Нарықтық тепе-теңдік және оның түрлері


Мазмұны
Кіріспе 3
1 Сұраныс пен ұсыныс негіздері 5
1. 1 Сұраныс функциясы және сұраныс қисығының қалыптасуы 5
1. 2 Ұсыныс функциясы және ұсыныс қисығы 7
1. 3 Нарықтық тепе-теңдік 9
2 Мемлекеттің нарықтық тепе-теңдікке әсері 14 2. 1 Тұтынушылар мен өндірушілердің ұтысы 14
2. 2 Мемлекеттік реттеудің нарықтық тепе-теңдікке ықпалы 17
3 Қазақстанның экономикалық тепе-теңдік ерекшеліктері, мәселелері. 20
3. 1 Қазақстанның экономикалық тепе-теңдік жағдайы 20
3. 2 Экономиканы мемлекеттік реттеу жүйесі 21
Қорытынды 23
Қолданылган әдебиеттер тізімі 25
Кіріспе
Бұл қурстық жұмыстың тақырыбы «Нарықтық тепе-теңдік және оның түрлері». Курстық жұмыстың мақсаты нарықтық тепе-теңдік және оның улгілерін зерделеу.
Бүгінгі таңда нарықтық тепе-теңдік микроэкономика саласында елеулі орын алуда. Осы күндері сұраныс пен ұсыныс арасындағы өзгешеліктер өзекті мәселенің біріне айналуда. Сондықтан да осыншама кең ауқымды мәселені түсіну үшін, оның теориялық және практикалық негіздемелерін біліп, түсіну қажет.Жұмыста қойылған негізгі міндеттер:
- Cұраныс пен ұсынысты қарастырып, қисықтарын қалыптастыру
- Тұтынушылар мен өндірушілердің ұтысын қарастыру
- Экономиканы мемлекеттің реттеу жуйесін қарастыру
Бұл еңбек 3 бөлімнен тұрады:
- Сұраныс және ұсыныс негіздері
Бұл бөлімде нарықтық тепе-теңдікке әсер ететін, оны құрайтын және анықтайтын факторлар: ұсыныс пен сұраныс негіздері қарастырылған.
2) Мемлекеттің нарықтық тепе-теңдікке әсері атты бөлімде мемлекеттің нарықтық тепе-теңдікке, жалпы дотация және салық енгізудің түрінде ықпалы көрсетілген.
3) Қазақстанның экономикалық тепе-теңдік ерекшеліктері мен проблемалары атты бөлімінде ҚР экономикалық тепе-теңдік жағдайы және мемлекеттің экономиканы реттеу жуйелері туралы жазылған.
Еңбекті жазу барысында микроэкономика саласының дамуына елеулі үлес қосқан ғалымдардың еңбектері қолданылды. Соның ішінде, Симкина Р. А, Корнейчук, Нуреев, Емцов, Гребенников, сонымен қатар, Хайман, Р. Пиндайк, Д. Рубинфельд, Мұхамедиев, Мамыров.
Нарық (market) жүйедегі тұтынушылар мен өндірушілер арасындағы еркін және бір тауардың бағасы бір мезетте тепе-теңдік жағдайына келе алатын қатынастарды көрсетеді.
Нарық - біріншіден, өндірушілер мен тұтынушылар кездесетін орын. Олардың арасында баға айырбасы болады. Оны келісе отырып қоюға болады. Бұл жағдайда тұлға өз меншігінен бас тартады, ал біреудің меншігін өзіне алады. Екіншіден, нарық меншік құқығын келісе отырып беруді білдіреді. Келісімді жүзеге асыру үшін шығындар ескерілуі қажет. Олар ақпарат іздеумен байланысты, келіссөздер жүргізуге, сатып алынатын тауардың немесе қызметтің сандық және сапалық мінездемесін анықтауға, меншік құқығын қорғауға, келісімді қорытындылауға жұмсалатын шығындар. Сондықтан, нарықты трансакциялардың (transaction-келісім) бірлігі түрінде анықтауға болады.
Қоғамдық индустриалды дамуда нарық жеке тұлғалар мен жеке өндірушілер кездейсоқ кездескен ауданын емес, әлеуметтік механизмді, яғни экономикалық игіліктерді тұтынушылар мен өндірушілер арасында әрдайым бөлу қатынастарын білдіреді.
