Элементар функция


Жоспар
Кіріспе . . . 3
I бөлім. Қарапайым тригонометриялық теңдеулер . . . 5
1. 1 Тригонометриялық теңдеулер . . . 5
1. 2 Жіктеу арқылы шешілетін тригонометриялық теңдеулердің графигі . . . 6
1. 3 Теңбе-тең түрлендірулер арқылы қарапайым түрге келтірілетін тригонометриялық теңдеулер . . . 13
II бөлім. Элементар тригонометриялық функциялар және олардың графиктері . . . 17
2. 1 Кері тригонометриялық функцияға тәуелді теңдеулер . . . 17
2. 2 Тригонометриялық теңдеулердің функциялары . . . 19
2. 3 Тригонометриялық функцияларды интегралдау . . . 26
Қорытынды . . . 32
Пайдаланылған әдебиеттер тізімі . . . 34
Кіріспе
Бүгінгі заман талабына сай мұғалім педагогикалық технологияларды жете меңгерген, жаңа қалыпты педагог талаптарына сай құзіретті тұлға болуы тиіс. Елімізді жедел индустриялық-инновациялық дамыту барысында жаратылыстану-математикалық бағыттағы пәндердің, соның ішінде математика пәні аса үлкен маңызға ие болуын мен математик ретінде жақсы түсінемін. Өйткені қазіргі заманғы ғылымдар математикалық әдістерді қолданады және математика заңдылықтары бойынша дамиды.
Тригонометрия элементтерін адамзат ежелгі замандардан бастап, бұрыштарды өлшеу мұқтаждықтары барысында қолдана бастаған. Тригонометриялық функциялардың қазіргі атаулары ХVI-XVIII ғасырларда пайда болған. Синус сөзі латын тілінен аударғанда «дөңестік деген мағынаны білдіреді, ал косинустағы «ко» қосымшасы латынның complementom-толықтауыш деген мағынаны білдіреді. Осы күнгі қолданылып жүрген sinx және cosx белгілеулері 1739 жылы И. Бернуллидің Л. Эйлерге жазған хатында алғаш рет ұсынылған. Бұл белгілеулерді қазіргі кезеңде кеңінен қолдана бастады.
Қарапайым тригонометриялық теңдеулерді қарастырған кезде олардың түрлері бойынша бөлсе қалай болады және бірнеше шешу жолдары болуы мүмкін бе?- деген сұрақтар туындады.
Курстық жұмысты жазу барысында төмендегідей мақсатты алға қойдым:
- тригонометриялық теңдеулердің түрлерін зерттеп, бірнеше тәсілдерін қарастыру.
Аталған мақсатқа жету үшін төмендегідей міндеттерді алға қойдым:
- тригонометриялық теңдеулердің түрлері туралы материалдар жинақтау, классификациялау;
- түріндегі теңдеуді қарастыру;
- кері тригонометриялық теңдеулерді қарастыру;
- теңдеулер жүйесін қарастыру;
- тригонометриялық теңдеулер түріне сипаттама беру;
- күрделі тригонометриялық теңдеулерді шешуді жинақтау;
- тригонометриялық теңдеулерді түрлері бойынша бөлу;
- тригонометриялық теңдеулері бар есептер жинағын құрастыру.
Курстық орындау барысында математикалық есептеу жұмыстары мен модельдеу, талдау әдісі тәрізді жалпы ғылыми әдістер қолданылды. Бұл әдістердің сипаттамалары ІІ бөлімде баяндалады.
Курстық жұмыстың құрылымы кіріспеден, екі бөлімнен, қорытындыдан және пайдаланылған әдебиеттер тізімінен тұрады.
І бөлім. Қарапайым тригонометриялық теңдеулер
1. 1 Тригонометриялық теңдеулер
Екі тригонометриялық функцияның теңдігін қанағаттандыратын аргументтің мәндерін іздеу тригонометриялық теңдеулерді шешуге келтіріледі. Мұндай теңдеулер тек нақты сандар жиынында ғана қарастырылады.
