Физика курсы бойынша қиындығы жоғары 100 есеп (есептер шешулерімен)


Сыдықова Бәтес Қабидолдақызы
Физика курсы бойынша
қиындығы жоғары 100 есеп
(есептер шешулерімен)
Талдықорған қаласы 2012
Алғы сөз
Кітапта қиындығы жоғары есептердің шарттары мен шығару жолдары көрсетілген. Сонымен қатар физика курсы бойынша қысқаша түсінік беріліп отыр. Физикалық есептерді шешу үшін заңдар мен формулаларды жаттап қана фою жеткіліксіз. Кез келген физикалық есепті шешуді қамтамасыз ететін мықты математикалық білім қажет, сонымен қатар ойлау және талдай алу қабілеті болуы керек. Ондай жетістікке жету үшін жеткілікті көп мөлшерде есептерді жүйелі шығару, өз бетімен жұмыс жасауы қажет. Есептердің шешуі өте үлкен есептеулерді қажет етпейді.
Бұл көмекші оқу құралы қазіргі оқу бағдарламасына сәйкес келетіндей етіп құрастырылған.
Физикадан есептің толық шығарылуын құрайтын тізімі:
- Берілгендері толық алынған есептің қысқаша шартын жазу және берілген шамаларды ХБЖ-не келтіру;
- Есептің шартын талдау және есеп шығару алгоритмін құру;
- Берілгендер есептегі белгісіз шама көрсетілген қажетті суреттер; жаңа айнымалыларды сөзбен енгізу;
- Математикалық өрнектерді толық көлемде түрлендіру;
- Жауабын жалпы түрде формула арқылы беру (есепті шығару үшін аралық квадраттық теңдеуді шешу қажеттігін ескермегенде) ;
- Алынған жауаптың талдауы, оның шартын формулалау;
- Алынған жауаптың өлшем бірліктерін тексеру;
- Ізделінді шаманы нәтижені дөңгелектеу арқылы есептеу;
- Жауабының алынған сандық мәнін сараптау.
Қолданылатын белгілеулер
t - уақыт;
r - радиус-вектор;
x; y; z декарттық координаттар жүйесіндегі нүктелердің координаталары;
ν - жылдамдық;
а - үдеу;
g - еркін түсу үдеуі;
m - масса;
F; T; Q, … - күштер;
р - импульс;
М - күш моменті;
∆ - физикалық шаманың өсуі ( шаманың өзгерісі) ;
k - серпімді деформациялар кезіндегі серіппенің қатаңдығы;
μ - үйкеліс коэффициенті;
α, β, . . . - жазық бұрыштар;
А - механикалық жұмыс;
Е к - кинетикалық энергия;
Е п - потенциалдық энергия;
Е - толық механикалық энергия;
N - механикалық қуат; ядродағы нейтрондар саны; молекулалар саны;
G - гравитациялық тұрақты, G= 6, 67*10 -11 Н*м 2 /кг 2 ;
R - қисықтық радиусы; электрлік кедергі;
R ж - Жер радиусы;
М ж - Жер массасы;
р - қысым;
ρ - көлемдік тығыздық; меншікті кедергі;
σ - беттік керілу коэффициенті;
q - электр заряды;
е - элементар электр заряды, е=1, 6*10 -19 Кл;
Е- электр өрісінің кернеулігі;
φ - потенциал; тербеліс фазасы;
U - кернеудің түсуі;
ε - диэлектрлік өтімділік;
I - ток күші; толқын ағынының интенсивтілігі;
J - токтың тығыздығы;
ε - электр қозғаушы күш (ЭҚК) ;
В - магнит индукциясы;
Ф - магнит ағыны;
С - электр сыйымдылығы;
ε 0 - электрлік тұрақты, ε 0 =8, 85*10 -12 Кл 2 /(Н*м 2 ) ;
μ 0 - магниттік тұрақты, μ 0 =1, 26*10 -6 Н/А 2 ;
А - тербеліс амплитудасы; массалық сан (ядро үшін) ;
ω - бұрыштық жылдамдық (циклдік жиілік) ;
ν - тербеліс жиілігі;
Т - тербеліс периоды;
λ - толқын ұзындығы;
L - индуктивтілік;
d, f - линзадан нәрсеге және кескінге дейінгі қашықтықтар;
F - фокустық қашықтық;
D - оптикалық күш;
h - Планк тұрақтысы, h=6, 63*10 -34 Дж*с.