Сату және сатып алу объектісі тұтыну тауарлары мен ресурстары болып табылады. Соған байланысты тұтыну тауарлары мен қызметтер нарығын және ресурстар нарығын (еңбек, жер, капитал, ақпарат) айырып қарайды. Тауар нарығымен бірге ақша нарығы жүреді. Нарықтағы баға сату, сатып алу процесінде ғана емес, сонымен бірге сол кезеңге дейін де қалыптаса алады. Біз мұндай тауар және қызметтермен жиірек кездесеміз, ал олардың бағалары алдын-ала қойылады. Нарықтағы бағалар өзгешеліксіз және жеке процесте қалыптасуы мүмкін.
Кез келген қоғамда белгілі бір игіліктерді алу үшін қолданылатын ресустар шектелуіне байланысты олардың жетіспеушілігін байқауға болады. Өздерінің қажеттіліктерін қанағаттандыру үшін адамдар таңдауға мәжбүр.
Экономика - шектеулі ресурстарды орынды пайдаланатын ғылым деп айтуға болады. Бір тармағы - микроэкономика . «Микроэкономика» - үй шаруашылығы, фирмалар, салалар сияқты кіші бірліктердің экономикалық іс-әрекеттерін (мінез-құлқын) зерттейді.
1 Сұраныс пен ұсыныс негіздері 1. 1 Сұраныс функциясы және сұраныс қисығының қалыптасуыСұраныс кез келген игілікті тұтынуға ұмтылу, адам үшін табиғи қасиет. Осы қасиет сұраныс теориясының негізін құрайды, алайда сұраныс көлем мен бағасы қажеттілі төлемдік сұраныс мөлшерінде тауарлар немесе қызметтер көрсету түрінде қанағаттандырылады.
Сұраныстың бағалық емес факторлары:
- тұтынушылардың табысы
- рынок сыйымдылығы
- басқа тауарлардың бағасы мен пайдалылығы
- инфляциялық күтімдер
- салыстырмалы бағалардың өзгеруі
Кез келген тауар мен қызметке сұраныс сұраныс функциясы арқылы анықталады. Ал сұраныс функциясы төменде көрсетілген сұраныс заңдылығына сәйкес тұрғызылады:
«Тауар бағасы мен сұраныс көлемі әр уақытта кері байланыста» .
Оны төмендегі сызбадан байқауға болады:
Р
D
0 Q
Сызба 1. 1- Cұраныс қисығы.
Сұраныс қисығы әдетте QD(P) =D(P) функциясы түрінде жазылады. Мұндағы: Р-тауар бағасы, Q-тауар көлемі,
QD - сұраныс көлемі.
Сұраныс заңдылығын жай сөзбен айтсақ, былайша оқылады: «егер тауар бағасы төмендесе, сұраныс көлемі өседі». Сұраныс заңдылығы Гиффен және Веблен тауарлары кезінде өзгереді.
Гиффен тауарлары дегеніміз төмен сапалы тауарлар. Егер мұндай тауардың бағасы көтерілсе, онда тұтынушының басқа қымбат, сапалы тауарға деген сұранысы кемиді.
Веблен тауарлары дегеніміз бағасы өте жоғары тауарлар. Бұл жағдайда баға тауардың негізгі тұтынушылық сапасын көрсетеді. Сондықтан да баға жоғары болған сайын, сұраныс көлеміде жоғары болады.
Сызба 1. 2-те сұраныс қисығы көрсетілген. Ондағы түзу сызық «қалыпты тауар» үшін, пунктирді сызықтар Веблен және сәйкесінше
Гиффен тауарлары үшін сұраныс қисығы.
Р --- Веблен тауарлары (алмаз, бриллиант)
--- Гиффен тауарлары
(күнделікті мұқтажды тауарлар)
0 Q
Cызба 1. 2 - Веблен және сәйкесінше Гиффен тауарлары үшін сұраныс қисығы.
1. 3 сызбада сұраныс көлемінің өсуі (
cұраныс қисығы бойындағы бағытталған кесінді) мен сұраныстың өзгеруі (сұраныс қисығының
жағдайынан
жағдайына ауысуы) арасындағы айырмашылық көрсетілген.
