Бұрғылау жабдықтарын есептеу және конструкциялау


МАЗМҰНЫ
Кіріспе
1 Көтеріп-түсіру элементтерін есептеу
1. 1 Ілмекті көтеріп-түсірудің орташа механикалық жылдамдығын анықтау
1. 2 Көтеру жүйесінің кинематикалық параметрлерін анықтау
2 Ұңғы конструкциясын есептеу
2. 1 Пайдалану тізбегін беріктікке есептеу
2. 2 Аралық тізбегін беріктікке есептеу
2. 3 Кондукторды беріктікке есептеу
3 Тәл жүйесін есептеу
3. 1 Крон блоктар мен тәл блоктарының жұмысшы элементтерін беріктікке есептеу
3. 2 Ілмектің оқпанын беріктікке есептеу
4 Бұрғылау шығырын және оның элементтерін есептеу
4. 1 Шығырдың жүк көтергіштігін анықтау
4. 2 Бұрғылау шығырының тежеу күшін анықтау
4. 3 Таспалы тежегішті беріктікке есептеу
5 Бұрғылау сорабын және оның элементтерін есептеу
5. 1 Бұрғылау сорабының штогын беріктікке есептеу
5. 2 Бұрғылау сорабының бағыттаушы сырғағын беріктікке есептеу
6 Бұрғылау ұршығын және оның элементтерін беріктікке есептеу
6. 1 Ұршық оқпанын беріктікке есептеу
6. 2 Ұршық штропын беріктікке есептеу
7 Бұрғылау роторын және оның элементтерін беріктікке есептеу
7. 1 Ротордың жылдам жүрісті білігін және оның мойынтіректерін беріктікке есептеу
Пайдаланылған әдебиеттер тізімі
КІРІСПЕ
Бұрғалау қондырғысы ұңғыманы бұрғылауға арналған құрал-жабдықтар кешені. Ол бұрғылау тәсіліне қарай: айналмалы Бұрғалау қондырғысы (көп тараған түрі) және соққылыБұрғалау қондырғысы болып екіге бөлінеді. Айналмалы Бұрғалау қондырғысының құрамына бұрғылау мұнарасы, күштік жетек, түсіріп-көтеру операцияларын механикаландыруға арналған құрал-жабдықтар, бұрғылау сорғылары, шайғыш ерітіндіні дайындауға, тазалауға және оны өңдеп қайта қолдануға арналған құрал-жабдықтар, т. б. енеді. Бұрғалау қондырғысы мұнай, газ және терең геологиялық барлау ұңғымаларын бұрғылауға арналған тұрақты Бұрғалау қондырғысы, көбіне геологиялық барлау жұмыстарында, су астындағы бұрғылауда және құрылыс жұмыстарында қолданылатын жылжымалы Бұрғалау қондырғысы, негізінен қопарылыс ұңғымаларын бұрғылауға арналған (жабдықтары шынжыр табанды не , автомобильге, тракторға, катерге, т. б. орнатылған), өздігінен жүретін Бұрғалау қондырғысы және жетуі қиын жерлерде бұрғылау жұмыстарын жүргізуге арналған тасымалды Бұрғалау қондырғысы болып ажыратылады. Тау-кен ісінде Бұрғалау қондырғысы бұрғылау станоктары деп аталынады.
1 Көтеріп-түсіру элементтерін есептеу
1. 1 Ілмекті көтеріп-түсірудің орташа механикалық жылдамдығын анықтау
Тізбек ұзындығы L, свечалар ұзындығы lc белгілі болғанда, бұрғылау құбырының бір свечасы мен АБҚ, қашау мен АБҚ, бұрғылау құбырларының бір свечасын ауыстыруға жұмсалатын қосымша уақытты Tp және ілмекті көтерудің орташа механикалық жылдамдығын vk. op анықтау.
Tр = S (t Т +t АБҚ ) +Tд,
мұндағы t Т =60 − бұрғылау құбырларының машина-механикалық операцияларына жұмсалатын қосымша уақыт, с;
t АБҚ = 90 − АБҚ-ның машина-механикалық операцияларына жұмсалатын қосымша уақыт, с;
Tд =800 − қашауды ауыстыруға жұмсалатын уақыт, с.
vk. op = L\ t,
t = lc \ vk,
мұндағы t − бұрғылау құбырларының, АБҚ-ның машина-механикалық операцияларына жұмсалатын қосымша уақыт, с;
vk − бір свечаны көтеруге жұмсалатын машина-механикалық уақыт, с.
vk ≈ S + 1\2S,
S - свечалар саны,
S = L\lc.
