Сипаттар және олардың түрлері.
Айталық,
бүтін саны болсын. Сонымен қатар
(1. 1. 1)
қарапайым көбейіткіштерге жіктелсін. Мульдері бойынша
сандарының алғашқы түбірлерін
арқылы белгілейміз. Онда әрбір
натурал саны үшін
,
(1. 1. 2)
болатындай
сандары табылады және әрбір
үшін
түріндегі бір ғана жүйе табылады. Айталық,
реттінің кез келген бірлік түбірлері
болсын.
функциясын мына формула арқылы анықтаймыз
(1. 1. 3)
Мұнда
үшін
(1. 1. 2) формуласымен анықталады. Егер
барлық мүмкіншілік тәсілдерімен таңдалған болса, онда біз
жиынтығында функцияларды анықтаймыз. Барлық натурал сандар жиынында анықталған бұл функциялар
модулі бойынша сипат деп аталады. Дербес жағдайда,
болса, онда сипатты бас сипат деп атап, былай белгілейміз:
. Сонымен қатар
(1. 1. 4)
Әрбір сипат үшін
болады.
Мысалы.
болғанда,
үшін
мәндеріне ие болатын төрт сипат табылады.
Кез келген
және
натурал сандары үшін келесі теңдіктерді алуға болады:
(1. 1. 5)
(1. 1. 6)
Сипаттардың негізгі қасиеті мына формулалар арқылы өрнектеледі
(1. 1. 7)
(1. 1. 8)
Сонымен бірге
(1. 1. 7) формулада
бойынша толық қалыңдылар жүйесін жүріп өтеді, ал
(1. 1. 8) формуласында
бойынша барлық
сипатымен жүріп өтеді. (1. 1. 7) формуласын дәлелдеу үшін
(1. 1. 9)
арақатынасын алайық. Мұнда
. Егер
сандарының біреуі бірге тең болмаса, яғни егер
бас сипат болмаса, онда әр
бірлігіне тиісті
дәрежелі түбірлері үшін сәйкес қосынды нөлге тең болады
.
(1. 1. 9) қосындысы үшін
болғанда
мәндерін аламыз. Осымен (1. 1. 7) формуласы дәлелденеді.
Енді (2. 8) формуласын дәлелдейік. Ол үшін
(1. 1. 10)
қосындысын алайық. Мұндағы қосынды сәйкес
бірліктердің барлық түбірлері
бойынша
реттің күнделікті
жүйесінде қарастыралады. Егер
сандарының біреуі нөлге тең болмаса, яғни
және егер
бірліктерге тиісті барлық
дәреже түбіріне жүріп өтетін болса, онда сәйкес қосынды нөлге ұмтылады
.
үшін (1. 1. 10) қосынды мәні
болады, бұдан (1. 1. 8) формуласы дәлелденеді.
болғанда (1. 1. 8) формуласынан шығады
(1. 1. 11)
Әрбір
сипаты үшін
функциясы
(1. 1. 12)
формуласымен анықталады. Мұнда
үшін
мәнінде барлық бірлік түбірлерлердің көбейтіндісі бар. Айталық,
салыстыру есептеуі болсын. Онда
және
болғанда (1. 1. 5), (1. 1. 6) формулаларынан
шығатыны анық. Осыдан
шығады. Келесі салыстырулары
және
,
және
тең мәнді болғандықтан ақырғы арақатынасынан және (1. 1. 8) арақатынасынан (1. 1. 11) шығады.
Теорема 1. 1. 1.
барлық
натурал саны үшін анықталған және келесі үш шартты қанағаттандыратын әрбір
функциясы
- ( толық мультипликативті )
қарастырып отырған
функцияларының біреуі болуы керек.
