Литтл есебі


Жұмыс түрі: Курстық жұмыс
Тегін: Антиплагиат
Көлемі: 26 бет
Таңдаулыға:
ҚАЗАҚСТАН РЕСПУБЛИКАСЫНЫҢ ҒЫЛЫМ ЖӘНЕ БІЛІМ МИНИСТРЛІГІ
Қ. И. Сәтбаев атындағы Қазақ ұлттық техникалық университеті
Техникалық кибернетика кафедрасы
КУРСТЫҚ ЖҰМЫСҚА
түсіндірме жазба
Тақырыбы Литтл есебі
Жетекші
Доцент Л. Ш. Балғабаева
«__» 2005ж.
Студент Текесбай А . Е. .
Мамандығы 370140 (АӨБКЖ)
Тобы КСУ-02-02
Алматы 2005
ЕСЕПТІҢ ҚОЙЫЛЫМЫ
Операцияны зерттеу негіздері пәнінен курстық жұмысқа арналған тапсырма тақырыбы: “Литтл есебі”
“ Литтл есебі ” негізгі әдістері (шекара және бұтақша әдісі) қолданылып 32 - варианттың есебін есептеп, сол әдіске Borland Delphi ортасында бағдарлама құру.
Жұмыс жетекшісі Л. Ш. Балғабаева
Жұмысты орындауға қабылдаған студент Текесбай А . Е.
Тапсырманы орындауға қабылдап алған күні "___" 2005 ж.
Аяқталған жұмысты қорғау күні ""2005ж.
Курстық жұмысқа берілген тапсырма
32-вариант
Мұнай көздерінен мұнай өңдейтін зауытқа қарай бір мұнай құбыры арқылы мұнайдың m-сорты жіберіледі. Мұнайдың әр түрлі сорттарының түсүінен Сij- шығындары болады. Түйіспелерде болатын суммалары шығындарды азайту үшін, мұнайдың әр түрлі сорттарының жіберуі тізбегін анықтау керек.
Төменде келтірілген сандық мәліметтер шартты бірліктермен берілген:
m-4
Cij-2
Мазмұны
КІРІСПЕ . . .
1 Операцияны зерттеудің негізгі кезеңдері . . .
1. 1 Операцияны жүйелеп талдау . . .
1. 2 Операцияны басқару есептерін мазмұндау . . .
1. 3 Болжамдар жасау . . .
1. 4 Математикалық модельді құру . . .
1. 5 Басқару есептерін шешетін әдісті таңдау . . .
1. 6 Алгоритмдерді жүзеге асыратын программа құру және оны жөнге
келтіру . . .
1. 7 Есепті шешу және шешімдерді талдау . . .
2 Операцияларды зерттеудің негізгі принциптері . . .
3 Қарапайым актілерді шығару мысалдары . . .
3. 1 Қоспаның ең жақсы құрамын анықтау (Диета тұтынушы есеп) . . .
3. 2 Металл өнімдерін тасымалдауды ұйымдастыру (транспорт) . . .
4 Коммивояжер әдісі . . .
4. 1 Литтл алгоритмі . . .
5 Сандық түрдегі шешім . . .
6 Программаның баяндалуы . . .
6. 1 Жалпы мағлұматтар . . .
6. 2 Функционалдық тағайындалуы . . .
6. 4 Шақыру және жүктеу . . .
6. 5 Қажетті техникалық жабдықтар . . .
ҚОРЫТЫНДЫ . . .
ҚОЛДЫНЫЛҒАН ӘДЕБИЕТТЕР . . .
Қосымша А . . .
Қосымша Ә . . .
Қосымша Б . . .