1-кесте
Есептеуге қажетті мәліметтер
1. 2 Көтеру жүйесінің кинематикалық параметрлерін анықтау
Ілмекке түсетін күш белгілі болғанда, келесі параметрлерге сәйкес бұрғылау қондырғысының сыныбын таңдау: ілмекке түсетін мүмкін жүктеме, тәл жүйесінің ең үлкен жабдықталуы, жылжымалы тармақтар саны, шкивтер саны, элеваторды көтеру жылдамдығы.
2-кесте
Есептеуге қажетті мәліметтер
1) Көтеру кешенінің кинематикасын есептеу.
2) 1-суретті мысалға алып, өз нұсқаларыңыз бойынша тәл жүйесінің есептік сұлбасын тұрғызу:
3) Тәл механизмнің шкивтерінің айналу жиілігін анықтау:
n і= 60/πDшVіл (Iтж - Kі) = 60/πDш(Vжс-КіVіл),
мұндағы Kі = 0, 1, 2, 3, 4, …Iтж ;
Vжс = V1 =( Iтж - 0) Vіл;
V2 = V3= V1 - 2 Vіл=( Iтж - 2) Vіл;
V4 = V5= V3 - 2 Vіл=( Iтж - 4) Vіл;
V6 = V7= V5- 2 Vіл=( Iтж - 6) Vіл;
V8 = Vқс= V7 - 2 Vіл=( Iтж - 8) Vіл.
мұндағы Vқс = 0 - арқанның қозғалмайтын соңының жылдамдығы;
Iтж - тәл жүйесінің жұмысшы тармақтарының саны.
Vжс = V1 =( 8 - 0) 1, 5=12;
V2 = V3=9;
V4 = V5=6;
V6 = V7=3;
V8 = Vқс=0.
n і= 60 Vжс /πDш;
n 1= 60 ·12 /2, 8= 257айн/мин;
n 2= 60 (Vжс - Vіл ) /πDш ;
n 2= 60 (12 - 1, 5 ) /2, 8= 225 айн/мин;
n 3= 60 (Vжс - 2 Vіл ) /πDш ;
n 3= 60 ( 12- 3 ) /2, 8= 193 айн/мин;
n 4= 60 (Vжс - 4Vіл ) /πDш ;
n 4= 60 ( 12- 6 ) /2, 8= 129 айн/мин;
n 5= 60 (Vжс - 5Vіл ) /πDш ;
n 5= 60 ( 12- 7, 5 ) /2, 8= 75 айн/мин ;
n 6= 60 (Vжс - 6Vіл ) /πDш;
n 6= 60 ( 12- 9 ) /2, 8= 64 айн/мин;
n 7= 60 (Vжс - 7Vіл ) /πDш ;
n 7= 60 ( 12- 10, 5 ) /2, 8= 32 айн/мин;
n 8= 60 (Vжс - 8Vіл ) /πDш;
n 8= 60 ( 12- 12 ) /2, 8= 0 айн/мин.
мұндағы Dш = 0, 9 тәл механизмі шкивінің диаметрі;
Vжс, V1, . . . Vқс - арқан тармақтарының жүріс соңының, біріншіден оныншыға дейін және қозғалмайтын соңының жүру жылдамдығы, м\с;
n 1 … n 8 арқанның жүріс соңы оралатын кронблок шкивін қоса, тәл механизмі шкивтерінің айналу жиілігі, айн\мин;
Vіл -ілмектің жүріс жылдамдығы, м\с.
1-сурет. Тәл жүйесінің есептік сұлбасы
Арқанның жүріс тармағынан бастап қозғалмайтын тармағына дейін тармақтардың жүру жылдамдығы мен шкивтерінің айналу жиілігінің қалай өзгеретініне қорытынды жасау.
2 Ұңғы конструкциясын есептеу
2. 1 Пайдалану тізбегін беріктікке есептеу
Тереңдігі
Н
=3800 м ұңғыға арналған 146-мм шегендеу тізбегін беріктікке есептеу: бұрғылау ерітіндісінің меншікті салмағы
1, 33 г/см
3
, мұнай -
0, 8 г/см
3
; пайдалану объектісінің аумағы 150 м; қабат қысымы 45 МПа.
Тізбекті босату мүмкіндігін анықтау
Н
о
=
;
Д беріктік тобыннан жасалынатын, қабырға қалыңдығы 6, 7, 8, 9, 10, 11, 12 мм 146-мм шегендеу құбырын майыстырушы қысым 3-кестеден алынады.