Р
0 Q
Сызба 1. 3 - Сұраныс көлемінің өсуі қисығы
Сұраныс қисығын берілген мысал бойынша тұрғызайық.
Мысал1 . Есептің қойылымы: Бағасы 40 тг болғанда, стадионға 3 әуескер келеді, ал бағасы 90 тг болғанда, келушілердің саны 5000-ға қысқарды. Егер сұраныс қисығы сызықтық функция ретінде өрнектеледі десек, билет бағасы 90тг, 40тг болғандағы сұраныс қисығын тұрғызу керек (Сызба 1. 4) .
Шешімі: Р1=40тг,
=3
Р1=90тг,
=3-5000=25000
Р D
90 (25, 90)
40 (30, 40)
0 25000 3 Q
Сызба1. 4 - Сұраныс көлемінің өсуі және сұраныс қисығының өзгеруі
1. 2 Ұсыныс функциясы және ұсыныс қисығыНарықта бірде-бір тауар бағасына жеке әсер ете алмайтын көп сатушылар бар деп есептеледі.
Ұсыныс - сатушылардың сатқысы келетін және сата алатын тауарлар бағасы мен оның санының арасындағы тәуелділік. Экономистердің пайымдауынша, ұсыныс тауарларды сатып алуға немесе қызмет көрсетуге деген құштарлық. Оны келесі түрде көрсетеміз
, мұнда Р-тауар бағасы, Q-ұсыныс мөлшері,
- ұсыныс функциясы.
Нарықтық ұсыныс көлемі дегеніміз белгілі бір уақыт бірлігінде сатушының берілген тауарды берілген баға бойынша сата алатын және оған тілектес болатын тауардың көлемі. Ұсыныс бағасы - сатушылардың берілген тауардың белгілі көлемін сатуға келіскен минималды бағасы.
Ұсыныс функциясы мына ұсыныс заңына сәйкес тұрғызылады:
«Тауардың бағасы мен сатылатын тауардың көлемі өзара тура пропорционалды болады».
Ұсыныс заңына сәйкес, неғұрлым тауар бағасы жоғары болса, ұсыныс мөлшері соғұрлым көп болады, яғни тәуелділік
оң. Сондықтан ұсыныс функциясының графигі
оң ылдилы болады. (сызба 1. 5 ) . Бұл график S ұсыныс қисығы деп аталады.
Егер баға
-ден
-ге дейін көбейсе, ұсыныс көлемі
-ден
-ге дейін өседі. Бұл өнім бағасының өсуі, өндіріс көлемінің көбеюіне қосымша ынталандыру жасайтынын және пайданы көбейтіп, нарыққа жаңа өндірушілерді тартатындығын түсіндіреді және керісінше, тауар бағасының төмендеуі оның өндірісінің залал шегуіне әкелуі мүмкін. Фирмалар бұл жағдайда өндірістерін қысқарта бастайды немесе мүлде жауып тастайды.
Р
S
0
Q
Сызба 1. 5 - Ұсыныс қисығы.
Ұсыныстың бағалық емес факторлары:
- экономикалық ресурстардың бағалары
- қолданылатын технологиялар
- альтернативті немесе балама тауарлардың бағалары
- сатушылар сан
- акциз салығын енгізу
Акциз салығын енгізгеннен кейінгі ұсыныс қисығының өзгеруін қарастырайық. Бұл ұсыныс функциясында бағаны өндірістік көлемі бойынша жазу тиімдірек:
Р=f(Q d )
Акциз салығын (Т) енгізгеннен кейін оның көлемі барлық өндірушілердің шығындарына қосылады, минималды шығындары
+T дейін өседі. Нәтижесінде жаңа функция төмендегідей беріледі:
P S1 S 2
T
- Q
Сызба 1. 6 - Акциз салығын енгізу нәтижесінде ұсыныс қисығының өзгеруі (ұсыныстың төмендеуі, ұсыныс қисығының жоғары солға жылжуы) .
1. 3 Нарықтық тепе-теңдікНарықтық экономикада, әдетте, сатушылардың, тұтынушылардың сандары шексіз көп деген келісім қабылданған. Осы жағдайда, сатылатын және сатып алынатын тауарлардың көлемі мен бағалары таза бәсекелік тұрғыдан анықталуы сұраныс пен ұсыныстың өзара әрекетінің нәтижесінде шығады.