Расында да, 3-ші шарттан
және 1-ші шарттан
болса, онда
болатыны шығады. (1. 1. 2) формуласын жалпылай
сандары бар болатындығы элементарлық сандар теориясында дәлелденген және кез келген
(
) санын мына түрде жазуға болады
, (1. 1. 13)
сонымен бірге
(1. 1. 2) формуласындағы мәнге ие. Және де мына арақатынас орындалады
. Бұл арақатынасынан 2-ші және 3-ші шарттарды пайдалана отыра
теңдігін аламыз, сондықтан
. Осыған ұқсас
ретінің бірлік түбірлері
болуы керектігін аламыз. Егер
болса, онда
-сипат екені анық.
Сондықтан
бойынша сипатты 1-ші және 2-ші, 3-ші шарттарын қанағаттандыратын функция ретінде анықтауға болады.
екі сипаттың көбейтіндісі тағы
және
-сипат болатыны анық.
Теорема 1. 1. 2.
жиынтығында кез келген екі сипат өз ара тең емес, яғни барлық
мәнінде сәйкес келмейді.
Айталық, мысалы, (2. 3) арақатынасында
,
.
Онда
немесе ең болмағанда бір
үшін
. Егер соңғы жағдай орын алса, онда мынадай
үшін
болатыны анық.
Егер
болғанда барлық натурал
саны үшін жалғыз сипат
анықталса, онда бұл сипат жоғарыда айтылған барлық сипаттардың қасиеттеріне ие болады.
Енді эквивалентті және примитивті сипаттарға тоқталайық.
Айталық,
және
-сәйкес
және
модульдері бойынша екі сипат болсын.
саны үшін
орындалсын. Мұндағы
-
және
модульдерінің ең кіші бөлгіші. Сонда
теңдіктеріне ие боламыз.
және
сипаттары эквивалентті деп аталады, егер
үшін
орындалса.
Басқаша айтқанда, егер
және
нөлден өзгеше мәнге ие болса. Онда төмендегі теңдіктермен анықталған функция
бойынша
сипаты болады
(1. 1. 13)
Мұнда
1-ші және 2-ші, 3-ші шарттарын қанағаттандырады. Кейін
және
натурал сандары болады. Егер
бойынша
сипатына
бойынша
сипаты эквивалентті болса, онда
сипатын
модулі бойынша немесе
сипатын
бойынша анықтаймыз.
Лемма 1. 1. 1.
Егер
бөлінетін болса, онда кез келген
бойынша
сипаты кез келген модулімен анықталуы мүмкін.
Дәлелдеу.
Айталық,
бөлінетін болсын. Онда
бойынша
сипаты 1-ші және 2-ші, 3-ші шарттарын қанағаттандырады. Сондықтан
сипаты
сипатына эквивалентті.
Лемма 1. 1. 2.
Егер
және
болса, онда
(1. 1. 14)
сандары табылады.
Дәлелдеу.
Айталық,
және
ді бөлетін, бірақ
ні бөлмейтін барлық жай сандар көбейтіндісі болсын. Онда
салыстырылуы шешіледі. Егер
шешім болып табылса, онда
және жорамалдауымыз бойынша
болады.
Лемма 1. 1. 3.
Айталық,
болсын.
бойынша
сипаты
бойынша анықталуы үшін төмендегі шарттың орындалуы қажетті және жеткілікті
барлық
үшін,
,
. (1. 1. 15)
Дәлелдеу.
Егер
бойынша
сипаты
сипатына эквивалентті болса, онда (1. 1. 15) шартын қанағаттандыратын барлық
үшін
болуы керектігінен қажеттілігі шығады. Бірақ,
болғандықтан, осы
үшін
болуы қажет.
Керісінше, (1. 1. 15) шарты орынды деп жорамалдайық. Әрбір
мен
мәнін салыстырамыз. Лемма 1. 1. 2. тәрізді
шешімін анықтаймыз және
(1. 1. 16 )
деп жорамалдаймыз. Бұл анықтаманың
ті таңдауға қатысы жоқ. Мысалы,
алайық.
