Автоматты технологиялық және химиялық реакторлы процесс


Жұмыс түрі: Дипломдық жұмыс
Тегін: Антиплагиат
Көлемі: 51 бет
Таңдаулыға:
АННОТАЦИЯ
В данном дипломном проекте разработана система автоматизации магистральных насосов в условиях ЛПДС. Выполнены специальный, экономический и раздел охраны труда и экологии. В специальном разделе проекта рассмотрен технологический процесс нефтеперекачивающей станции и вспомогательного оборудования, а также процесс управления ими. Составлена имитационная модель насосной станции и математическая модель оптимального манометрического режима магистральных насосов, разработана схема автоматизации магистральных насосов.
Выполнены расчеты по экономическому разделу и рассмотрены вопросы по охране труда и экологии.
АНДАТПА
Берілген дипломдық жобада ЛПДС жағдайындағы тіректі сорап агрегаттарын автоматты басқару сұақтары қарастырылады
Тіректі сораптарға қысымның ең тиімді есебі мен жазбасын тарату көрсетілген.
Технологиялық бөлімде мұнай айдау станциясының, көмекші автоматты құрылғылардың жұмыс тәртібтерінің барлық түрі қарастылған және бұрын елеулі станцияны басқару және бақылау практикасы қарастырылған.
Арнайы бөлім келесі тараулардан тұрады: тіректі сорап агрегаттары басқару обьектісі ретінде, станция мен тіректі сорап агреттарын басқару ерекшеліктері көрсетілген; басқару есебін құрастыру, динамикалық бағдарламалау әдісі көмегімен қысымды ең тиімді есеппен тарату, VISSIM қолд
THE SUMMARYIn the given degree project the system of automation of main pumps in conditions ЛПДС is developed. Are executed special, economic both section of protection of work and ecology. In special section of the project technological process of station and auxiliaries, and also process of management by them. The imitating model of pump station and mathematical model optimum of a mode of main pumps is made, the circuit of automation of main pumps is developed.
The accounts on economic section are executed and the questions on protection of work and ecology are considered.
КІРІСПЕ
Автоматизация автоматтандырылған баскару жүйесінің электронды есептегіш машинасымен пайдаланып қолдануды ұсынады.
Автоматизация жоғары өнімділікті алуға, экономикалық және социалдық тиімділік жеңісін көтеруге мүмкіндік береді.
Негізгі талаптар, яғни мұнайгазбен қамтамасыз ету жүйесімен көрсетілген сенімділікпен және тоқтамастан мұнайды тұтынушыға барлық технологиялық кешендерде қауіпсіздік және үнемді жұмыста жеткізуді талап етеді. Автоматизация жоғарғы деңгейде болғанда осы талаптар орындалуы мүмкін. Өндірістік объектісінің мұнай көлігі үлкен әртүрлілікпен және үлкен ара қашықтықта сипатталады. Сонымен қатар олар бір-бірімен технологиялық байланыста және пайдалану үрдісінде бір-біріне әсер етеді. Мұндай құрылымдар күрделі және біруақытта бір-бірімен байланысты, жұмыс жүйесінде оларға операциялык басқару сенімділігін және жетілдірілген автоматика құрылғысын және есептегіш техникасын талап етеді.
Айдау станциясы - бұл күрделі инженерлік жасақтар кешені, айдайтын өнімі магистралдық кұбырға жіктеледі. Жалпы осы тапсырмаларды магистралды сорап агрегаты, көмекші жасақтар кешенімен және автоматизация аспаптар көмегімен орындайды.
Жабдық құрамы, сондай-ақ автоматизация көлемі құбыр арқылы мұнай айдау тәсіліне байланысты. Мұнай айдау тәсілін 3 түрге ажыратамыз: тізбекті, сорап станциясының бір резервуарынан кейінгісі, сораптан сорапқа қосылған резервуар. Барлық айдаудың үш тәсілі дипломдық жобаның технологиялық бөлімінде қарастырылған.
Магистралды мұнай құбырларында сораптық станция ортадан тепкіш сораптарымен жабдықталады. Айдаудың қайталанатын құбылысы әдетте 3-4 тізбектей қосылған сораппен қондырылады, ондағы біреуі сақталған қор.
Берілген дипломдық жобада тіректі сораптың автоматизация үлгісінің жұмысы игерілген, автоматизация кұрылғысының спецификациясы ұсынылған.
Сонымен қатар VISSIM қолданбалы бағдарламаның пакетінде динамикалык; бағдарламалау есебінің көмегімен сораптарга тиімді қысымның таратылуы өңделген және есептелінген.