* Векторлық шамалар боялған әріптермен берілген: r; ν ; а; g ; F; T; Q және т. б.
Механика
Негізгі формулалар
Бірқалыпты қозғалыстың теңдеулері
Бірқалыпты үдемелі қозғалыстың теңдеулері
Бүкіл әлемдік тартылыс заңы
;
Гук заңы
.
Ілгерілемелі қозғалыс динамикасының негізгі теңдеуі:
Механика
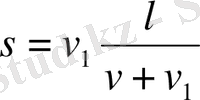
1 . Турист барлық уақытының алғашқы үштен бірін орманмен оңтүстікке қарай υ 1 =3км/сағ жылдамдықпен жүріп, одан кейін барлық жолдың үштен бірін даламен шығысқа қарай υ 2 жылдамдықпен жүрді және, ақырында, қиылыспен (төте жолмен) қысқа жолмен шыққан нүктесіне қайтып оралды. Туристің орташа (жолдық) υ орт жылдамдығын есептеңдер. υ 2 жылдамдықтың мүмкін болатын минимал мәнін көрсетіңдер.
Берілгені: Шешуі:
υ 1 =3км/сағ
υ орт -? . υ 2 -?
Белгілеулер енгіземіз:
а
-туристің орманмен жүріп өткен жолы,
в
- даламен жүрген жолы ( суретте көрсетілген) . Сонда Пифагор теоремасы бойынша турист қиылыспен (төте жолмен)
қашықтықты жүріп өтеді. Есептің шарты бойынша туристің жүрген толық жолы,
, осыдан
. Сонда
.
Туристің орманмен жүруге кеткен уақыты,
. Қозғалыстың толық уақыты
арқылы белгілейік. Есептің шарты бойынша
.
Сонда туристің орташа (жолдық) жылдамдығы
Осы кезде туристің даламен жүруге кеткен уақыты,
.
болғандықтан,
.
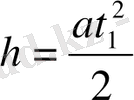
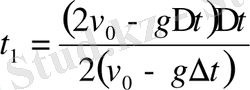
2. h=44м биіктіктен тасты түсіріп алады. Екінші тасты дәл осы нүктеден вертикаль төһмен бағытталған υ 0 =15м/с бастапқы жылдамдықпен Δt уақыт аралығы өткен соң тастады. Егер: а) Δt=1с; б) Δt=1, 2с болса, жерге құлау мезетінде екінші тас біріншіні қуып жетіп үлгере ме?
Берілгені: Шешуі:
h=44м Екі дене үшін қозғалыс теңдеуін жазамыз
υ
0
=15м/с
;
а) Δt=1с Мұндағы
б) Δt=1, 2с Соққы кезінде екі тастың координатасы бірдей болады:
Т/к: h 1 - ? Оң жақтарын теңестіреміз:
:
;
;
;
Бұл уақыт бірінші тастың толық қозғалыс уақытынан аз(немесе тең) болуы керек:
а)
;
, яғни соқтығысады;
Осы жағдайда Жер бетінен соқтығысу нүктесінің биіктігі:
б)
кезінде
, яғни 3с-тан үлкен. Осы кезде тастардың еркін түсуі кезінде соқтығысу болмайды.
3. Массасы 10кг жүк жоғары қозғалған лифт кабинасындағы серіппелі таразыда ілулі тұр. Лифт ұзындығы 6м жолдың екі аралас кесіндісін тұрақты үдеумен жүріп өтеді, бірінші кесіндіні 4с ішінде, ал екіншіні - 2с ішінде жүріп өтеді. Таразылардың көрсетуін анықтаңдар және оларды жүкке әсер ететін ауырлық күшімен салыстырыңдар.