ді
салыстыру көмегімен анықтайық.
болғандықтан және лемма 1. 1. 2 бойынша
теңдігі орындалатындай
z
бар болатыны анық. Онда
теңдігіне ие боламыз және
мен бірге екі көбейткіш өз ара жай болады. Осы әдіспен, егер (1. 1. 15) дұрыс деп жорамалдасақ, онда
арақатынасына ие боламыз. Сонымен қатар
болады.
болғандықтан, осы жерден
теңдігін аламыз.
Егер
үшін
деп жорамалдасақ, онда (1. 1. 16) теңдік көмегімен
бойынша сипат толық анықталады. Бұған көз жеткізу үшін 1-ші және 2-ші, 3-ші шарттарды тексеру жеткілікті.
теңдігінен
шығатындығынан 1-ші шарт орынды екенін көруге болады. Мысалға,
деп алсақ, 2-ші шартты тексеруге болады.
салыстыруынан
ті анықтаймыз. Содан кейін
сандары
мен өз ара жай болатындай
сандарын анықтаймыз. Онда (1. 1. 15) ден
және де
шығады. Сонымен біз
, яғни
үшін
теңдігін алдық. 3-ші шарт
болғанда
теңдігінен шығады.
Лемма 1. 1. 4.
Егер
бойынша
сипаты және
бойынша
сипаты эквивалентті және
болса, онда
үшін
және
үшін
(1. 1. 17)
теңдіктері орындалады және
бойынша
,
анықталуы мүмкін.
Дәлелдеу.
Айталық,
болсын. Мысалы,
. Егер
(
-бүтін сандар) болса, онда
. Енді
деп алсақ, онда
және
мен
өз ара жай болады және эквиваленттіліктің анықтамасы бойынша
болады. Осылай (1. 1. 17) арақатынасынан 2-ші шарт дәлелденеді және 1. 1. 3 леммасынан осы дәлелденген лемма шығады.
Теорема 1. 1. 3.
сипатының барлық анықтайтын модульдері жалғыз анықталатын
үшін бастаушы деп аталатын модуліне бөлінеді.
Дәлелдеу.
Айталық,
сипатының ең кіші анықтайтын
модулі бірден артық болсын. Әрбір басқа анықтайтын модуль
ға бөлінсін. Қарама қарсы жағдайда
саны тағы да анықтайтын модулі болушы еді (1. 1. 4 леммасы бойынша) және
теңсіздігіне ие болады ( біз сипаттар үшін эквивалентіліктің транзитивті арақатынасын қолдандық) . Егер ең кіші анықтайтын модуль бірге тең болса, онда теорема орынды екені анық.
Одан әрі ең кіші анықтайтын модульді
арқылы, ал
бойынша
эквивалентті сипатын
арқылы белгілейміз.
бойынша сипаты үшін
эквиваленттілігі бар. Мұндағы барлық
үшін
да екі сипаты бірдей мәнге ие болмайды.
Мысалы,
-
бойынша сипат, сонымен бірге
үшін
болсын. Мұнда
-
сипатының бастаушы модулі, ал
үшін
.
Егер
бойынша
сипаты
ны бөлетін ешқандай модульмен анықталмаса, онда
сипаты примитивті сипат деп аталады. Онда
теңдіктеріне ие боламыз. Дербес жағдайда,
-барлық уақытта примитивті сипат (демек,
) . Осы тәсілмен әрбір сипатқа жалғыз
примитивті сипаты сәйкес қойылады. Екі эквивалентті сипаттары бір примитивті сипатқа ие болады. Әрбір модулі бойынша берілген сипат үшін ең болмағанда бір эквивалентті сипат бар болады.
жиыны
мен бірге, жалпы айтқанда,
жиын ұзындығы
мен бірге. Осы жиындардан
функциясы сипат қасиеттерінен арылмайтындай ең үлкен жиыны бар болады.