КІРІСПЕ
Қазіргі кезеңде операцияны зерттеу әдістері адамзат өмірінің әртүрлі салаларында кеңінен қолданылады. Операцияны зерттеу өзіндік ғылыми бағыт ретінде жаугерлік іс-әрекеттердің жақсы ұйымдастырылуы, сонымен қатар әртүрлі шешімдерді қабылдау барысында берілетін бұйрықтардың нәтижесін анықтау қажеттілігінен қалыптасты. Операцияны зерттеу әдістерінің көмегімен қарсыласыңның қарулы күшінің жағдайын толығымен білмей-ақ, әскери операцияларды тактикалық және стратегиялық тұрғыда жоспарлауға болады.
Бұл ғылымның математикалық әдістері күрделі авиациялық, ракеталықжәне ғарыштық кешендерді жобалауда қолданылады. Математикалық жобалау аппараттың негізін сызықтық және бисызықтық бағдарламалау, шешімдерді қабылдау теориясы, бұқаралық қызмет көрсету теориясы, ойындар теориясы және имитациялық модельдеу қалайды.
Негізінде ЭЕМ-ң өмірге келуі көптеген ғылымдардың пайда болуына жол ашты, соның бірі шешімдерді дұрыс қабылдауды қарастыратын ғылым - операцияларды зерттеу ғылымы еді.
Операцияны зерттеу әдістемесі соңғы бес онжылдықта экономика, ұйымдастырушылық, ғарыштық, энергетикалық, қорғаныс жүйеленрі және оларды іс жүзінде қолдану тәсілдерімен тығыз байланыса отырып қалыптасты. Бұл процестің ең негізгі этапы болып - адамзат іскерлігінің ақпараттық аспектілерін зерттеу жұмыстары есептелінеді, себебі бұл автоматты басқару идеясын тудырды.
Іскерлік қабілеттілігін арттыруға ұмтылу қоғамға тән нәрсе және оның көптеген себептері бар - өндіріс масштабының өсуі, техниканың қымбаттауы және күрделенуі, ресурстардың шектеулілігі және т. б. Әсіресе қоғам мүддесін қорғаумен тығыз байланысты басқарушы органдардың дұрыс шешім қабылдауы және жұмысын жақсартуы - актуальды мәселелердің бірі болып табылады. Өзіміз қалайтын нәтижелерге жету үшін көрсетілген шешімдерді қабылдау барысында пайдалынылатын басқарушы обьектілердің жағдайы туралы ақпараттардың сапасын жақсарту керек. Бұл талап - бастапқы ақпаратты таратушы обьектінің өзіне де, сәйкесінше автоматтандырылған басқару жүйесінің (АБЖ) құрамына кіретін өңдеу жүйесіне де бірдей қойылады.
Негізінде АБЖ-ны - нақтылы және толық ақпаратты жаңа есептеу техникаларын, шешілуі мүмкін ғылыми әдістер анализін қолдануға негізделген техникалық - ұйымдастырушылық басқару жүйесі ретінде қарастыра аламыз.
ЭЕМ-ы жаңарған сайын қабылданатын басқарушы шешімдердің толық және оперативті түрде ақпаратпен қамтамасыз ету мақсаты формальді өңдеуді бір орталықтандыруға ұмтылдырды. Бұл, өз кезегінде АБЖ-ның принципиалді схемасын құруға мүмкіндік тудырды (1-сурет) .
Бастапқы мәліметтер Өңделген ақпарат
қосымша
ақпарат
Басқару сигналы Қабылданған шешімдер туралы
ақпарат
Қалыптаспаған ақпарат
1-сурет
Мұндай жүйелердің негізгі ерекшеліктері интерпретациялық түсініктердің сәйкестілігінде, мысалы «басқарушы орталық» - басқарушы, дирекция, министрлік аппараты, «басқарылатын орын» - цех, зауыт, жүктеме желілер.
Операцияны зерттеудің даму тарихы - оның жұмыстарының масштабының үздіксіз өсуі және олардың бағыттарының әртүрлілігімен ерекшелінеді. Бұл ғылымның дамуына белгілі ғалымдар - А. Н. Колмогоров, Дж. Нейман, Л. В. Канторович, Дж. Данциг, Ю. Б. Гермейер және Көптеген басқалары өз улестерін қосты. Олардың еңбектері тек шешімді дайындау әдістерінің санын арттырып, қолдану шекарасын кеңейтіп қана қойған жоқ, сонымен қатар ғылымда жаңа бағыттардың құрылуына жол ашты.