Берілгені: Шешуі:
m = 10кг Салмақ
серіппелі таразыға түсірілген және вертикаль
s = 6м төмен бағытталған. Ньютонның ІІІ- заңына сәйкес серіппе
t 1 = 4с тарапынан жүкке әрекет ететін күш модулі бойынша салмаққа
t
2
= 2с тең, бірақ жоғары бағытталған
.
Денеге
күштен басқа Жер тарапынан ауырлық күші әрекет
Т/к: N - ? етеді. Ньютонның ІІ-заңы бойынша:
F
а
- ?
;
Вертикаль жоғары бағытталған осьтегі проекциясы
;
Үдеу белгілі болса, онда күшті анықтауға болады. Екі бірдей аралас бөліктері үшін жолдың теңдеулері:
Осыдан
Оң жақтарын теңестіреміз:
;
;
;
;
;
Жауабы:
;
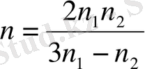
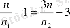
4. Адам эскалатормен жүгіріп келеді. Ол алғашқыда n 1 =50 баспалдақ санады, екінші рет, сол бағытта үш есе үлкен жылдамдықпен қозғала отырып n 2 =75 баспалдақ санады. Қозғалмайтын эскалаторда ол қанша баспалдақ санар еді?
Берілгені: Шешуі:
n
1
=50
эскалатордың жылдамдығы;
оның ұзындығы;
n
2
=75
қозғалмайтын эскалатордағы баспалдақ саны.
v
2
= 3v
1
Эскалатор ұзындығы бірлігіне келетін саны -
. Сондықтан,
егер адам эскалаторға қатысты
жылдамдықпен жүрсе, онда
n-? оның эскалатордағы уақыты
Эскалатормен жүрген жолы
. Осы кезде адам
баспалдақ санайды. Сәйкесінше, екінші жағдайда ол
баспалдақ санайды, немесе
Осылайша теңдеулер жүйесін аламыз:
немесе
Осыдан,
;
;
;
;
;
;
;
.
Жауабы: 100 баспалдақ.
5. Айналмалы дискіде, вертикальға α бұрышпен орнатылған аспа бекітілген. Ілу нүктесінен айналу осіне дейінгі r қашықтық және аспадағы жіптің L ұзындығы берілген. ω бұрыштық айналу жылдамдығын анықтаңдар.
![]()
Шешуі:
Аспа, mg ауырлық күші мен жіптің T керілу күшінің теңәрекеттісі центрге тартқыш күшті береді: . күшті үшбұрыштан қарсы жатқан катеттің іргелес жатқан катетке қатынасы арқылы тауып аламыз. суретте көрініп тұрғандай үлкен үшбұрыштан . осылайша,
,
6. Кішкене білеушені горизонтпен α=60 0 бұрыш жасай орналасқан көлбеу жазықтықпен жоғары қарай жібереді. Үйкеліс коэффициенті 0, 8. Білеушенің жоғары қарай t 1 көтерілу уақытының оның бастапқы нүктеге дейін t 2 сырғанау уақытына қатынасын анықтаңдар.
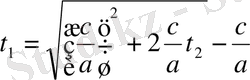
Шешуі:
- білеушенің жоғары көтерілгендегі үдеуін, ал а 2 - төмен түскендегі үдеуі.