Берілген сипат примитивті ме, әлде примитивті емес пе екенін тексеру үшін лемма 1. 1. 3 бойынша әрбір
үшін
болатындай ең болмағанда бір
бар болуын тексеру қажет.
Екі примитивті сипаттар барлық
үшін сәйкес келеді немесе эквивалентті емес болады.
Дербес жағдайда,
бас сипаты әрбір
үшін
бас модуліне және барлық
бүтін саны үшін
теңдігіне ие боламыз.
Егер
нақты сипат болса, онда
да нақты сипат болады. Мұны (1. 1. 16) теңдігінен көруге болады, яғни
нақты сипат болады, егер
нақты сипат болса.
§ 1. 2. Дирехле функциясының анықтамасы және қасиеттері.
Дирехле қатары деп аталатын
шектеусіз қатарды қарастырайық. Мұнда
-комплекс сан және
коэффициенттері де комплекс сандары болып табылады. Егер
десек, онда
,
, (1. 2. 1)
болады. Мұндағы
-сандық функция, Дирехле сипаты деп аталады
.
Дирехле қатары
жарты жазықтықта жатқан әрбір шектеулі облыста абсолют және бірқалыпты жинақты болады және де регуляр аналитикалық
функциясын өрнектейді. Мұнымен бірге,
функциясы тұтас комплекс жазықтыққа аналитикалық жолмен созылуы мүмкін. Біз
түрліше сипаттары үшін
әр түрлі функцияларды аламыз. Мұнда, егер
болса, онда
функциясының комплекс жазықтықтың шектеулі бөлігінде ерекше нүктелері болмайды, ол-бүтін функция. Егер
болса, онда
функциясының
нүктесінде жалғыз ғана жай полюсі болады.
Риманның дзета-функциясын Дирехле қатарының дербес жағдайы ретінде қарастыруға болады. Егер
-бас сипат, яғни
-мен өз ара жай болатын барлық натурал
үшін
болса, онда
сипатқа сәйкес
Дирехле функциясының Риманның
дзета-функциясынан айырмашылығы тек тұрақты көбейіткіште ғана болады, өйткені
,
мұнда
шамасы
санының барлық жай бөлгіштерін қабылдайды.
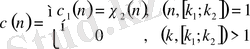
функцияларының қасиеттерін қарастыру барысында мына екі жағдайды байқау қиын емес:
- сипаты қашан бас сипат
- қашан
болады.
Теорема 1. 2. 1.
Егер
болса, онда кез келген
k
модулі бойынша
үшін төмендегі жіктеуі
(1. 2. 2)
орындалады.
Бұл тұжырым мына теоремадан шығады:
Айталық,
-барлық натурал
үшін анықталған нақты немесе комплексті мультипликатты функция болсын, яғни
және
болғанда
. Егер
болса, онда
.
Егер
болғанда
және
болғанда
деп ұйғарсақ және мына арақатынастан
.
Дербес жағдай ретінде мына формула орынды
. (1. 2. 3)
Мысалы,
=2 болғанда тек
негізгі сипат бар болады, сондықтан
.
=3 болғанда
және
екі сипат бар болады.
үшін
және
. Онда мына теңдіктерге ие боламыз
,
.
=4 болғанда
және
екі сипат бар болады.
үшін
және
. Сондықтан,
,
.
Теоерма 1. 2. 2.
облысында кез келген
үшін
болады.
Расында да, (1. 2. 2) формуладан мына теңсіздікті аламыз
.
Осы теоремадан (1. 2. 2) формуланы логарифмдеуге болатыны шығады:
,
.
Мұндағы қос қатар мына мәнді көрсетеді
, мұнда егер
, онда осы мән нөлге ұмтылады.
болғанда
болғандықтан, бұл логарифмнің тармағы
облысында бірмәнді және регулярлы болады. Мұндағы қос қатар жинақты, сондықтан қатардың ретін ауыстыруға болады.