Операцияның зерттеу әдісістерінің көмегімен әртүрлі есептер қарастырылады, бұл әдістрдің теориялық негізін және олардың даму перспективасын кеңейтеді.
Операцияны зерттеу - білім саласы ретінде кеңейе түсуде, оның теория және тәжірбие жүзінде алынған нәтижелері артып отыр. Осындай шарттар негізінде бірдей әдістемілік анализдеу принцптеріне, зерттеулердің жеткен жетістіктеріне үлкен мән береді
1 Операцияны зерттеудің негізгі кезеңдері
Операцияны (басқарылатын жүйелерді) жүйелеп талдау
Операцияны басқару есептерін мазмұндау және операцияның қарапайым бөлшектерін бөліп шығару
Болжамдар жасау (жорамал құрастыру)
Математикалық модельді жасау
Басқару есептерін шешетін әдісті таңдау
Алгоритмді жүзеге асыратын программа құратын және оны жөнге келтіру
Есепті шешу және шешімдерді талдау
Есептің шешімдерін іс жүзінде қолдану
Жоспарлаушы (технолог) операцияны зерттеуші
Жоспарлаушы (технолог) операцияны зерттеуші
Жоспарлаушы (технолог), операцияны зерттеуші
Операцияны зерттеуші, математика маманы
Операцияны зерттеуші, математика маманы
Жүйелеуші программа маманы, операцияны зерттеуші
Жоспарлаушы және операцияны зерттеуші
Алдыңғы кезеңдердегі барлық мамандар
Басқарылатын дүниені жобалауға дейінгі зерттеулер
Басқарылатын дүниені жобалауға дейінгі зерттеулер
Басқарылатын дүниені жобалауға дейінгі зерттеулер
Техникалық жобалау
Техникалық жобалау
Жұмыс жобалау кезеңіне сәйкес
Өндірістік-тәжірибелік жағдайда іске асыру
Өндіріске енгізу
1. 1 Операцияны жүйелеп талдау
Бұл кезеңдегі жұмыстарды технолог пен операцияны зерттеуші бірігіп жасайды. Жоспарлаушы мен технологтердің рольдері жоғары. Операцияны бөліктерге бөліп осы бөліктерді жеке-жеке зерттеу, талдау жүргізу және осы бөліктерінің өзара бірігіп әрекеттесуін талдау қажет. Мәлеметтер көздерін табу АБЖ кезінде ақпарат желісін тұрғызып, керекті мәлеметтерді табуға және талдауға ЭЕМ қолдану керек. Осы кезеңде операцияға әсер ететін барлық қозғаушы күштерді тиянақтап табу және осы операцияны зерттегендегі қорытынды қандай өмірдегі құбылыстарға қолдануға болатындығын анықтау, тиімділікті салыстыратын белгілерді анықтау жұмыстары жасалады.
1. 2 Операцияны басқару есептерін мазмұндау және операцияның қарапайым бөлшектерін бөліп шығару
Бұл кезеңдегі жұмыстарды технолог пен операцияны зерттеуші бірігіп жасайды. Операцияны талдау нәтижелерін мазмұндау және суреттеу керек. Операцияның мазмұндалған бейнесі математикалық модельдерді тұрғызуға жеткілікті болу шарт. Бұл
- Операцияның қозғаушы еүшінің тізбегі бөлу керек олар математикалық моделдерде ескерілу қажет.
- Осы қозғаушы күштерінің өзара әрекеттесуінің шамасы (сипаты) болу керек.
- Осы операцияның бөлшектерінің бүтін операцияға орны көрсетілуі керек.