3-кесте
12 мм 146-мм шегендеу құбырын майыстырушы қысым
Босату аймағы үшін
;
;
;
;
құбырларын түсірудің мүмкін тереңдігін анықтаймыз
Н
=
мұндағы
= 1, 15 - 6, 7, 8, 9, 10, 11 мм қалыңдықтағы құбырлар үшін майысудың беріктік қор коэффициенті.
Н
о
тереңдігінен бастап тізбекте мұнай аймағы басталады, сондықтан
;
келесі формуламен анықталады
Н
=
Бірақ 3650 м тереңдіктен бастап пайдалану оъектісінің аймағы басталады, ол кезде 11, 12 мм қалыңдықтағы құбырлар үшін
= 1, 3 тең.
2. 2 Аралық тізбегін беріктікке есептеу
Диаметрі 219 мм, тізбекті түсіру тереңдігі
Н
=2200 м; цемент ерітіндісін тізбектен жоғары көтеру биіктігі
600 м; цемент ерітіндісінің меншікті салмағы
1, 84 г/см
3
; тізбек сыртындағы сазды ерітіндінің меншікті салмағы
1, 25 г/см
3
; ұңғы тереңдігі 3200 ; тізбекті түсіргеннен кейін ерітіндінің меншікті салмағы екі рет өзгереді: бастапқыда
1, 1 г/см
3
, кейін
1, 6 г/см
3
. Цементтеу стаканының биіктігі
Һ =
20 м.
Цементтеу кезіндегі қосымша күшті анықтаймыз
мұндағы Р г - гидравликалық шығындарды жоюға кететін қысым,
Р г = 0, 02 Н+ 167
Р ст = 15÷20 МПа - «стоп» сақинасына тығынды отырғызу кезінде болатын қысым; d вн = 200мм - «стоп» сақинасының ішкі диаметрі.
Меншікті салмағы 1, 6 г/см 3 ерітіндіге ауысқан кездегі артық сыртқы қысымды анықтаймыз
.
Қалыңдығы 7 мм құбырдың ішкі қысымға беріктік қор коэффициентін анықтаймыз
,
мұндағы
= 245 - қалыңдығы 7 мм құбырдың ішкі қысымы.
Цементтеу соңындағы максималь қысымын анықтау
Қалыңдығы 11 мм құбырдың ішкі қысымға беріктік қор коэффициентін анықтаймыз
мұндағы
= 380 - қалыңдығы 11 мм құбырдың ішкі қысымы.
Меншікті салмағы 1, 1 г/см 3 ерітіндіге ауысқан кездегі құбырдың майысу мүмкіндігін анықтаймыз
Майысуға беріктік қор коэффициентін анықтаймыз
мұндағы
= 100 - қалыңдығы 7 мм құбырдың майысуына әсер етуші мүмкін қысым.
2. 3 Кондукторды беріктікке есептеу
Кондуктор тек созылуға ғана есептелінеді.
Түсірілу тереңдіге Н =280 м, диаметрі 325 мм, қабырға қалыңдығы 9 мм беріктігі С тобындағы болаттан жасалынған кондукторды есептеу.
Құбырлар бұрандасының ауытқуының қор коэффициентін анықтаймыз
мұндағы
= 16 кН - қалыңдығы 9 мм құбырларға арналған ауытқу күшінің мәні, кестеден алынады;
0, 008 кН - қабырға қалыңдығы 9 мм 1 м құбыр салмағы;
- цементтеу кезінде пайда болатын қосымша жүктеме, кН.
Р г = 0, 02 Н+ 167,
Р ст = 15÷20 МПа.
3 Тәл жүйесін есептеу
3. 1 Кронблоктар мен тәл блоктарының жұмысшы элементтерін беріктікке есептеу
Кронблогі мен тәлблогі өстерінің диаметрлері белгілі болғанда, 40ХН болаттан жасалынған кронблок пен тәлблогы өстерінің беріктік қор коэффициенттерін анықтау және шкив мойынтіректерін беріктікке есептеу.