және
болғанда
болғандықтан,
болады, онда келесі формуланы аламыз
,
. (1. 2. 4)
Жоғарғы теңдікті дифференциалдау арқылы төмендегі теңдікке ие боламыз
,
, (1. 2. 5)
болғанда ақырғы қатар бірқалыпты жинақталатындықтан дифференциялдау заңы орынды.
Теорема 1. 2. 3.
Егер
облысында
болса, онда
қатары жинақты болады.
облысында барлық
функциялары және
функциясын қосқанда аналитикалық жолмен созылады және регулярлы болады.
нүктесінде және
(1. 2. 6)
түріндегі жіктеуіне ие боламыз.
Дәлелдеу.
Айталық,
болсын.
теңсіздігінен және
формуласынан кез келген
үшін
(1. 2. 7)
аламыз. Соңғы қатар
арқылы
тізбегінің мүшесі нөлге айналады.
Теорема.
Айталық,
- нақты сандардың тізбегі,
және
-
кесіндісінде үзіліссіз дифференциалданған (нақты немесе комплексті) функция болсын. Онда
. (***)
Мұндағы
және
-кез келген комплексті сан. Егер (***) да
және не қатар, не инеграл жинақты болса, онда
Теоремасынан
(1. 2. 8)
аламыз.
болғанда соңғы интеграл (1. 2. 7) теңсіздік нәтижесінде жинақталады.
болғанда біздің тұжырымымыз 1. 1. 1. теоремасынан шығады.
болғанда ол (1. 2. 3) формуладан және 1. 2. 1 теоремасынан шығады.
Дербес жағдайда,
(1. 2. 9)
Ақырсыз көп сандар
бар екенін дәлелдеу үшін мына қатынасты дәлелдеу жеткілікті
(1. 2. 10)
болса, онда (1. 2. 10) теңдіктен
қатарының жинақсыздығы шығады. Осыдан
, (1. 2. 11)
теңдіктің оң жақ бөлігінің қосындысы барлық
р
үшін жүргізіледі.
болғанда (1. 2. 4) бойынша теңдік орнына
аламыз және сондықтан
(1. 2. 11) теңдігінен
(1. 2. 12)
шығады, мұнда
өрнегі s нақты мәндерді қабылдай отыра, оң жақтан бірге ұмтылады дегенді білдіреді. Мөлшер мүшесі
түрінде болса,
де тұрақты сан
k
дан тәуелсіз, қатарда кездестірілген
әр түрлі. (1. 2. 6) теңдігінен
(1. 2. 13)
аламыз. Нәтижесінде
(1. 2. 12) және (1. 2. 13) теңдіктерінен (1. 2. 10) теңдік шығады. Оған көз жеткізу үшін, бізге
(1. 2. 14)
болатынын дәлелдеу жеткілікті немесе
болғанда
болатындығын.
функциясының регулярлығынан
болғанда
(
) шығады.
§ 1. 3.
функциясының нөлге айналмауы.
шексіз көп жай сандар бар екенін анықтау үшін
(1. 3. 1)
арақатынасын дәлелдейміз. Ол кезде екі жағдайды ажыратуымыз керек:
- ең болмағанда бірnкомплекс мәні үшін қабылдайды;
- барлықn- нақты сандар үшін.
Бірінші жағдайда
комплекстік сипат, ал екінші жағдайда нақты сипат деп аталады.
немесе 0 болғандықтан
нақты сипаты
мәндеріне тең болуы керек. Сондықтан
үшін
және
үшін
. Осыдан сипатының комплексті немесе нақты екені шығады. Енді
немесе
жағдайын қарастырайық.
Теорема 1. 3. 1.
Егер
болса, онда барлық t үшін
(1. 3. 2)
орындалады және
,
болса, онда
(1. 3. 3)
теңдігі орындалады.
Дәлелдеу.