Мысалы,
теңдеуінің түбірі жоқ, ал
десек,
.
Тригонометриялық теңдеулерді түрлендіріп
-түріне келтіреді. Бұлардың шешімдері төмендегідей болады:
- егерболса, ;
- егерболса, ;
- егеркез келген сан болса, ;
- егеркез келген сан болса, .
Тригонометриялық теңдеулер көбінесе негізгі алгебралық функцияларға келтіріліп шешіледі. Мысалы,
1.
теңдеуді шешу керек.
-ті
арқылы жазсақ,
шығады. Бұдан
1)
бұдан
немесе
2)
бұл теңдеудің шешуі жоқ, себебі
бірден артпауы керек.
2.
теңдеуді
аралығында шешу керек.
формуласын пайдаланып,
деп жазамыз.
1)
аралығында тек
ғана жатады.
теңдеуін шешсек,
бұнда
түбірі шартты қанағаттандырады.
1)
түбірі болады.
2)
Сонымен, теңдеудің
аралығында төрт түбірі болады, олар
.
1. 2 Жіктеу арқылы шешілетін тригонометриялық теңдеулердің графигі
Яғни
түріне келтіретін теңдеулер. Сол белгілі бір бірнеше көбейтінділерден тұрады. Оң бөлігі нөл, сондықтан ең болмағанда бір көбейткіш нөлге тең болса ғана көбейтінді нөлге тең болады.
1.
теңдеуді шешіңдер.
(ММЖ)
- мүмкін мәндер жиыны.
(ММЖ) тапсақ
немесе
1)
бұдан
яғни
2)
бұдан
ММЖ
-ға жатпайтынын көрсетейік.
-
ның қандай мәнінде тақ емес,
ММЖ
жатпайды.
2.
ММЖ
1)
бұдан
2)
шешімі болмайды, себебі сол бөлігі әруақытта оң сан. Теңдеудің түбірі
.
Қосу формулаларын пайдаланып шешілетін теңдеулер.
Мысалдар:
1.
теңдеуін шешіңдер.
-ті
түріне келтіріп аламыз:
1)
яғни
2)
яғни
2.
теңдеуін шешіңдер.
немесе
мұндағы
мұндағы
.
3.
теңдеуді шешіңдер.
формуласын пайдалансақ
немесе
1)
яғни
2)
.
.
түріндегі теңдеулер. Бұл теңдеулерді
және
-ге қарағанда біртекті теңдеулерге келтіруге болады. Немесе
формуласын пайдаланып шешуге болады, мұндағы
.
Мысалы,
теңдеуді шешу керек. Жарты аргумент функцияларға көшсек,
Немесе
бұл біртекті теңдеу,
-
ге
бөлгенде
бұдан табатынымыз:
теңдеуінде
және
-кез келген нақты сандар.
Егер
және
-ке қарағанда біртекті теңдеулер.
теңдеуі бірінші дәрежелі біртекті теңдеу деп аталады. Бұл теңдеудің екі бөлігін де
деп бөлсек,
осы теңдеудің түбірін табамыз. Мысалдар:
1.
теңдеуін шешу керек.
теңдеуімен мәндес.
немесе
түріндегі теңдеуді екінші дәрежелі
пен
-ке қарағандағы біртекті теңдеу дейді.
-қа бөлсек,
бұлар да мәндес теңдеулер,
теңдеудің түбірі болмайды.
және
болса теңдеудің шешуі болады. Мысалы:
1.
теңдеуін шешу керек.
-қа бөліп
мәндес теңдеу аламыз, бұл теңдеуді шешсек
1)
яғни
2)
яғни
2.
1)
2)
Егер
ал
онда теңдеудің мәні болмайды; егер
онда
x
-кез келген нақты сан, яғни теңдеу теңдікке айналады. Мысалы
қарастырамыз. Теңдеудің екі жағын 2-ге бөліп,
яғни
немесе
.