Білеушенің көтерілу кезіндегі жылдамдығы: . Сондықтан көтерілу уақыты шартынан табылады, яғни . Осы кезде білеушенің осы уақытта жүріп өткен жолы . Білеуше түскен кезде бастапқы жылдамдықсыз қозғала бастайды, сондықтан оның бастапқы нүктеге дейінгі түсуін оның қозғалыс теңдеуінен шығады: . Осыдан . білеушенің жоғары және төмен қозғалысы үшін үдеудің шамасын Ньютонның екінші заңынан оңай табуға болады. Екінші заңның теңдеуін х осінде проекциялап, табамыз: жоғары қозғалған кезде: . Төмен қарай қозғалған кезде . Нәтижесінде
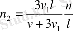
7. Автомобиль еңіс (склон) жолмен жоғары қарай 6 м/с жылдамдықпен қозғалады және дәл сол жолмен 9 м/с жылдамдықпен түседі. Осы жолдың горизонталь бөлігімен осы автомобиль қандай жылдамдықпен қозғалар еді? Двигательдің қуаты барлық уақытта өзгеріссіз қалады. Ауа кедергісін ескермеуге болады.
Шешуі:
Жолдың аз бұрыштық көлбеулігінде үйкеліс күші , яғни горизонталь жолдағы сияқты. Көтерілгендегі тарту күші , ал түскен кезде , ал жолдың горизонталь бөлігінде тарту күші үйкеліс күшіне тең. Двигательдің қуаты . Осыдан және осылайша . жауабы 7, 2 м/с
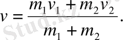
- Массалары m1және m2екі теміржол вагоны бір жаққа қарай υ1және υ2жылдамдықтармен баяу қозғалып барады. Вагондар соқтығысады, және буферлерінің серіппесі оларды тартатыны соншалық, соққыны серпімді деп есептеуге болады. Серіппелердің серпімді деформациясының максимал энергиясы қандай?
Шешуі:
серіппелерді ең үлкен сығу кезінде екі вагонның да жылдамдықтары бірдей υ, және оны импульстің сақталу заңынан шығарып алуға болады:
Энергияның сақталу заңына сәйкес : , осыдан
№8
Автомобиль жолдың жартысын 60км/сағ жылдамдықпен, жолдың қалған бөлігінде ол уақыттың жартысын 15 км/сағ жылдамдықпен, ал қалған бөлікте 45 км/сағ жылдамдықпен қозғалды. Барлық жолдағы автомобильдің орташа жылдамдығын табыңдар. Автомобильдің жүріп өткен жолының уақытқа тәуелділік графигін тұрғызыңдар.
Шешуі: Анықтамаға сәйкес, автомобильдің толық жүрген жолының толық уақытқа қатынасымен анықталады.
![]()
Есептің шартына сәйкес, бірінші және екінші жартысы үшін алынатын қатынас,
![]()
Мұндағы,
және
автомобильдің жолдың бірінші және екінші жартысын жүріп өтетін уақыттары. Бұдан,
екені белгілі. Осыдан:
![]()
Автомобильдің жүрген жолының уақытқа тәуелділік графигі 1 суретте көрсетілген.
![]()
- сурет.
9. Жол қиылысына жүк машинасы 10 м/с жылдамдықпен және жеңіл машина 20 м/с жылдамдықпен жақындап келеді (2 сурет) . Жеңіл машинаның жүк машинасына қатысты жылдамдық модулі мен бағытын анықтаңдар.
Шешуі:
жеңіл машинаның жүк машинасына қатысты жылдамдығы
жеңіл машинаның жылдамдығынан
жүк машинасының жылдамдығын жолға қатысты азайтқанға тең:
![]()
векторының тұрғызылуы 2 суретте көрсетілген, одан анық көрінетіні:
![]()
![]()
- сурет.
10. Екінші денені Жерден вертикаль жоғары бірінші дененің соңынан
соң тура сондай, яғни бірінші дененікіндей
жылдамдықпен лақтырады. Екінші денені тастағаннан кейін қанша
уақыттан соң және қандай
биіктікте денелер соқтығысады?
Шешуі:
Төменнен жоғары бағытталған
вертикаль осьті оң деп таңдап ( 0 басы екі дене үшін де лақтыру нүктесі), (1) және (2), яғни бірінші және екінші денелердің ординаталарының уақытқа тәуелді өзгеріс заңдардын жазамыз:
![]()
Мұндағы,
екінші денені лақтыру мезетінде оны ауада табу уақыты (
мезетте бірінші
дененің ұшуы
болады) .