Тауар бағасының бір мәнінде сұраныс көлемінің ұсыныс көлеміне теңесу жағдайы нарықтық тепе-теңдік деп атайды. Берілген баға тепе-теңдік баға деп, ал сұраныс (ұсыныс) көлемі сәйкесінше тепе-тең көлем деп аталады.
Тепе-тең баға нарық шарттарындағы ұсыныс пен сұранысқа байланысты әртүрлі болады. Дамымаған нарықтық экономикада ұсыныс бағасы сұраныс бағасынан жоғары болуы мүмкін (сызба 1. 7), ал ұсыныс көлемі сұраныс көлеміне сәйкес келмейді. (сызба 1. 8)
P S
D
0 Q
Сызба 1. 7 - Ұсыныс бағасы сұраныс бағасынан жоғары.
P
D S
0
Q
Сызба 1. 8 - Ұсыныс көлемі сұраныс көлемінен жоғары.
Кейбір тауарлардың (сызба 1. 9) D сұраныс қисығы мен S ұсыныс қисығын бір кестеде көрсетейік.
Ол
құны мен
тауар санын анықтайды, яғни тепе-тең баға мен тепе-тең көлемді. Уақыттың бір мерзімінде рынокта тауар құны
-қа тең болады, яғни
-ге қарағанда көп деп алайық.
құнында
сұраныс шамасы
ұсыныс шамасына қарағанда кем болып шығады. Сатушылар тауарларын сатып алушылар алғысы келетін санына қарағанда көп сатқылары келеді. Нарықта тауарлар артықшылығы бола бастайды.
Р артықшылық
D S
тапшылық
0 QE Q
Сызба 1. 9 - «Нарықтық тепе-теңдік»
Тауарларын

бағасында
сұраныс мөлшері
ұсыныс мөлшеріне тең.
Демек, D сұраныс және S ұсыныс қисығының Е нүктесін кесіп өтуі осы тауардың нарықтағы тепе-теңдігін анықтайды. Бұл тепе-теңдік тұрақты. Егер белгілі бір себептермен Р нарықтық бағасы
тепе-теңдік бағасынан ауытқыса, онда сұраныс пен ұсыныстың ара қатынасы не тапшылық, не артықшылық жағдайына әкеледі. Баға рөліне назар аударайық. Олар ақпарат береді, тауарлардың қалай және қандай шығындармен өндірілетінін
тұтынушыларға білу міндетті емес, ал өндірушілер де тауарларды қандай мақсатпен сатып алатындары жөнінде білгісі келмейді. Баға игіліктерімен ресурстардың үйлестіруін анықтайды.
Бірін-бірі ауыстырушы және бірін-бірі толықтырушы тауарлар. Бірін-бірі ауыстырушы тауарлар ретінде шай мен кофені мысалға алуға болады. Егер кофе бағасы өссе, онда шайдың әр бағасында оған сұраныс көлемі өседі, яғни шайға сұраныс артады. D шайға сұраныс қисығы оңға жылжиды.
Р
![]()
![]()
Е
![]()
D
0
![]()
Q
Cызба 2 - Ауыстырушы тауар бағасының өсуі.
Шай бағасы мен сату көлемінің тепе-теңдігі өседі (сызба 2) . Кофе үшін қосымша тауар ретінде қант жүреді. Қант бағасынан көтерілуі оның тұтынуының төмендеуіне әкеледі, демек, кофеге де сұранысты азайтады.
P S
E
E ’
D
D ’
0
![]()
Q
Сызба 2. 1 - Қосымша тауар бағасының көтерілуіне байланысты сұраныстың төмендеуі.
D қисығы солға жылжиды. Тепе-теңдік баға мен сату көлемі азаяды (сызба 2. 1) . Өндіріс шығындарының өсуі энергия тасымалдаушылар бағасының өсуіне байланысты болады. Кейбір кәсіпкерлер үшін өндіру тиімсіз болғандықтан, өндіруді тоқтатады. Тауар ұсынысының төмендеуінен S ұсыныс қисығы солға жылжиды (Сызба 2. 2) .
р
S ’
S
Е ’
Е
![]()
D
0 Qe` Qe Q
Сызба 2. 2 - Өндіріс шығындарының өсуіне әсері.