МАЗМҰНЫ
1 МАГИСТРАЛДЫҚ ҚҰБЫРЛАРДЫҢ АВТОМАТТАНДЫРУ МӘСЕЛЕСІН АНАЛИЗДЕУ ЖӘНЕ ЗЕРТТЕУ
1. 1 Мәселенің қойылымы
Жобаның мақсаты. Берілген дипломдық жобаның мақсаты магистралдық қубырларды баскару үшін техникалык автоматтандыру қурылғыларын және микропроцессор техникасын таңдау.
Қойылған жобалау мақсаты бойынша келесі тапсырмаларды орындау қажет
- Магистралдық құбыр кешендерінің сипаттамасын беру;
- Мұнайдың физика-техникалық және реологиялық қасиеттерін сипаттау
- Мұнайды құбыр арқылы тасымалдау процесінің жолдары
- Құбырлардағы апаттар, оларды байқау және жоюдың тәселдері
- Мұнай және мұнай өнімдерінің жоғалуын классификациялау
- КТС автоматикасының микропроцессорлық техникалық таңдауы
- Оператор-технологтың пультін таңдау
- Жүйені техникамен қамтамасыз ету
- Бағдарламамен қамтамасыз ету жүйесін сипаттау
- Экономикалық тарау бойынша берілген тапсырмаларды орындау
1. 2 Зерттеу объектінің сипаттамасы
Магистралдік құбыр келесі жасақ кешендерінен турады:
- -Kipic құбырлары, бастапқы құбыр құрлысымен мұнай көзін байланыстырады. Осы құбырлар арқылы мұнай кәсіпшілігінен зауытынан бастапқы станцияның резервуарына мұнай айдалынады.
- -Бастапқы айдау станциясы. Магистралді құбыр арқылы айдалынатын мұнай, жинайды, және оларды сорттан, есепке салып келесі станцияға айдайды.
- -Аралық айдау станциясы, алдыңғы станциядан келген мұнайды ары қарай айдайды.
- Мұнай айдау станциялары- мұнай құбырының ең күрделі кешендік жасақтары болып келеді. Бастапқы айдау станциясы мұнайды қабылдау үшін және оны ыдыстан магистральдық құбырға айдайды. Бастапқы айдау станциясының технологиялық жасақтауының құрамына: резервуарлық парк, тіректі насос, мұнай торабын есепке алу, магистральдік насос, қысым ретеуіш торабы, ылай аулау фильтрі, торабтар корғаныс құрлысы және де технологиялық құбырлар кіреді. Аралық айдау станциясын жол құбырларына гидравикалық есепке сәйкес орналастырады. Айдау станция арасындағы бipiншi кезек үшін -200 км, ал екінші кезек үшін 50 - 100 км аралықта орналастырылады. Аралық айдау станциясының құрамына: резервуар паркі, тіректі насос және мұнай торап есепке алу кірмейді.
Магистралдік мұнай құбырының 400 ден 600 км дейін үлкен аралық участігінде эксплуатация ұйымдастырады. Бастапқы эксплуатациялық участкілерінде мұнай айдайтын станциялар орналасқан бірак, олардың резервуарлык паркінің сиымдылығы аз болып келеді. Айдау станцияларында технологиялык жасақтаудан басқа механикалық ұстахана, төмендету подтанциясы, котельный, кешенді сумен қамтамасыз етуде, әкімшілік және көмекші жасақтаулар, тұрғын үйлер мен мәдени-тұрмыс жасақтары кіреді.
Сорапты станциялар сорап жабдықтарымен және қуаты бойынша мың киловатт жететін энергетикалық шаруашылықпен жабдықтанады. Мұнай құбырында көбінесе автоматика және телемеханиканы қолдануда. Трасса бойынша тізбекті орналасқан айдау станцияларының мұнай өнімдері мұнай құбырының соңғы пунктінде тоқтайды. Айдаудың соңғы пункті болып мұнай өңдейтін завод немесе мұнай базасы.
2 МАГИСТРАЛДІК СОРҒЫШТАРДЫ АВТОМАТИЗАЦИЯЛАУ ҮШІН ТҚК ТАҢДАУ
2. 1 Мұнайдың физика-техникалық және реологиялық қасиеттері
2. 1. 1 Мұнайдың физика-техникалык қасиеттері
Мұнай-сұйық каустобиолиттер қатарына жататын табиғи шикізат. Мұнай сарғылт, жасыл жене коңыр қышқыл, кейде қара түсті болып келетін, өзіне тән иісі бар, ультракүлгін сәуле жарығын шығаратын сұйықтық.