Операцияның қарапайым бөлщектерін немесе актілерін бөліп шығару аралық кезең болып есептеледі. Бұл кезең күрделі операцияны зерттегенде қолданылады. Операциядағы негізгі қозғаушы күштерді бөліп шығару керек. Олар төртінші кезеңде математикалық өрнектермен немесе формулалармен өрнектеледі.
1. 3 Болжамдар жасау
Бұл кезеңдегі жұмыстарды технолог пен операцияны зерттеуші бірігіп жасайды. Болжам берілген есептерді ықшамдауға, қарапайым түрге келтіруге көмектеседі. Болжам тексерілетіндей болу шарт. Болжам тексерілетін операцияның туроасындағы жетіспейтін мәлеметтерінің орнын толтыру керек. Бұл мәлеметтер тәжірибе жолымен тексерілуі шарт. Болжамдарды құрастырған кездегі кейбір қателер: нәтиже орнының ауысуы негізсіз қарапайым болжамдарды қабылдау, кездейсоқ шашырыңқы факторды шындық ретінде қабылдайды.
Жиі кездесетін болжамдар:
- Суықтық.
- Дөңес.
- Адективтік.
1. 4 Математикалық модельді құру
Операцияны зерттеу үшін іс жүзінде қолданбалы математика маманы мен операцияны зеттеуші бірігіп жұмыс жасайды.
Модель - ақиқатты нақты белгілеу. Модель көмегімен есептеуге және болжауға болады. Математикалық модельді тұрғызу үшін тәуелсіз және тәуелді айнымалдыны енгізеді.
Тәуелсіз айнымалылар - есептің негізгі шешімдерін табуға қолданылады. Олар тиімділік айнымалымен, қозғаушы күштермен байланысты. Математикалық модель мақсатты функция мен шектеулерден тұрады.
Мақсатты функция - деп max немесе mіn мәнін іздейтін функцияны айтады.
Шектеулер - ол тәуелсіз айнымалылар жиынтығының дәлдік шегін анықтайтын теңдеулер жүйесі.
1. 5 Басқару есептерін шешетін әдісті таңдау
Бұл кезеңдегі жұмыстарды операцияны зерттеуші мен математика маманы бірігіп жасайды. Математикалық модельді келесі белгілермен жіктеуге болады:
- Айнымалының саны бойынша бір өлшемді және көп өлшемді оптималдандыру есептерге бөлінеді.
- Шектеулерге байланысты шартты және шартсыз есептерге бөлінеді.
- Тәуелсіз айнымалының уақыттан функция болу болмауына байланысты статикалық, динамикалық оптималдандыру есептеріне бөлінеді.
- Ескерілетін информармацияның дәрежелері бойынша детерминдік және стохастикалық оптималдандыру есептеріне бөлінеді және т. б.
Математикалық модельді жасаған соң мақсатты функциялар мен шектеулердің түрі бойынша қарастырған есепті қандай математикалық бағдарлау есептеріне жататынын қарастыру керек:
- Сызықтық бағдарламалау - Егер мақсатты функция мен шектеулер сызықты түрде болса және тәуелсіз айнымалылар мәндер жиынының шекті мәндер қабылдаса.
- Бейсызықты бағдарламалау - Егер математикалық функция немесе шектеулер бейтаныс түрде берілсе.
- Дискретті бағдарламалау - Егер математикалық функция мен шектеулер сызықты түрде болса, бірақ тәуелсіз айнымалылар мәндер жиынынан тек дискретті мәндер қабылдаса.
- Динамикалық бағдарламалау - Егер тәуелсіз айнымалылар кейбір параметрден ( уақыт, қадам, кезең және т. б. ) функция болса.
- Ойындар теориясына - Егер шешім активті немесе пассивті қарсы әрекет жағдайында қабылданса.
- Стохастикалық бағдарламалау - Егер тәуелсіз айнымалының бастапқы мәндері немесе мақсаты функцияның коэффициенттері толығымен белгісіз болса, т. б.