Тауар бағасының тепе-теңдігі өседі, ал сату көлемі тепе-теңдігі кемиді.
«Өрмекші тор тәрізді» модель.
Нарықтық тепе-теңдік өзгерісінің динамикалық анализі ретінде «өрмекші тор тәрізді» модельді жатқызуға болады. Нарықта өзгерістер күн сайын болып жатыр деп есептейік.
арқылы күндердің тізімдік номерін, ал
,
және
сол
күніне сәйкесті сұраныс көлемін, ұсыныс көлемін және бағаны белгілейік. Мысалға, егер сұраныс көлемі мен ұсыныс көлемі бірдей болмаса, онда баға жаңа сұраныс көлемі ескі ұсыныс көлемімен теңесуіне дейін өзгереді. Яғни:
«Өрмекші тор тәрізді» модель табиғи ауытқулар нәтижесінде болады. Оған мысал ретінде ауыл шаруашылығын айтуға болады. Бұдан басқа нарық коньюктурасы шарттарында экономикалық қорлар мен резервтерді өткізу тапшылығы осы ауытқулардың алғышарты бола алады.
Cызба 2. 3 «Өрмекші тор тәрізді» модельдегі орнықты тепе-теңдік (а) , орнықсыз тепе-теңдік (б) және ол модельде кездесетін күнделікті ауытқулар (в) «Өрмекші тор тәрізді» модельдегі тепе-теңдік сұраныс пен ұсыныс қисықтарының бұрыштарына байланысты. Тепе-теңдік тұрақты деп аталады, егер ұсыныс қисығының бұрышы сұраныс қисығының бұрышына қарағанда үлкен болса (2. 3 а сызбасы) . Жалпы тепе-теңдікке қозғалыс бірнеше циклды өтеді. Ұсыныстың артықшылығы (АВ) бағаны төмендетеді (ВС) және нәтижесінде сұраныс тапшылығы туындайды (СF), ол өз кезегінде бағаны жоғарлатады (FG) . Бұл жаңа ұсыныс тапшылығына (GH) әкеледі және бұл жағдай тепе-теңдік Е нүктесіне дейін болады. Бұл сөнгіш (затухающий) ауытқу мінездемесіне ие болады.
Қозғалыс басқа да бағыт алуы мүмкін. Егер сұраныс қисығының бұрышы ұсыныс қисығының бұрышына қарағанда үлкен болса (Сызба 2. 3 б) . Бұл жағдайда ауытқу жарылысты мінездемесіне ие бола алып, тепе-теңдік жағдай қалыптаспайды.
Басқа да нұсқасы болуы мүмкін (Сызба 2. 3 в) . Яғни, баға тепе-тең қалып жанында ауытқулар қозғалысы әрдайым болып тұрады. Бұл жағдай тек сұраныс және ұсыныс қисығының бұрыштары тең болған жағдайда ғана жүзеге асады.
Р D A B
G H
C
F
S
0 Q
Сызба 2. 3 а)
P
S
Е
D
0 Q
Сызба 2. 3 б)
P S
E
D
0 Q
Сызба 2. 3 в)
2. Мемлекеттің нарықтық тепетендікке әсері 2. 1 Тұтынушылар мен өндірушілердің ұтысыD нарықтық сұранысының қисығы барлық тұтынушылардың қалауы мен мүмкіндіктерін анықтайды. Сатып алушылардың бір бөлігі аталған бағамен тауардың белгілі санын алуға келіседі, басқалары аталған бағамен тауардың одан аз санын алуға мүмкіншіліктері бар немесе мүлдем алмайды.
Негізінде, тұтынушылар тауарға төлеуге келісіп тұрған максималды бағаға сатып алмайды, керісінше, рынокта белгіленген
тепе-теңдік бағасына алады. Демек, олар ұтыста. Барлық тұтынушылардың жалпы ұтысы неге тең?
[
] интервалын өзара тең кесінділерге
нүктелермен бөліп тастайық. Тұтынушылардың бір бөлігі
тауар бірлігін кем дегенде
бағаға сатып алуға келіседі, бірақ шындығында олар
бағасымен алатын болады.
Демек, олардың ұтысы
, яғни 0
негіздемесі бар және 2. 4 сызбадағы
биіктігі сол жақтағы бірінші тік бұрыштың ауданына тең.