теңдеуін төрт тәсілмен шешуге болады. Мысалы, теңдеудің екі жағын да
-ге бөліп,
теңдеуін аламыз және т. б. Кез келген коэфиценті бар
теңдеуін қарастырамыз. Мұндай теңдеулер әр түрлі жолдармен шығарылады.
1-тәсіл:
теңдеуін қос бұрыш енгізу әдісі арқылы шешу.
Біз білеміз, егер
болса,
бұрышы болады,
немесе керісінше.
теңдеуін шешу үшін
көбейткішін жақша сыртына шығарамыз. Сонда
теңдеуін аламыз.
болғандықтан, бірінші
санды кейбір
бұрышының косинусы деп қабылдап, ал екінші
сол
бұрышының синусымен алмастырып жазамыз, яғни
,
. Мұндай жағдайда теңдеу
немесе
түріне келеді, бұдан
. Бұл теңдеудің шешімі болады, егер
, сонда
,
.
бұрышы
теңдігінен табылады,
.
Жауабы:
.
Қарастырылып өткен тәсіл
функциясының max, min нүктелерін тапқанда жиі қолданылады.
Мысалы:
функциясының max, min нүктелерін табу.
Шешуі:
.
Максимум
болады, яғни
. Ал
болатынын көру оңай.
Жауабы:
,
.
Қарастырылған тәсіл
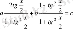
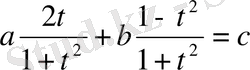
теңдеуінде универсалды болып қарастырылады. Ол сонымен қатар физикада гармониялық тербелістерді қосуда қолданылады.
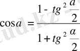
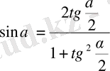
2-тәсіл:
- теңдеуін рационалдау әдісімен шешу.
Белгілі, егер
, онда
,
және
,
арқылы рационалды өрнектеледі, яғни
,
және
. Рационалдау әдісі мыналардан қорытылады: алмастырудан кейін рационалды теңдеу белгісіз көмекшімен салыстыруға болатын, белгісіз көмекші ендіреміз.
теңдеуін қарастырамыз, бұдан
теңдеуін аламыз.
деп алсақ, онда
аламыз. Бұл теңдеу- рационалды салыстырмалы
.
Теңдеудің екі бөлігін
көбейтеміз, сонда
болады.
немесе
деп көрсек,
болады.
мәні -нақты, егер
. Егер
теңдеуінде
деп алсақ, ендеше ол бірінші дәрежелі теңдеуге айналады:
яғни
,
.
болғанда,
өрнегі көмекші белгісізге мәнін жоғалтады, яғни
.
теңдеудің шешімі
жоғалуы мүмкін.
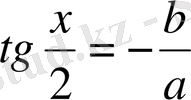
теңдеуді
алмастыру арқылы:
;
.
Мұндай жағдайда
теңдеу
түріндегі шешімдер жиыны көп болады.
- Егерболса, ондатеңдеудің шешімі болмайды, теңдеудің нақты түбірлері болмағандықтан.
- Егержәнеболса, ондатеңдеудентабамыз.
- Егер, ондатеңдеудің 2 шешімі бар:және.
1-мысал. Теңдеуді шешіңдер.
Бұл теңдеуді көмекші бұрыш ендіру арқылы шешуге де болады.
деп алып, төмендегі
формулалардың көмегімен түрлендірсек,
. Бұл арадан
. Енді
мәні берілген теңдеуді қанағаттандыратынын тексерелік.
Сонымен теңдеудің шешімі:
3-тәсіл:
теңдеуін шешу әдісі. Теңдеудің екі бөлігін де квадраттау тәсілімен, біртекті теңдеуін аламыз. Бөгде түбір шығатындықтан, бұл әдіс ең жиі қолданылатын әдіс.
1-мысал. Теңдеуді шешіңдер.
Теңдеуді анықталу облысына
мәні енбейді. Берілген теңдеу тек
-ке тәуелді, өйткені оны түрлендірсек,
түріндегі теңдеуді аламыз. Анықталу облысын ескерсек,
. Теңдеуді
-ке қатысты шешсек, бірінші түбір теңдеудің анықталу облысына енбейді, ал екіншісінен
.