теңдігінен
болғанда
(1. 3. 4)
теңдігін аламыз.
Мұндағы
-монғолт функциясы деп аталады,
деп ұйғарсақ, онда
.
теңдігінен
,
(1. 3. 5)
шығады. Егер де
саны
функциясының нөлі болса, мысалы, m ретті,
, онда біз
,
(1. 3. 6)
теңдігіне ие болар едік. Теорема 1. 2. 3. бойынша
-
,
болмаған жағдайда
функциясының регулярлы нүктесі болады. Осы жағдайдан кейін
болғанда
,
(1. 3. 7)
теңдігін аламыз. (1. 3. 5), (1. 3. 6), (1. 3. 7) формулаларынан
,
(1. 3. 8)
шығады. Мұнда
болғандықтан, бұл (1. 3. 3) формуласына қайшылыққа келеді. Осыдан
деген жорамалдауымыз дұрыс емес және (1. 3. 1), (1. 3. 2) формулалары тура екені шығады.
,
болған жағдайды қарастырайық.
Лемма 1. 3. 1
Егер
, болса, онда
,
, (1. 3. 9)
теңдігі орынды болады, мұндағы
-нақты сан және
. (1. 3. 10)
Дәлелдеу.
теңдігін қарастырайық.
сипаты тек
мәндерін ғана қабылдайды.
үшін
;
үшін
және
үшін
орындалады. Осы барлық үш түрдегі көбейтінділерді көбейтетін болсақ, онда коэффициенттері
болатын Дирехле қатарын аламыз. Үш жағдайда да коэффициенттер
болғанда бірден кем емес болады.
Теорема 1. 3. 2.
Егер
,
және
болса, онда
(1. 3. 11)
теңсіздік орындалады.
Дәлелдеу.
болғандықтан,
жағдайын зерттейміз. (1. 3. 9) формуласындағы қатарды қарастырамыз.
,
болғанда
жартылай қатары жинақсыз болады. Сондықтан
болғанда
қатары жинақсыз болады. Осы қатардың
абциссасы жинақты болуы үшін
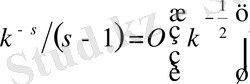
теңсіздігі орындалуы қажет. Басқаша айтқанда, Ландау теоремасы бойынша
s=
-
функциясының негізгі нүктесі.
Теорема.
Егер
саны-
қатарының абцисса жинақтығы, барлық
үшін
брлса, онда
болатын
ерекше нүктесі бар болады.
Бірақ,
болғанда
функциялары регулярлы, онда
болуы қажет. Бірақ, онда
функциясының нөлі бола алмайды. Расында да, қарама қарсы жағдайда
болғанда
функциясы регулярлы болуы мүмкін еді.
бірінші ретті полюс болғандықтан
реті бірден артық нөлі компенсірілген. Сондықтан,
.
оң болса және
теңдігінен
болатыны шығады.
Теорема 1. 3. 3.
Егер
және
болса, онда
түріндегі бірнеше жай сандар бар болады:
(1. 3. 12)
Дәлелдеу.
1. 3. 2 және 1. 3. 3 теоремалары бойынша
барлық сипаттары
үшін. Осыдан (1. 2. 13) формуласы шығады және (1. 2. 11), (1. 2. 12) формулаларынан (1. 2. 9) шығады. Осымен теорема дәлелденеді.
(1. 2. 10) және (1. 2. 11) формулаларымен бірге теорема 1. 3. 3 дәлелдеу үшін ұқсас дәлелденген мына теңдікті алуға болады
(1. 3. 13)
Онда (1. 2. 10) формуласынан
болғанда
(1. 3. 14)
арақатынасын аламыз.
§ 1. 4.
функциясының нөлдері туралы.
шарты орындалатын
нүктелері
функциясының нөлдері деп аталады.