1) Екі өсті кронблок шкивтерінің вертикаль өстерінің арақашықтығы 130, 5мм. Өз нұсқаңыз бойынша екі өсті кронблок өстеріне күштің таралу сұлбасын көрсетіңіз. Pжс - арқанның жүріс сонының максималь керілуі, Н;
Pжс = (Qіл + Pжаб∕βⁿ − 1 ) βⁿ(β−1),
мұндағы Qіл - ілмекке түсетін күш, кН;
Pжаб= 5т - тұрақты көтерілетін жабдықтар салмағы;
β= 1, 03 - шкивтің қарсыласу коэффициенті;
n - тәл жүйесінің жұмысшы тармақтарының саны;
S1 = Pжсη - бірінші жұмысшы тармақтың керілуі, Н;
η - шкив мойынтіректерінің ПӘК-і.
S1 = Pжс1/β;
S2 = S11/β;
S3 = S21/β;
S4 = S31/β;
S5 = S41/β;
S6 = S51/β;
S7 = S61/β;
S8 = S71/β;
S9 = S81/β;
S10 = S91/β.
Сол жақ өске көбірек күш әсер еткендіктен, оны беріктікке есептейміз. Кронблок өсіне әсер етуші күшті анықтаймыз, Н.
P1= Pжс +S1;
P2=S2 +S3;
P3=S4 +S5;
P4=S6 +S7;
P5=S8 +S9;
P6=S10 +Sқс.
Сұлбаға сәйкес RA және RB тіректі реакцияларын анықтаңыз.
А тірегіне салыстырмалы барлық күштердің моменттерінің жиынтығын аламыз.
∑MA Pі=0,
RB·522 + P3·391, 5 + P2·261+ P1·130, 5 = 0.
В тірегіне салыстырмалы барлық күштердің моменттерінің жиынтығын аламыз.
∑MB Pі=0,
- RB·522 - P3·391, 5 - P2·261- P1·130, 5 = 0.
Күшінің әсер ету қимасындағы иілу моменті
MP1 = RA·130, 5;
Күшінің әсер ету қимасындағы иілу моменті
MP2 = RA·261;
Күшінің әсер ету қимасындағы иілу моменті
MP1 = RA·391, 5.
(ең үлкені - MPmax)
2) Өз нұсқаңыз бойынша тәл блогының өсіне күштің таралу сұлбасын көрсетіңіз.
мұндағы А және В тәл блогы өсінің тірегі;
P1¹, P2¹, P3¹, P4¹, P5¹ тәл блогының шкивтеріне әсер етуші күштер;
l - тіректер арақашықтығы;
l1 - тәл блогы шкивтерінің вертикаль өстерінің арақашықтығы 130, 5 мм;
l2 = 06, 5 мм шкивтердің вертикаль өстері мен тірек арасындағы арақашықтық;
RA және RB тіректі реакциялар.
∑MB Pі=0,
- RA l+ P1¹(l - l2) + P2¹ [ l- (l1 + l2) ] + P3¹ l ∕ 2 + P1¹(l1 + l2) +P5¹ = 0.
∑MB Pі=0,
RВ l- P5¹(l - l2) - P4¹ [ l- (l1 - l2) ] - P3¹ l ∕ 2 P2¹(l1 - l2) - P1¹ l2 = 0.
RA және RВ дұрыс анықталғандығын тексереміз:
RA + RВ = P1¹ + P2¹ + P3¹ + P4¹ +P5¹;
P1¹ күшінің әсер ету қимасындағы иілу моменті
M P¹ 1= RA l2;
P2¹ күшінің әсер ету қимасындағы иілу моменті
M P ¹2= RA(l1 + l2) ;
P3¹ күшінің әсер ету қимасындағы иілу моменті
M P¹ 3= RA P1¹ l ∕ 2 - P1¹ 2 l1 - P2¹ l1;
P4¹ күшінің әсер ету қимасындағы иілу моменті
M P¹ 4= RA(l2 +3l1) - P1¹ 3l1 - P2¹ 2l1 - P3¹ l1;
P4¹ күшінің әсер ету қимасындағы иілу моменті
M P¹ 5= RA(l2 +4l1) - P1¹ 4l1 - P2¹ 3l1 - P3¹2l1 - P4¹l1.
(ең үлкені -MPmax)
4-кесте
Есептеуге қажетті мәліметтер
Нұсқа нөмірі
Көрсеткіштері
Кронблок және тәлблогі өстерінің диаметрі, мм
3) Кронблок пен тәлблогы өстерінің беріктік қор коэффициенттері:
К= σои ∕ σиз ≥ [Ко]
мұндағы σои = 0, 6 σв - соққымалы жүктеме циклі кезінднгі иілудің шыдамдылық шегі, МПа;
σв - болаттың шыдамдылық шегі. 40ХН болат үшін σв = 90МПа;
σиз = Mmaх∕ W кронблок өсінің иілуге беріктіктігі, МПа;
Mmax = Mpmax - максималь иілу моменті, кг ∕м;
d - өстік кедергі моменті, мм;
[Ко] =1, 8÷2, 5 - шыдамдылық бойынша мүмкін беріктік қор коэффициенті.