Мұнайды айдау мен сақтау техникасы, оның физика-техникалық қасиетіне байланысты болады, және мұнай мен байланысты жұмыстар.
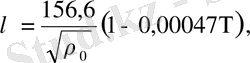
Мұнай айдағанда жэне сақтағанда абсолютті және салыстырмалы Т өлшем бірліктер қолданады. Мұнайдың салыстырмалы тығыздығы 0, 7 мен 1, 07 аралықта болады.
Салыстырмалы тығыздық дегеніміз бірдей жағдайда мұнайдың тығыздығының су тығыздығына қатынасы.
Т - температурада абсолютік бірлікпен берілген абсолюттік тығыздыкты мына формуламен анықтауға болады:
=
(1. 1)
бұл жерде
және 293К- температурасында сұйықдың тығыздығы;
-
тығыздыққа қосылатын температуралык түзеу ;
Мұнайдың тұтқырлығы температураға тәуелді болады. Есептеу жағдайларда лабораториялық зерттеулердің нәтежесінде алынған тұтқырлық температура қисығын пайдалану қажет. Тұтқырлы-температура графигі болмаса, онда тұткырлыкты керекті температурада мына эмпирикалык өрнектер арқылы анықтауға болады:
(1. 2)
ν
B
T
Сурет 1 - Мұнай тұтқырлығының ν температураға Т тәуелділігі
Рейнольдс - Филонов
ν ₌ ν
e
, (1. 3)
Фогель-Фульчер-Тамман
ν ₌ ν
1
exp
( 1, 4)
Фролов
, (1, 5)
мұнда ν- Т температурада берілген кинематикалык тұтқырлық коэффиценті;
v-
температурасында берілген кинематикалық тұтқырлық коэффиценті;
Егер екі берілген температура нүктелерінде тұтқырлығы анықталған болса мәндерін келтірілген өрнектер арқылы анықтауға болады. Бұл жерде Вальтер (ASTM) ең, нақты өpнeгі болып табылады, бірақта ол өте күрделі келеді. Сондықтан барлық аналитикалық шешімдерді қабылдауға 1, 2 -ші формулаларды қолданады. Сырткы ауа температурасында кейбір мұнайлардың тұтқырлығы өте жоғары болады, сондыктан өндірісте қолдану үшін оны қыздыру керек. Кыздыру процесске байланысты жылу есептеулерін өткізу үшін λ жылуөткізгіштікпен
меншікті жылу сыйымдылық коэффиценттерін білу қажет.
-жылуөткізгіштік коэффицентін (вт/(мК) ) мына өрнекпен анықтайды:
(1. 6)
мұндағы
-293К температурасындағы мұнай тығыздығы;
Т-мұнай температурасы бұл аналитикалык өрнек 10% дәлдікпен 273-475 К температура аралығында әділетті болады. Мұнайдың меншікті жылу сыйымдылығын
барлык процесстерді айдау мен сақтау кездерінде тұрақты қысымда алынады. Ол мына аралықта 1, 16 : 2, 5 өзгереді. Сондықтан оны есептеулер жүргізгенде
2кДж/(кг К) тең деп аламыз. Нақты есептеулер жүргізгенде Крег формуласын қолдануға болады:
(1-7)
Мұнаймен жұмыс істегенде қиындататын спецификалық қасиеттер бар. Ең басты қасиеттерге өртке қауіптілік, электірлену, булану касиеттері және қоршаған ортаға зияндылығымен.
Өртке қауіптілігі. Мұнай жанар заттарға жатады, ауаның қалыпты құрамында өзінен-өзі жануы мүмкін. Өрт көзі оңай жанатын сұйықтарға тез әсер етеді. Оның көрсеткіштері будың тез және өзінен өзі жану болып табылады.
Газдың жану температурасы - өте төмен (зерттеу жағдайында) жанатын заттың үстінгі қабатында газ немесе бу қалыптасады, будың жану температурасы өте төмен, сондықтан өрт көзі кауіпті, бірақта жануға оның қалыпты температурасы қалыптасқан жоқ. Жану температурасы қалыптасқан жағдайда жану процессі қалыпты болады. Қызып өзінен өзі жанғанда от және от ұшқыны болмағанмен экзотермиялық реакция жылдамдыгы өседі де жанупрцессі от жалынымен аякталады.
Электірлену . Статикалык электрлену деп - катты, сұйық немесе газ тәріздес біртекті емес заттардың бір - бірімен үйкеліс кезінде пайда болатын электрлік зарядтар.