Соқтығысу мезетінде
екі дененің де ординаталары бірдей:
немесе,
осыдан,
Денелердің соқтығысу биіктігі,
11. Катер
өзенді қиып өтеді, өзеннің ағыс жылдамдығы 2 м/с. Катердің жүргізушісі ағысқа перпендикуляр курсты ұстап отырады. Двигатель 0, 1 м/с 2 тұрақты үдеуді қамтамасыз етіп тұрады, катердің суға қатысты бастапқы жылдамдығы нөлге тең. Катер өзенді қанша уақыттан кейін қиып өтеді? Ол ағыспен қаншаға ығысып кетеді? Катер қарама-қарсы жағаға қандай жылдамдықпен жетеді және қандай бұрышпен?
Шешуі:
Катер жағаларға қатысты мынандай жылдамдықпен орын ауыстырады:
![]()
3 суретте көрсетілген таңдап алынған координат осьтерінің проекцияларында
катердің қозғалыс заңдары:
3 сурет.
Есептің шартынан
катердің өзенді қиып өтетін уақытын табамыз:
және ағыстың ығыстырымы:
Жағаға жақындай бастаған кездегі жылдамдығы,
Жылдамдық пен жағаның арасындағы бұрыш,
12. Массасы 0, 1 кг дене үйкеліссіз радиусы
цилиндрлік бетке өтетін көлбеу жазықтықтың бойымен сырғанайды. Дене
биіктіктен сырғанағанда, А және В нүктелеріндегі жағдайлар үшін дененің бетке түсіретін
және
қысым күштерін анықтаңдар (4 сурет) .
Шешуі:
![]()
4 сурет.
Дененің А және В нүктелерінде орналасқан жағдайларындағы уақыт мезеті үшін
Ньютонның екінші заңы бойынша теңдеу:
Мұндағы
және
денеге әер ететін цилиндрлік беттің нормаль реакция
күштері. А және В нүктелеріндегі дененің кинетикалық энергиялары:
Осыдан жылдамдық квадраттарын табамыз:
Осы өрнектерді (1) және (2) теңдеулерге қойып, алатынымыз:
Ньютонның үшінші заңы бойынша,
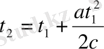
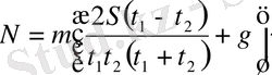
13. Тік ұшақ аэродромнан вертикаль бойымен 3 м/с 2 үдеумен ұшып шығады және бастапқы жылдамдығы нөлге тең. t 1 қандай да бір уақыт мезетінде ұшқыш двигателін өшіреді. Дыбыс жерде ұшу орнында t 2 =30с -тан соң естілді.
Двигатель жұмысын тоқтатқан мезеттегі тік ұшақтың жылдамдығын анықтаңдар. Дыбыстың жылдамдығын 320 м/с деп есептеңдер.
Шешуі :
Ұшқыш двигателін сөндірген кезде, тікұшақ
биіктікте тұрған. Дыбыстың жерден естілмейтіндей уақыты:
.
Алынған квадрат теңдеуді шешіп, анықтаймыз:
.
Двигательдің жұмысы тоқтаған мезеттегі тікұшақтың жылдамдығы:
.