4) Тәл жүйесінің шкивтер мойынтіректерін ұзақмерзімділікке есептеу
Шкив мойынтіректерінің беріктігі
P1= Pжс +S1
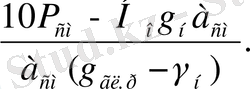
3. 2 Ілмектің оқпанын беріктікке есептеу
Ілмекке әсер етуші максималь күш Q кр шамасы, ең қауіпті қимадағы оқпан диаметрі D, саусақша астындағы тесіктің диаметрі D 1 , тесіктің радиусы R, ені B мен қалыңдығы b белгілі болғандағы ілмектің оқпанын беріктікке есептеу. Оқпанның материалын таңдау және бұрандасыз оқпанның конструкциясын игеру. Есептеуге қажетті мәліметтер 5-кестеде, ал тапсырманы орындау үшін есептік сұлба 2-суретте көрсетілген.
5-кесте
Есептеуге қажетті мәліметтер
2-сурет. Ілмек оқпанының есептік сұлбасы
Ілмек оқпанын созылуға есептеу
σ
р
=
мұндағы F - ілмек оқпанының көлденең қимасының ауданы:
Созылу кернеуін анықтау
σ
р
=
Ілмек оқпаны тесігінің максималь созылу кернеуін анықтау
σ
max
=
мұндағы q - саусақша мен тесік беттерінің арасындағы меншікті қысымының қарқындылығы
q
=
4 Бұрғылау шығырын және оның элементтерін есептеу
4. 1 Шығырдың жүк көтергіштігін анықтау
Егер жәл жүйесінің жабдықталуы, шығыр барабанындағы қуаты N б , 4 жылдамдықты көтергіштің әрбір жылдамдығына n 1 , n 2 , n 3 , n 4 , шығыр білігінің айналу жиілігі, шығыр барабанына арқанның оралуының орташа диаметрі D ср , тәл жүйесінің П. Ә. К. - η = 0, 85 белгілі болса, алдын-ала ілмекті көтерудің орташа жылдамдығын анықтап, әрбір көтеру жылдамдығына шығырдың жүккөтергіштігін анықтаймыз. Есептеуге қажетті мәліметтер 6-кестеде көрсетілген.
6-кесте
Есептеуге қажетті мәліметтер
Шығыр жетегінің кинематикалық сұлбасын, беріліс қатынастарын тарату принциптерін қарастыру.
Ілмекті көтерудің орташа жылдамдығы, тәл жүйесінің жабдықталуына байланысты шығыр барабанының әрбір айналу жылдамдығына сәйкес анықталады. n - тәл жүйесінің жұмысшы тармақтарының саны.
4 жылдамдықты көтергіштің әрбір жылдамдығына n 1 , n 2 , n 3 , n 4 шығыр барабанына арқанның оралуының орташа жылдамдығы:
Әрбір көтеру жылдамдығына шығырдың жүккөтергіштігін шығыр барабанындағы қуатына байланысты анықтаймыз:
N
б
=
, бұдан
4. 2 Бұрғылау шығырының тежеу күшін анықтау
Ілмектегі жүктеме Р кр , тәл жүйесі элементтерінен болатын жүктеме Р т. с. , шкивтің п. ә. к. -і η шк , шкивтің тежеу таспасының қармау бұрышы α, тежеу колодкалары мен шкив арасындағы үйкеліс коэффициенті f , кривошип радиусы а белгілі болған жағдайда шығырдың тежеу таспасына әсер етуші максималь күшті анықтау және таспаны беріктікке есептеу. Тәл жүйесінің жабдықталуын ілмектегі жүктеме Р кр шамасына байланысты қабылдаймыз, шығыр барабанының пайдалы әсер ету коэфффициенті η б = 0, 98, интерционды күштің әсер етуін ескеретін коэффициент К и = 1, 1. Таспа материалын таңдау, балансирге тежеу таспасын бекітудің оңтайлы конструкциясын есептеу нәтижесімен дәлелдеу және жобалау. Есептеуге қажетті мәліметтер 7-кестеде, ал тапсырманы орындау үшін есептік сұлба 3-суретте көрсетілген.