функциясының барлық нөлдері ені
шектеулі, жорымал оське параллель болатын шектеусіз жолақта жататындығы дәлелденген. Дирехле функцияларының нөлдері жөнінде мынадай гипотеза бар: бұл функциялардың
жолағында (кризистік жолақта) жататын барлық нөлдері
түзуінің бойында орналасады.
және
өз ара жай сандарын қарастырамыз.
үшін
жай санын
арқылы белгілейміз
(
) .
Біздің негізгі мақсатымыз
(1. 4. 1)
арақатынасын дәлелдеу.
Асимптотикалық формулаларды алу үшін бірнеше
мәніндегі облысында теңдік орынды болу керектігін көрсетуіміз қажет. Ол үшін біз
бойынша барлық бағалау теңдіктерін, яғни тұрақты санымыз
дан тәуелсіз болуын дәлелдеуіміз керек.
Теорема 1. 4. 1
. Егер
болса, онда
(1. 4. 2)
теңдігі орынды болады. Мұндағы
-Мёбиус функиясы,
.
Дәлелдеу.
Айталық,
-мультипликатты функция болсын. Онда бұл теорема 1. 2. 1 және мына теоремадан шығады.
Теорема.
Айталық,
-барлық
натурал үшін анықталған нақты немесе комплексті мультипликатты функция болсын. Егер
болса, онда
.
Мақсатқа сәйкес
бағалауы үшін көмекші функциясын енгіземіз
. (1. 4. 3)
Дербес жағдайда,
. Онда
болатыны анық. Сондықтан,
. (1. 4. 4)
(1. 4. 4 ) формуласы осы облыста орынды болады, себебі
функциясы
облысында аналитикалық жалғасады.
Теорема 1
.
4. 2.
Егер
және
-оң тұрақты сан және
облысында
функциясы аналитикалық жолмен созылуы мүмкін болса, онда
; (1. 4. 5)
(1. 4. 6)
арақатынастарына ие боламыз. Мұнда
нүктесінде
және сәйкес
тәуелді, бірақ
дан тәуелсіз.
Дәлелдеу.
болғандықтан теореманы
үшін дәлелдеу жеткілікті.
болғанда
болғандықтан
аламыз. Демек,
деп жорамалдауымызға болады.
үшін және
болғанда
(1. 4. 7)
теңдігін аламыз. Бұл формула
облысында
функциясының аналитикалық ұластыруын береді.
болғанда соңғы интегралдағы функция регулярлы болады.
теңсіздігі бойынша (1. 4. 7) формуласынан
теңсіздігін аламыз.
облыстарында кез келген
үшін
(1. 4. 8)
бағалауы орынды болады. Мұндағы тұрақты санымыз
-де
-дан тәуелсіз. Егер
,
бекітулі және
-ден тұрақты сандарды
-дан тәуелді етсек, онда қалған мүшелеріміз мына түрге ие болады:
.
Басқаша айтқанда, егер біз
,
деп алсақ, онда (1. 4. 8) формуласындағы қалған мүшелер мына теңдікке ие болады:
.
үлкен болғандықтан, мұнда
болады.
Теорема 1. 4. 3.
Егер
болса, онда
(1. 4. 9)
арақатынасы орындалады. Мұндағы
дегі тұрақты сандарымыз
және
дан тәуелсіз болады.
Дәлелдеу.
үшін
аламыз. Сондықтан, (1. 4. 9) теңдік орынды. Енді (1. 4. 7) формуласында
деп жорамалдасақ, онда
теңдігін аламыз. Мұндағы
. Осы облыста
болғандықтан
және
болады.
Теорема 1. 4. 4.
Айталық,
және
-
бойынша кез келген сипат болсын. Егер
,
-оң тұрақты сан және
(1. 4. 10)
болса, онда
(1. 4. 11)
, (1. 4. 12)
. (1. 4. 13)
бағалаулары орындалады. Мұндағы барлық тұрақты сандар
дан тәуелсіз, бірақ
және сәйкес
ға тәуелді болуы мүмкін.