Р
![]()
![]()
![]()
![]()
0
![]()
![]()
![]()
Q
Сызба 2. 4 - «Тұтынушылар ұтысы»
Осыған ұқсас,
бағасымен
тауар бірліктері қосымша алынатын болады, ал тұтынушылар қосымша ұтысы
болады. Бұл - сол жақтағы екінші тік бұрыштың ауданы.
Бұл пайымдаманы қайталасақ барлық тұтынушылардың жалпы ұтысы мына қосындыға
жуықтау, яғни жоғарыдан D қисық сұрасына және төменнен
деңгейлес тіке сызық пен шектелген сатылы фигура алаңына тең екендігін көреміз. Егер біз [
] интервал бөлінуін майдаласақ, онда 2. 4 сызбадағы сатылы фигуралардың жоғары шекарасы сұраныс қисығына жақындай береді.
Шекке ұмтылғанда жоғарыдан D сұраныс қисығымен төменнен
біркелкі баға деңгейлік түзу шамасымен шектелген тұтынушылардың жалпы ұтысы қисық сызықты үшбұрыш ауданына тең деп қорытындылай аламыз.
Енді өндірушілердің ұтысын анықтайық. Ұсыныс қисығы өндірушілердің сатуға келісетін белгілі тауар мөлшерінің ең төменгі бағасын көрсетіп тұр. Өндірушілердің бір бөлігі аз мөлшерде ғана сатады, ал кейбіреулері өндірісті мүлде тоқтатады. Бірақ, бәсекелік нарықта өндірушілер аз тауарларын біркелкі бағамен сатып жатады.
айырмашылығы тауар бірлігін сатудан тапқан өндірушілердің ұтысын анықтайды.
p
S
А
В
D
0 Qe Q
Сызба 2. 5 - Тұтынушылар мен өндірушілер ұтыстары.
Тұтынушылар үшін орындалған сияқты, ұқсас пайымдама жасауға болады. Онда біз төменнен S ұсыныс қисығымен, жоғарыдан
біркелкі баға деңгейіндегі горизонталды түзу сызықпен шектелген барлық өндірушілердің жиынтықты ұтысы тік сызықты тік үшбұрыш ауданына тең екендігін көреміз.
2. 5 сызбадағы А ауданы - тұтынушылар ұтысы, В ауданы - өндірушілер ұтысы, А+В ауданы - қоғам ұтысы.
Мемлекет белгілі бір шектеулерді енгізе отырып нарық тетіктерінің әрекетіне араласа алады. Егер ол одан жоғары тауар бағасын қоюға болмайтын
деңгейін, бағаның жоғары шегін белгілесе, онда не болады?
Біз көргендей,
бағасында
біркелкі бағасына дейін құнды көтеру талпынысы бар, бірақ оны
деңгейінен жоғары көтеруге тыйым салынған. Сондықтан нарықта тауар
бағамен сатылатын болады.
ұсыныс мөлшеріне қарағанда,
сұраныс мөлшері жоғары болып келеді, бұл тапшылыққа апарады. Тауар тапшылығы тұтынушылардың теңсіздігіне әкеледі. Тұтынушылардың бір бөлігі тауарды
бағасымен ала алады. Қалғандары
-дан гөрі артық баға төлеуге келісуге мәжбүр болады. «Бейресми базар» пайда болады.
Қоғамның ұтысы қысқарады:
бұл жағдайда өндірушілер
болғандықтан ұтылыста қалады.
P
S
D
тапшылық
0
Q
Сызба 2. 6 - Бағаның жоғары деңгейі
Мемлекет бағаның төменгі деңгейін де енгізе алады, мәселен еңбек нарығында (Сызба 2. 7)
Р
артықшылық
S
D
0
Q
Cызба 2. 7 - Бағаның төменгі деңгейі
Жұмысқа тұрғандар ұтымды жағдайда болады. Жұмыссыздық артады. Қоғамдық ұтыс төмендейді:
. Анығы,
болғандықтан тұтынушылар ұтылыста болады.
Нақты экономика жағдайында таза нарықтықтепе-теңдік қалыптаса бермейді. Себебі, нақты экономика - аралас
экономика, яғни экономикалық қарым қатынастар тек қана нарықтық заңдылықтарға ғана емес, сонымен қатар мемлекеттік реттеу құралдарымен жүзеге асады.