Сондықтан, қарастырып отырған есеп қандай математикалық бағдарламалау есептеріне келісетінін қарастырып, есепті шешетін әдістер тобын табамыз. Топ шінде нақты шешім әдісін табу - ол есептеу алгоритмінін тиімділігіне байланысты жүзеге асырылады. Оптималдандырудың барлық таңдалған сандық әдістері есептеу алгоритміне дейін нақтыланады.
Алгоритм дегеніміз - есептің шешімін табу үшін оның берілген шарттарын қалай, қандай кезекпен қолдану керектігіне нұсқаулар дәлді анықталған іс - әрекеттер ережесі.
Алгоритмнің сипаттамалары
1. Детерминдік - ол есептеу кезендерінде де берілген шарттар бойынша біржақты шешім алу.
2. Есептеу процессінің дискреттілігі орындалуы күдік туғызбайтын бөліктелген алгоритм қадамдары.
3. Жалпылық - ол әр - түрлі берілген шарттар бойынша біртипті берілген есептерге алгоритм қолдану мүмкіндігі.
1. 6 Алгоритмдерді жүзеге асыратын программа құру және оны жөнге келтіру
Бұл кезеңдегі жұмыстарды операцияны зерттеуші мен программа маманы бірігіп жасайды. Программалық процесс келесі кезеңдерден тұрады.
- Есептеу алгоритмінің блок - схемасы бойынша программаның детальдік блок - схемасын тұрғызу.
- Программа тілін таңдау.
- Программа құру.
- Шешүі белгілі (тесттік) есептер қолдана отырып, программаны тексеру және оған керекті түзетүлер енгізу.
- Берәлген шарттардың өлшем функциясы ретінде есептеу алгоритмінің бір циклдық жұмысына машина уақытының шығынын бағалау.
- Кіріс және шығыс мәліметтерін белгілі бір формада дайындау.
1. 7 Есепті шешу және шешімдерді талдау
Бұл кезеңдегі жұмыстарды операцияны зерттеуші мен жоспарлаушы бірігіп жасайды.
Бұл кезеңде бастапқы мәліметтер жөнге келтіріледі. Есеп ЭЕМ арқылы шешіледі. Есептің шешімін кесте немесе график түрінде алуға болады. Содан соң шешім талдауға жатады. Шешім қабылдайтын қызметкер көмегімен кіріс және шығыс мәліметтер алынған нәтижелердің толықтығы мен дұрыстығы талданады. Талдаудан кейін қортындылар шығарылады да, олар ұсыныс түрінде беріледі. Егер алынған шешім ұсыныстар шешім қабылдаушы қызметкердің көңілінен шығатын болса, онда олар іске асырылады. Қарсы болған жағдайда модельді одан әрі жетілдіру, мазмұнды есептің формуласын өзгерту, операцияларды талдауды толықтыру және т. с. с. жұмыстар атқарылады. Былайша айтқанда, операцияларды зерттеудің кез - келген алдынғы кезеңіне көшеміз.
2 Операцияларды зерттеудің негізгі принциптері
Операцияларды зерттеудің негізгі принциптері келесілер
1. Операцияны зерттейтін топ құрамына әртүрлі мамандар еңгізу принципі
Себебі: Көптеген басқарлатын дүниелерді әртүрлі көзқараспен зерттеу керек. Сол үшін әртүрлі саладағы мамандар керек және алдын ала қай тәсіл тиімді екенін білмейміз.
Бір адам әртүрлі салада білімді маман болуы қиын. Сол үшін оның жетекшісі жүйелеуші маман болуы керек. Ол адамға ерекше талаптар қойылады:
- Терең білімді.
- Ой - өрісі кең.
- Зерделі.
- Жұмысқа жеке мамандарды жұмылдыра алатын қабілеті болуы керек.
- Топтың жұмысын ойдағыдай атқару керек.
2. Математикалық модельдеу принципі
Операцияны басқаруда шешім қабылдау үшін мтематикалық модельді қолдану.
3. Оптималдық принцип
Шешім қабылдауда бізге кез - келген шешім керек емес, керегі тиімді шешім қабылдау. Тиімділікті салыстыру үшін белгілі (критерий) болу керек.