Барлық тригонометриялық функциялар қатысатын теңдеулерді көбінесе
арқылы өрнектеуге болады. Теңдеулерді бұл метод пен шешкенде көбінесе
түбірді жоғалтуымыз мүмкін. Сондықтан шешімді тексеру қажет. Бұл методты Эйлер методына алмастыруы деп атайды.
4-тәсіл:
теңдеуін шешу әдісі.
Теңдеуді мына түрде жазып аламыз:
, яғн
және т. б. түріндегі біртекті теңдеуін аламыз.
1. 3 Теңбе-тең түрлендірулер арқылы қарапайым түрге келтірілетін тригонометриялық теңдеулер.
Тигонометриялық теңдеудің сипаты оның құрамындағы тригонометриялық өрнектің қабылдайтын мәндеріне немесе анықталу облысына байланысты. Алгебралық өрнектер сияқты тригонометриялық теңбе-теңдікті құрайтын өрнектерде түрлендіру есептер шешуде аса маңызды роль атқарады. Әсіресе теңдеулер шешуде тригонометриялық теңбе-теңдіктер аклғашқы немесе негізгі ұғым болып саналады. Теңдеулер шешуге өте көп теңбе-теңдіктерден ең қажеттісін таңдап алу-есептің тиімді тәсілдер көмегімен оңай шешілуіне мүмкіндік береді.
Бірнеше мысалдар қарастырайық:
1-мысал. Теңдеуді шешіңдер.
Теңдеуді
түрінде жазалық. Қосындыға түрлендіріп,
өрнегін қос бұрыштың формуласы бойынша жазсақ, теңдеуді
деп жазуға болады. Бұдан
қарапайым теңдеулерге келеді. Бұл арада
Түбірлерді салыстыра келіп,
түбірлерінің жалпы түбір екенін байқаймыз.
2-мысал.
теңдеуді көмекші бұрыш енгізу арқылы шешіңдер. Келтіру формуласының көмегімен
теңдіктерін жазамыз. Бұл арада
мұндағы
қарапайым теңдеуін алдық.
3-мысал.
теңдеуді шешіңдер. Дәрежесін төмендету формуласының көмегімен
теңдеуді ықшамдаған соң, қосылғыштарды бірге топтап, көбейтіндіге түрлендірсек,
. Бұл арада
Немесе
. Екінші теңдеуден
; Бұл теңдеулерден
.
4-мысал.
теңдеуін шешіңдер.
Бірінші және соңғы қосылғыштарды пайдаланып, толық квадрат алсақ және дәрежесін жоғарылату формуласын пайдалансақ, теңдеу
түрге келеді.
-ке қатысты квадрат теңдеудің түбірлерінен
теңдеуін таңдап аламыз. Бұл арадан
.
5- мысал.
теңдеуді шешіңдер.
Теңдеудің шешімі
мәндерінде болады.
болатынын ескерсек, теңдеу
сол жағын қосындыға түрлендірсек, ұқсас мүшелерін біріктіргеннен соң
шығады.
өрнегінің мәні теңдеудің анықталу облысына енбейтіндіктен
немесе
;
6-мысал.
теңдеуді шешіңдер.
1-тәсіл. Егер
, онда
, теңдеу
дұрыс емес теңдікке айналады. Ендеше
деп аламыз. Теңдеудің екі жағын да
-ке бөліп,
айнымалысын енгіземіз. Онда
, ал
және
Жауабы:
2-тәсіл. Дәрежені төмендету формуласын қолданып, теңдеуді мына түрге келтіреміз
Теңдеудің екі жағын да
бөліп және қосымша
бұрыш енгізу арқылы
аламыз. Бұдан
Жауабы:
3-тәсіл. Теңдеуді мына түрде жазамыз
Қалғандары анық.
4-тәсіл. Теңдеуді
-ке қатысты шешеміз
;
және
-ты
-тың жарты бұрышы арқылы өрнектеу оның ММЖ кішірейтеді және кейбір түбірлерін жойып алады. Қорыта келгенде
,
-ты
-ң жоғалтады.