Мұнай, бензин, керосин, мұнай газдарының құбыр арқылы тасымалдағанда және сақтағанда, темір жол цистернасына, резервуарға, танкерлерге құйғанда статикалық электрөлшену кездеседі. Мұнай өнімдері жақсы ди-электрик болганмен, олар электр зарядтарын кеп уакытта сақтап калады.
Мұнай егер оңашаланған металл құбыр немесе құйылатын ыдыс үлкен потенциал алса жерлестіру заттары арасында ұшқын разряды болса, онда жану мүмкін.
Құбыр мен объектінің түрлерінің статикалық электрленуді жинамау үшін оларды жақсылап жерлестіру керек.
Булануы: Ашық ортада жеіл мұнайды қалыпты жағдайда газтеріздес түрге айналып қоршаған ортаға тарайды. Мұндай жағдайда мұнайдың сапасы төмендейді жалпы көлемі азаяды. Мұнай өнімдерінің булануы құрамындағы қаныққан будың қысымына байланысты. Қаныққан будың қысымы үлкен болса, онда мұнай өнімінің булануының, ықтималдығы көп. Қаныққан будың қысымы мұнай өнімінің үстінгі қабатындағы температураға тәуелді болады.
Температураның өсуіне байланысты қаныққан будың қысымы өседі.
Қаныққан будың қысымын экспериментальді түрде анықтайтын аспаптардың түрі көп.
Мұнай қысымын анықтағанда бастапқы қайнау температурасы немесе бершген температурадағы графигі немесе жартылай эмпирикалык формуласындағы тәуелділігі арқылы анықтауға болады.
2. 1. 2 Мұнайдың реологиялық қасиеттері
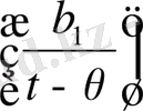
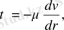
Сұйыктың қасиеттеріне байланысты ағыстардың сипаттамасын реологиялық деп атайды. Құбырдағы ағыстың бағалық сипаттамасы үшін ең маңызды реологиялық қасиеттері, градиент жылдамдығынан құбырдың радиусымен сұйықтың қатпарлы бетіндегі кернеудің үйкеліс күші тәуелділігі болып табылады.
Төмен дәрежедегі парафин және парафинистік мұнай үшін жоғарғы температурадағы Ньютонның эксперименталды жүзінде алынған судағы тәуелділікті колданамыз:
(1. 8)
мұндағы
-
динамикалық тұткырлық коэффициенті.
1
τ
2
τ 0
3
4
Dv/dr
Сурет 2 - Әр түрлі сұйықтар үшін кернеу жылуының жылдамдық жылжуына тәуелділігі
Көптеген сұйықтарда көрсетілген τ тәуелділік dv/ dr жылжымалы жылдамдықтан μ тұрактысында Ньютондық деп аталады және олар үшін графикалық көрсеткіш осы тәуелдлікте бастапқы координаталар аркылы өтетін түзуді (3) көрсетеді.
Жүргізілген көптеген сұйықтардың соның ішінде жогаргы парафинистік мұнайларында, салыстырмалы түрде жоғары емес температуралар Ньютон заңына сүйенбейді. Бұндай сұйықтарды Ньютондык емес деп атайды.
Парафинистік мұнай тәртібін қисык сызықты (2) деп бейнелеуге болады. Кең диапазонда псевдопластик үшін техникалық есептерден, кернеу дәреже теуелділік ретінде жылжымалы жылдамдык. мына түрде қолданылады:
(1. 9)
мұндағы k, n-берілген сұйықтық үшін тұрақты коеффициентер,
жылжымалы жылдамдықтың өлшеусіз модулі.
N коэффициентін ағыс индексі деп, ал k- сипаттамасы деп атайды. Ньютондык сұйықтық үшін n=1, k=μ және (1. 9) өрнектен (1. 8) өрнекті аламыз.
шамасы кейде тиімділік тұтқырлығы деп аталады.
Псевдопластик сұйықтық үшін n<1. Релогиялык, сипаттамаларыда уақыт бойынша өзгеретін сұйықтар кездеседі. Тұрақты жылжымалы жылдамдықта жылжымалы кернеудің уақыт бойынша өзгеруі, сұйвқтың құрылымының бұзылуын түсіндіретін, - тиксотропия, ал осы қасиеттерді қабылдайтын сұйықтар тиксотроптылық деп аталады.