Мемлекеттік реттеулер тепе-теңдік жағдайына 2 экономикалық құралдардың көмегімен ықпал жасай алады:
- салық (акциз)
- дотация (мемлекеттік көмек)
Оны төмендегі суреттен байқауға болады:
P
T
D
0
Q
Сызба 2. 8 - Мемлекеттің өнім бірлігіне салық енгізгеннен кейінгі тепе-теңдіктің өзгеруі
Мұндағы: Т-салық,
Т
,
яғни
Р, Q
, мұндағы:
- сатып алушының ұтымы
- сатушы ұтымы
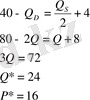
Мысал 2.
Берілгені:
Сұраныс қисығы -
Ұсыныс қисығы -
Сатушыға салық, яғни Т=9
Табу керек:
Салық енгізбей тұрған кездегі тепе-тең көлем мен бағаны және салық енгізгеннен кейінгі жаңа тепе-тең көлем мен бағаны.
Шешімі:
Сұраныс пен ұсыныс фукцияларын баға арқылы өрнектейміз, сонда
және
Тепе-тең баға мен тепе -тең көлемді табу үшін сұраныс пен ұсыныс функцияларын теңестіреміз:
салық енгізбей тұрғандағы тепе-тең көлем мен баға
Баға арқылы берілген ұсыныс функциясына салықты қосамыз. Сонда:
Салық енгізгеннен кейінгі тепе-тең баға мен көлем
сатушыға түседі.
өндірушіге түседі.
P D
22 Е
2
(18; 22)
16 Е 1 (24; 16)
0 18 24 Q
Сонымен, сұранысты бейнелейтін сатып алушының мүддесі мен ұсыныстың еншісі болатын сатушының мүддесі нарықта өзара қақтығысады. Сатып алушылар тауар алуға беретін ең жоғарғы бағасын ұсынса, сатушылар тауар бірлігіне сұрайтын ең төменгі бағасын атайды.
Еркін бәсеке жағдайында әрбір тауар алмасу сатушы мен сатып алушының өз еріктерімен бағаға келісу нәтижесінде сатылады. Нарықтық шарттардың өзгеруі сұраныс пен ұсыныс тербелісін ұсынады. Сұраныс пен ұсыныс тербелісінің механизмі нарықтық қатынастар негізінде экономиканың дамуын қамтамасыз етеді. Нарықтық тербеліс пен нарыққа мемлекеттің араласуы нәтижесінде экономика бір тепе-теңдік жағдайынан екінші тепе-теңдік жағдайына ауысып отырады.
... жалғасы- Іс жүргізу
- Автоматтандыру, Техника
- Алғашқы әскери дайындық
- Астрономия
- Ауыл шаруашылығы
- Банк ісі
- Бизнесті бағалау
- Биология
- Бухгалтерлік іс
- Валеология
- Ветеринария
- География
- Геология, Геофизика, Геодезия
- Дін
- Ет, сүт, шарап өнімдері
- Жалпы тарих
- Жер кадастрі, Жылжымайтын мүлік
- Журналистика
- Информатика
- Кеден ісі
- Маркетинг
- Математика, Геометрия
- Медицина
- Мемлекеттік басқару
- Менеджмент
- Мұнай, Газ
- Мұрағат ісі
- Мәдениеттану
- ОБЖ (Основы безопасности жизнедеятельности)
- Педагогика
- Полиграфия
- Психология
- Салық
- Саясаттану
- Сақтандыру
- Сертификаттау, стандарттау
- Социология, Демография
- Спорт
- Статистика
- Тілтану, Филология
- Тарихи тұлғалар
- Тау-кен ісі
- Транспорт
- Туризм
- Физика
- Философия
- Халықаралық қатынастар
- Химия
- Экология, Қоршаған ортаны қорғау
- Экономика
- Экономикалық география
- Электротехника
- Қазақстан тарихы
- Қаржы
- Құрылыс
- Құқық, Криминалистика
- Әдебиет
- Өнер, музыка
- Өнеркәсіп, Өндіріс
Қазақ тілінде жазылған рефераттар, курстық жұмыстар, дипломдық жұмыстар бойынша біздің қор #1 болып табылады.

Ақпарат
Қосымша
Email: info@stud.kz