4. Іс жүзінде қолдану принципі
Кез - келген операцияны зерттеудің негізгі бағыты өндіріске енгізуге арналу керек. Жәй зерттеумен шектелмеу тиіс.
5. Үйлестік (ұқсастық) принципі
Жаңа есепті ұқсасты есепке келтіру.
6. Декомпозиция (бөлшектеу) принципі
Күрделі операцияларды зерттеуде қолданылады.
Мысалы, басқару теория негіздерінде жүйені бақылану мен басқарылуға тексерген кезде 3*3, 2*2 матрицаларымен шығарамыз. Ал, егерде 7*7, 9*9, 5*5 матрицалары келетін болса оларды бөлшектеп алып, жеке - жеке есептеп содан соң барып, біріктіріп нәтижесін шығарамыз.
7. Жүйелер тәсілдерінің принциптерінің негізгі операцияларға әсер ететін барлық негізгі қозғаушы күштерді ескеріп, операцияның бөліктерінің өзара қарым - қатынасының анықтау және операцияны жалпы бағалау.
8. Агрегаттау (іріктеу) принципі
Күрделі есеп шығару мен күрделі операцияларды зерттеуге қолданады.
3 Қарапайым актілерді шығару мысалдары
3. 1 Қоспаның ең жақсы құрамын анықтау (Диета тұтынушы есеп)
Мал шаруашылығында малға беретін жем құрамы жоспары. Жем құрамында қоректі заттар болуы тиіс. Жем бағасының бірлігі белгілі. Жем түрін таңдаған сәтте олардың максималды болатындай және қоректі заттар қажетті мөлшерде болуы тиіс.
- жем түрлері
- Қоректі заттар саны
-
j
жемнің бірлігіндегі
I
- заттың бірлігі
- тәулігіндегі қоректі заттардың қажеттілігі
- жем бірлігінің бағасы енгізу
- Жемтүрінің мөлшері
Қарапайым актілер:
1. Жем түрінің жалпы бағасын минималдау
2. Тәулікте қоректі заттар мөлшерін қанағаттандыру
![]()
3. 2 Металл өнімдерін тасымалдауды ұйымдастыру (транспорт)
Өндірістік қуаттары а
і
-ге тең бірінғай метал өнім шығынын металлургия зауыты а
і
, a
m
қалада орналасқан, ал
қалада
-ге тең металл өнімдерінтұтынушылар бар. Бұл қалалар теміржол желілері арқылы байланысатын және қалалардың өзара арақашықтықтары
берілген.
К-дегенміз жүк бірлігінің арақашықтық бірлігіне тасымалдау құны.
Материалдық техникалық жабдықтау басқармасына транспорт шығындары. Минималдау болатындай етіп тұтынушыларды жеткізіп беоетіндерге бекіту керек.
шығын
-Тұтынушыларға жіберілетін металл мөлшерінің көлемі
Қарапайым аспектілер:
- Транспорт шығынын минималдау (мақсатты функция)
- Тұтынушы сұрансын қанағттандыру
- Өндіріс қуаттарының шетілігін ескеру
4 Коммивояжер әдісі
Коммивояжер n пунктке (қалаға) минималды жолмен бір-бір ретпен ғана кіріп, алғашқы пунктке қайта кіру керек. Қалалар арасында жол құны
матрицасымен беріледі.
Коммивояжер туралы есептің математикалық моделі:
1- Егер Коммивояжер і-ші қаладан кейін j-ші қалаға барса,
0- қарсы жағдайда.
Цикл деп - реттелген қалалар жиынтығын айтады. Егер ол әрбір қаладан тек бір - бір реттен өтсе.