Дәлелдеу.
,
болғанда (1. 4. 4) және (1. 4. 5) формулаларынан
аламыз. Мұндағы тұрақты сан
де
дан тәуелді болуы мүмкін. Бұл (1. 4. 11) формуласын береді.
және
болғанда (1. 4. 4), (1. 4. 6) формулаларынан (1. 4. 12) бағалауы шығады:
.
болғанда (1. 4. 5) және (1. 4. 10) формулаларынан
(1. 4. 14)
шығады. Енді (1. 3. 7) формуласын ескере отыра
болғанда
(1. 4. 15)
(1. 4. 16)
аламыз. Одан кейін
болғанда
(1. 4. 17)
теңдігіне ие боламыз. Немесе
,
болғанда
теңдігін аламыз. Мұны және (1. 4. 15), (1. 4. 16) формулаларын (1. 4. 14) формуласына қойсақ, (1. 4. 13) формуласын аламыз.
болғанда
қалыңдысы
теңдігіне тең болатынындай етіп, біз (1. 2. 5) теңдігінде қойғанбыз.
Теорема 1. 4. 5.
Егер
болса, онда
(1. 4. 18)
бағалауы орынды болады.
Дәлелдеу.
(1. 4. 2) формуласынан және
теңсіздігінен
шығады. Демек, (1. 4. 18) орынды болғаны.
Тоерема 1. 4. 6.
Егер
болса, онда
қолайлы болғанда барлық
mod k
бойынша
үшін
(1. 4. 19)
теңсіздікке ие боламыз.
Дәлелдеу.
үшін бұл тұжырымды дәлелдеу жеткілікті. Сонымен бірге
,
және
функцияларының сипаты болып табылады.
Айталық,
-
функциясының нөлі болсын, сонымен қатар
. Егер біз
деп жорамалдасақ, онда
қолайлы болғанда
екенін көрсету жеткілікті. Ол
және
ден тәуелсіз.
деп жорамалдаймыз. Мұнда, айталық,
және жағдайға байланысты тағы кішіреуі қажет.
,
үшін төмендегі теореманы қолданамыз.
- Іс жүргізу
- Автоматтандыру, Техника
- Алғашқы әскери дайындық
- Астрономия
- Ауыл шаруашылығы
- Банк ісі
- Бизнесті бағалау
- Биология
- Бухгалтерлік іс
- Валеология
- Ветеринария
- География
- Геология, Геофизика, Геодезия
- Дін
- Ет, сүт, шарап өнімдері
- Жалпы тарих
- Жер кадастрі, Жылжымайтын мүлік
- Журналистика
- Информатика
- Кеден ісі
- Маркетинг
- Математика, Геометрия
- Медицина
- Мемлекеттік басқару
- Менеджмент
- Мұнай, Газ
- Мұрағат ісі
- Мәдениеттану
- ОБЖ (Основы безопасности жизнедеятельности)
- Педагогика
- Полиграфия
- Психология
- Салық
- Саясаттану
- Сақтандыру
- Сертификаттау, стандарттау
- Социология, Демография
- Спорт
- Статистика
- Тілтану, Филология
- Тарихи тұлғалар
- Тау-кен ісі
- Транспорт
- Туризм
- Физика
- Философия
- Халықаралық қатынастар
- Химия
- Экология, Қоршаған ортаны қорғау
- Экономика
- Экономикалық география
- Электротехника
- Қазақстан тарихы
- Қаржы
- Құрылыс
- Құқық, Криминалистика
- Әдебиет
- Өнер, музыка
- Өнеркәсіп, Өндіріс
Қазақ тілінде жазылған рефераттар, курстық жұмыстар, дипломдық жұмыстар бойынша біздің қор #1 болып табылады.

Ақпарат
Қосымша
Email: info@stud.kz