II бөлім. Элементар тригонометриялық функциялар және олардың графиктері
2. 1 Кері тригонометриялық функцияға тәуелді теңдеулер
Бұл түрге жататын теңдеулердің шешімдерінің саны шектеулі болады. Сондықтан ба оның шешімдерін талдаудың ерекше қиындығы болмайды.
функцияларға тәуелді теңдеу берілсін делік. Ол
болсын. Мұндағы
кері тригонометриялық функциялар.
теңдігін жазалық. Соңғы теңдіктен алгебралық теңдеу шығу керек. Бұл теңдеу алғашқы мәндес болмайды. Алгебралық теңдеудің табылған түбірін
x
-тің анықталу облысымен салыстырамыз, қалған түбірлерін берілген теңдеуге қойып тексереміз.
1-мысал.
теңдеуді шешіңдер.
x -тің анықталу облысын қарастыралық.
және
Бұл арадан жалпы алғанда
.
Теңдеудің екі жағын синустың аргументі деп қараймыз.
Бұдан әрі
екі жағын квадраттасақ,
. Түрлендірсек,
бұдан
десек, теңдеу
. Осы теңдеуді шешеміз:
Ал
, онда
осыдан
және
.
x
-тің табылған мәндерінің бәрі оның анықталу облысында жатады. Табылған мәндерді тексерсек,
1)
онда
яғни
олай болса,
түбір.
Тексере келіп, қалған түбірлердің теңдеуді қанағаттандырмайтынын байқаймыз.
2-мысал.
теңдеуді шешіңдер.
формулаларын пайдаланып, берілген теңдеудің екі жағын тангенс функциясының аргументі ретінде қарастырсақ, берілген теңдеу
түрінде жазылады.
Бұдан
немесе
немесе
3-мысал.
теңдеуді шешіңдер:
деп белгілесек, онда
болғандықтан
1)
шешім бола алмайды.
2)
4-мысал. Теңдеуді шешіңдер:
Кері тригонометриялық функциялардың қосындысы туралы теоремаға
сүйеніп,
-ті
-пен алмастырамыз. Сонда берілген теңдеу
немесе
болады. Осыдан
десек
1)
2)
. Олай болса, 7 шешім бола алмайды.
- Іс жүргізу
- Автоматтандыру, Техника
- Алғашқы әскери дайындық
- Астрономия
- Ауыл шаруашылығы
- Банк ісі
- Бизнесті бағалау
- Биология
- Бухгалтерлік іс
- Валеология
- Ветеринария
- География
- Геология, Геофизика, Геодезия
- Дін
- Ет, сүт, шарап өнімдері
- Жалпы тарих
- Жер кадастрі, Жылжымайтын мүлік
- Журналистика
- Информатика
- Кеден ісі
- Маркетинг
- Математика, Геометрия
- Медицина
- Мемлекеттік басқару
- Менеджмент
- Мұнай, Газ
- Мұрағат ісі
- Мәдениеттану
- ОБЖ (Основы безопасности жизнедеятельности)
- Педагогика
- Полиграфия
- Психология
- Салық
- Саясаттану
- Сақтандыру
- Сертификаттау, стандарттау
- Социология, Демография
- Спорт
- Статистика
- Тілтану, Филология
- Тарихи тұлғалар
- Тау-кен ісі
- Транспорт
- Туризм
- Физика
- Философия
- Халықаралық қатынастар
- Химия
- Экология, Қоршаған ортаны қорғау
- Экономика
- Экономикалық география
- Электротехника
- Қазақстан тарихы
- Қаржы
- Құрылыс
- Құқық, Криминалистика
- Әдебиет
- Өнер, музыка
- Өнеркәсіп, Өндіріс
Қазақ тілінде жазылған рефераттар, курстық жұмыстар, дипломдық жұмыстар бойынша біздің қор #1 болып табылады.

Ақпарат
Қосымша
Email: info@stud.kz