Сонда Коммивояжердың жалпы жол шығыны t циклына мынадай болады:
Циклда С матицасының әрбір жолының және әрбір бағанының бір элементінен немесе j-ші бағанның әрбір элементінен минималын алсақ, онда келтірілген матрицаны табамыз. Келтіру процессінде (рәсімінде) табылған минималды элементтерінің қосындысы - ол келтірілген константа болады
.
h- келтіру рәсімінің немесе итерация нөмері
k- келтірілген константа
4. 1 Литтл алгоритмі
к=1
Equation. 3 Келтірілген матрицаны табу
Ол үшін әрбір жолдың оң жағына ең кіші (минималды) элементті жазып, жолдың әрбір элементінен алып тастаймыз. Содан соң матрицаның төмен жағына әрбір бағанның минималды элементін жазып, бағанның әрбір элементінен алып тастаймыз.
Келтірілген константаны табу
Тарауға үміткерлер жұбын таңдау
Тарауға тек
-шісі 0-ге тең
жұптарын қарастырамыз.
Үміткерлер үшін бағаларын анықтау
Барлық бағалардың (Q (i, j) ) ішінде ең үлкенін аламыз
Q ( k, l ) =max Q(i, j)
Максималды бағасы бар жұпты матрицадан сызып тастаймыз (к -жол, l- бағанды) және l, k элементтерінің орнына шексіздік қоямыз.
Алынған матрицаның шамасы 2х2 болса, екі жұп тарауға таңдалады. Егер матрица шамасы 2х2 болмаса, онда 10-шы қадамға көшу
Келтіру рәсімі жасалады,
есептелінеді,
есептелінеді k= k+1.
-ші қадамға көшу.
Мысал 1:
1
2
3
4
5
х 4 10 9 4
2 х 9 7 6
8 5 х 5 9
5 8 10 х 7
1 5 4 8 х
4
2
5
5
1
1
2
3
4
5
х 0 6 5 0
0 х 7 5 4
3 0 х 0 4
0 3 5 х 2
0 4 3 7 х
1
2
3
4
5
х 0 3 5 0
0 х 4 5 4
3 0 х 0 4
0 3 2 х 2
0 4 0 7 х
1
2
4
5
х 0 3 0
0 х 4 4
0 3 х 2
0 4 0 х
1
4
5
0 3 0
3 х 2
4 0 х
0
2
0
1
4
5
х 3 0
1 х 0
4 0 х
1
4
5
х 3 0
0 х 0
3 0 х
1
4
х 0
0 0
0
0
5 Сандық түрдегі шешім
C ij - тасымалдау құны.
Х ij - тасымалдаудың өнім көлемі.
Қарапайым актілер:
- Мұнай шығындарын минималдандыру.
- Операцияның орындалуындағы ең жақсы жүйелігін қанағаттандыру.
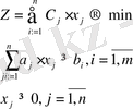
Жалпы түрдегі мақсатты функция:
![]()
Мақсатты функция:
Z = 3X 12 + 2X 13 + 5X 14 +6X 21 +4X 25 +3X 24 +2X 31 +2X 32 +
X 34 +4X 41 +6X 42 +5X 43 min
X 12 + X 13 + X 14 =1
X 21 + X 23 + X 24 =1
X 31 + X 32 + X 34 =1
X 41 + X 42 + X 43 =1
X 21 + X 31 + X 41 =1
X 12 + X 32 + X 42 =1
X 13 + X 23 + X 43 =1
X 14 + X 24 + X 34 =1
H (1) =11
C 12 =0 Q(1. 2) =0
C 13 =0 Q(1. 3) =1
C 24 =0 Q(2. 4) =1
C 32 =0 Q(3. 2) =0
C 34 =0 Q(3. 4) =0
C 41 =0 Q(4. 1) =2 max
H (2) =0
C 12 =0 Q(1. 2) =0
C 13 =0 Q(1. 3) =1 max
C 24 =0 Q(2. 4) =1
C 32 =0 Q(3. 2) =0
C 34 =0 Q(3. 4) =0
H (3) =0
C 24 =0 Q(2. 4) =x
C 32 =0 Q(3. 2) =x
C 34 =0 Q(3. 4) =0
11 11 11 11
13 12 ∞ ∞
4 1 3 2 4 Z=11
6 Программаның баяндалуы
6. 1 Жалпы мағлұматтар
Қарастырылып отырған программа Borland Delphi 7. 0 ортасында құрылды. Ол үшін компьютер Celeron 1300 256 Mb 20 Gb 32 Mb GeForce M K қолдандым.