4. Зымыранның моделі Жер бетінен ұшып шықты және вертикаль жоғары 10 м/с 2 үдеумен қозғалды. Егер ол 50 м/с жылдамдықпен ұшу орнына жақын маңда құласа, онда зымыранның двигателі қанша уақыт жұмыс істеген? ( Ауа кедергісін ескермеңдер. Еркін түсу үдеуін 10 м/с 2 деп есептеңдер. )
Жұмыс істеп тұрған двигательмен зымыранның ұшып өткен жолы,
- двигательдің жұмыс істеу уақыты. Жолдың осы кесіндісінің соңында зымыранның жылдамдығы
. Осыдан кейін зымыран үдеумен бірқалыпты баяу вертикаль төмен қозғалып кетеді. Келесі уақытта оның жылдамдығы нөлге дейін азаяды:
![]()
Траекторияның жоғарғы нүктесінен зымыран төмен қарай еркін құлайды, және
жолда оның жылдамдығы 50м/с тең болады. Сонда
![]()
15. Тік бұрышты үшбұрыштың төбесіне бекітілген блок арқылы асыра тасталған жіптің ұштарына массалары 2 кг және 1 кг жүктер байланған. Көлбеулік бұрышы 20 0 . Ауыр жүк көлбеу бетінде орналасқан. Осы жүк пен көлбеу жазықтықтың арасындағы үйкеліс коэффициенті 0, 1 тең. Жүктерді бастапқы жылдамдықсыз төмен түсіреді. А) жүктер жүйесінің үдеуін және жіптің керілу күшін табыңдар. В) егер үйкеліс коэффициенті 0, 3 болса, жауап қалай өзгерер еді?
![]()
16. Массалары m 1 және m 2 екі теміржол вагоны бір жаққа v 1 және v 2 жылдамдықтармен ақырын қозғалып барады. Вагондар соқтығысады, және буферлерінің серіппесі оларды шайқалтқаннан соққыны серпімді деп санауға болады. Серіппенің серпімді деформациясының максимал энергиясы неге тең болады?
Серіппенің ең үлкен сығылуы кезінде екі вагон да бірдей жылдамдыққа ие болады, оны импульстің сақталу заңынан табуға болады:
Энергияның сақталу заңына сәйкес:
![]()
17. Горизонталь жазықтықта тыныш жатқан массасы m денеге беттің бойымен бағытталған F тұрақты күш әсер ете бастайды. Күштің әсер ету уақыты t. Жазық бетпен дененің үйкеліс коэффициенті μ-ге тең. Қозғалыс уақыты ішінде дене қандай жолды жүріп өтеді?
Белгілеу енгіземіз:
-ізделінді жол,
- күш әсер еткеннен кейінгі жүрілген жол,
- оталу(разгон) алғаннан кейінгі жылдамдығы,
- оталу кезіндегі үдеуі. Кинематика теңдеулерінен:
![]()
Ньютонның екінші заңы бойынша
![]()
Кинетикалық энергия үйкеліс күштерге қарсы жұмыс істеуге шығындалады:
- Іс жүргізу
- Автоматтандыру, Техника
- Алғашқы әскери дайындық
- Астрономия
- Ауыл шаруашылығы
- Банк ісі
- Бизнесті бағалау
- Биология
- Бухгалтерлік іс
- Валеология
- Ветеринария
- География
- Геология, Геофизика, Геодезия
- Дін
- Ет, сүт, шарап өнімдері
- Жалпы тарих
- Жер кадастрі, Жылжымайтын мүлік
- Журналистика
- Информатика
- Кеден ісі
- Маркетинг
- Математика, Геометрия
- Медицина
- Мемлекеттік басқару
- Менеджмент
- Мұнай, Газ
- Мұрағат ісі
- Мәдениеттану
- ОБЖ (Основы безопасности жизнедеятельности)
- Педагогика
- Полиграфия
- Психология
- Салық
- Саясаттану
- Сақтандыру
- Сертификаттау, стандарттау
- Социология, Демография
- Спорт
- Статистика
- Тілтану, Филология
- Тарихи тұлғалар
- Тау-кен ісі
- Транспорт
- Туризм
- Физика
- Философия
- Халықаралық қатынастар
- Химия
- Экология, Қоршаған ортаны қорғау
- Экономика
- Экономикалық география
- Электротехника
- Қазақстан тарихы
- Қаржы
- Құрылыс
- Құқық, Криминалистика
- Әдебиет
- Өнер, музыка
- Өнеркәсіп, Өндіріс
Қазақ тілінде жазылған рефераттар, курстық жұмыстар, дипломдық жұмыстар бойынша біздің қор #1 болып табылады.

Ақпарат
Қосымша
Email: info@stud.kz