7-кесте
Есептеуге қажетті мәліметтер
3-сурет. Шығырдың таспалы тежегішінің есептік сұлбасы
1) Бұрғылау тізбегін түсіру кезіндегі арқанның жүріс соңының тартылу күшін анықтаймыз
мұндағы n - жұмысшы тармақтар саны.
2) Тежеу таспасының келуші ұшын тартылу күшіне есептейміз
мұндағы е =2, 73 - логарифмдер негізі.
3) Тежеу таспасының кетуші ұшын тартылу күшіне есептейміз
4) Тежеу күші келесі формуламен анықталады:
мұндағы l = 1200÷1400 мм - тежеу тұтқасының ұзындығы, l = 1250 деп қабылдаймыз.
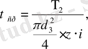
4. 3 Таспалы тежегішті беріктікке есептеу
Тежеу таспасының ені b, қалыңдығы δ, қатардығы тойтарма саны z, тойтарма диаметрі d з белгілі болғанда шығырдың таспалы тежегішін беріктікке есептеу. Таспа материалын өз бетінше таңдау. Есептеуге қажетті мәліметтер 8-кестеде көрсетілген, ал тапсырманы орындау үшін есептік сұлба 3-суретте көрсетілген.
8-кесте
Есептеуге қажетті мәліметтер
1) Таспаны балансирге бекітуге арналған тойтарма астындағы тесікпен жалғастырылған құлақша таспаның ең қауіпті қимасы болып саналады. Бұл қимада таспаны созылу кезіндегі беріктікке есептейміз.
Созылу кезіндегі беріктік қор коэфициенті
[K]
2 болуы тиіс.
2) Тойтармаларды киылу кернеуі кезіндегі беріктікке есептейміз
мұндағы і = 2 - қиылу жазықтығының саны.
Қиылу кезіндегі беріктік қор коэфициенті
[K]
4 болуы тиіс.
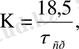
5 Бұрғылау сорабын және оның элементтерін есептеу
5. 1 Бұрғылау сорабының штогын беріктікке есептеу
Р н - сұйықты айдау қысымы, D н - сорап поршенінің диаметрі, d шт - штоктың сыртқы диаметрі, f ц - поршеннің цилиндрге үйкелу коэффициенті, f ш - штоктың тығынының штокқа үйкелу коэффициенті, К с = 0, 15 - шток тығынынның радиальді қысымының орташа мәнінің коэффициенті, l шт - шток ұзындығы 1390 мм-ге тең болғандағы екі жақты әсер ететін бұрғылау сорабының штогын беріктікке есептеу. Есептеу нәтижесі бойынша штокқа материал таңдап, конструкциясына сәйкес беріктіктегі штокты жобалау. Есептеуге қажетті мәліметтер 9-кестеде, ал тапсырманы орындау үшін есептік сұлба 4-суретте көрсетілген.
- Іс жүргізу
- Автоматтандыру, Техника
- Алғашқы әскери дайындық
- Астрономия
- Ауыл шаруашылығы
- Банк ісі
- Бизнесті бағалау
- Биология
- Бухгалтерлік іс
- Валеология
- Ветеринария
- География
- Геология, Геофизика, Геодезия
- Дін
- Ет, сүт, шарап өнімдері
- Жалпы тарих
- Жер кадастрі, Жылжымайтын мүлік
- Журналистика
- Информатика
- Кеден ісі
- Маркетинг
- Математика, Геометрия
- Медицина
- Мемлекеттік басқару
- Менеджмент
- Мұнай, Газ
- Мұрағат ісі
- Мәдениеттану
- ОБЖ (Основы безопасности жизнедеятельности)
- Педагогика
- Полиграфия
- Психология
- Салық
- Саясаттану
- Сақтандыру
- Сертификаттау, стандарттау
- Социология, Демография
- Спорт
- Статистика
- Тілтану, Филология
- Тарихи тұлғалар
- Тау-кен ісі
- Транспорт
- Туризм
- Физика
- Философия
- Халықаралық қатынастар
- Химия
- Экология, Қоршаған ортаны қорғау
- Экономика
- Экономикалық география
- Электротехника
- Қазақстан тарихы
- Қаржы
- Құрылыс
- Құқық, Криминалистика
- Әдебиет
- Өнер, музыка
- Өнеркәсіп, Өндіріс
Қазақ тілінде жазылған рефераттар, курстық жұмыстар, дипломдық жұмыстар бойынша біздің қор #1 болып табылады.

Ақпарат
Қосымша
Email: info@stud.kz