6. 2 Функционалдық тағайындалуы
Бұл программа жоғарыда берілген коммивояжер есебінің шығарылу жолын тексеріп, оларды салыстыруға арналған. Ол Borland Delphi тілі арқылы іске асады.
6. 4 Шақыру және жүктеу
Біз бұл программаны орындау үшін Borland Delphi папкасын тауып аламыз да, сол жердегі Delphi32. ехе файлын 2 рет басамыз. Ашылған ортадан Коммивояжер файлын тауып Run командасын орындаймыз.
6. 5 Қажетті техникалық жабдықтар
Бұл программаны жасауда Celeron 1800 256 Mb 40 Gb 32 Mb GeForce M K компьютерін қолдандым. Сонымен қатар принтер қажет.
ҚОРЫТЫНДЫ
Коммивояжер есебі жолдың бағытын таңдап оның ұзақтығын минималдауға мүмкіншілік береді, ал есепті ЭЕМ көмегімен шығарған уақытты үнемдейді. Қазіргі кезде коммивояжер есебі өндірістің ең маңызды есептерінің бірі болып табылады.
Borland Delphi тілі арқылы коммивояжер есептің минималдау әдісі бойынша ең минималды жолын шығару программасын есептедік.
Бұл программа арқылы механикалық шеберханада бұйымдар жасаудың ең тиімді жолын шығардық. Бізге ең тиімді шыққан жолы: z=65
ҚОЛДАНЫЛҒАН ӘДЕБИЕТТЕР
1 Зуховицкий С. Н., Авдеева Л. И. Линейное и выпуклое программирование. М: Наука 1967.
2 Исследование операций (в 2 - х книгах) . Кн. 1: Методические основы и математические методы / Под ред. Дж. Моудера, С. Элмаграби. М: Мир 1981.
3 Калихман И. Л. Сборник задач по математическому программированию М: Высшая школа 1975.
... жалғасы- Іс жүргізу
- Автоматтандыру, Техника
- Алғашқы әскери дайындық
- Астрономия
- Ауыл шаруашылығы
- Банк ісі
- Бизнесті бағалау
- Биология
- Бухгалтерлік іс
- Валеология
- Ветеринария
- География
- Геология, Геофизика, Геодезия
- Дін
- Ет, сүт, шарап өнімдері
- Жалпы тарих
- Жер кадастрі, Жылжымайтын мүлік
- Журналистика
- Информатика
- Кеден ісі
- Маркетинг
- Математика, Геометрия
- Медицина
- Мемлекеттік басқару
- Менеджмент
- Мұнай, Газ
- Мұрағат ісі
- Мәдениеттану
- ОБЖ (Основы безопасности жизнедеятельности)
- Педагогика
- Полиграфия
- Психология
- Салық
- Саясаттану
- Сақтандыру
- Сертификаттау, стандарттау
- Социология, Демография
- Спорт
- Статистика
- Тілтану, Филология
- Тарихи тұлғалар
- Тау-кен ісі
- Транспорт
- Туризм
- Физика
- Философия
- Халықаралық қатынастар
- Химия
- Экология, Қоршаған ортаны қорғау
- Экономика
- Экономикалық география
- Электротехника
- Қазақстан тарихы
- Қаржы
- Құрылыс
- Құқық, Криминалистика
- Әдебиет
- Өнер, музыка
- Өнеркәсіп, Өндіріс
Қазақ тілінде жазылған рефераттар, курстық жұмыстар, дипломдық жұмыстар бойынша біздің қор #1 болып табылады.

Ақпарат
Қосымша
Email: info@stud.kz