2. 2 Мұнайды құбыр арқылы тасымалдау
2. 2. 1 Мұнай құбырларының жіктелуі
Мұнай құбыры деп - мұнай құбыр арқылы айдауды айтады. Егер құбыр арқылы мұнай өнімдерін айдағанда көбінесе оны - өнім құбыры деп атайды. Егер құбыр арқылы мұнай өніиінің бip түрі айдалынса, онда айдалынатын өнім бойынша бензиндік, керосиндік немесе мазут құбыры деп аталынады. Өзінің арнауы бойынша мұнай құбырлары үш түрге бөлінеді:
1. Ішкі құбырлар: Мұнай база және мұнай өңдейтін зауыттарында турлі объектілер және қондырғыларды байланыстрады.
2. Жергілікті: Ішкі құбырларға Қарағанда бірнеше километр аралықта орналасады. Мұнай өңдейтін зауыттарының темір жолына немесе кемеге құйылатын пункттерін немесе мұнай құбырының магистралдік бастапкы станциясымен кәсіпшілік пен байланыстрады.
3. Магистральдік. Үлкен аралықты байланыстырады. Трассаның қасында орналасқан станциялар арасында мұнай айдалынады. Магистралді құбыр тәулік бойы жыл ішінде жұмыс істейді. Ремонт немесе кездейсоқ жағдай кезінде қысқа мерізімдік уақытқа ғана істемейді. Магистралдік мұнай құбырының әр түрлі салыстырмалы диаметрі және ұзындығы болады. Мұнай 5-6, 5 МПа қысымда айдалынады. Жыл бойынша мұнай мен мұнай өнімдерінің миллион тоннасына дейін айдалынады. Товарлық мұнайларды мұнай өндірілетін немесе сақтайтын жерден пайдаланаушыға дейін (ВНТП 2-86 бойынша) магистралдік мұнай құбыры диаметрі 219 дан 1220мм - ге дейін, ұзындығы 50 км ден астам созылады. СниП 2. 05. 06 - 85 бойынша магистралдік мұнай құбырлары диаметрі бойынша төрт класқа бөлінеді.
Бірінші класс - шартты диаметрі 1000 - нан 1200 мм дейін;
Екінші класс - 500 ден 1000мм - ге дейш;
Үшінші класс - 300 ден 500мм- ге дейін
Төртінші класс - 300мм және одан да кем.
2. 2. 2 Магистралдік құбырлардың негізгі кешендері мен жасақтары
2. 2. 3 Мұнай айдаудың технологиялық схемасы
Айдау станциясы - бүл күрделі инженерлік жасақтар кешені айдайтын өнімі магистралдік қүбырға жібереді. Технологиялық схема деп - коммуникациялық принципиалдық схемасының айдау бойынша өткізілетін амалды қамтамасыз ететіндігін айтады.
Технологиялық схема бойынша койылатын негізгі талап ол олардың қарапайымдылығы, жоба бойынша қарастырылған технологиялық операцияларын тиек және реттеу арматурасын минималды саны бойынша жасау және бөлшектерді біріктіру, және де технологиялық кұбыр жолын минималды тартуын қамтамасыз ету.
Мұнай құбырмен айдау жүйесі сораптың косқышы және резервуардың аралық станциясының тәелділігіне қарай мұнай айдау жүйесі келесі түрлерін ажыратамыз: тізбекті, сорап станциясының бір резервуарынан кейінгісі, сораптан сорапқа қосылған резервуар арқылы.
Постанциялық айдау жүйесінде мұнайды резевуардың кезегі бойынша қабылдайды, ал келесі станцияға басқа резервуардан беріледі. Резервуардың кезекті толтыруы айдалған мұнайдың көлемін дәл анықтауға мүмкіндік береді, алдынғы станциядан айдалынған және де келесі станцияға айдалынатын мұнай көлемі де анықталынады. Осы айдау жүйесінде мұнайдың "үлкен тынысы" арқылы буланады, сондықтан өнделмеген мұнай мен мұнай өнімдері үшін орынды емес.
Сорап станциясында бір резервуардан кейін айдағанда: алдынғы станциядан келген мұнай буферлік ретінде қолданатын резервуарға келеді де содан қайтадан айдалынады. Бұл жүйеде мұнай айдалынғанда постанциялық есептеу жүргізілмейді. Мұнай шығыны бұл жерде де болады, өйткені резервуарда қозғалыс болғандықтан мұнай буланады. Сондықтан бұл жерде де постанциялық мұнайды айдау үшін ұсынылмайды.
Айдаудың қосылған резервуарымен жұмыс істеу түрі: мұнайдың резервуардағы деңгейі бір деңгейде тұрмайды ол мұнайдың айдалған және құйылған мұнайдың көлеміне тәуелді болады. Егер косылған сыймдылықтың жұмысы синхронды істегенде, онда мұнай көлемі бір деңгейде тұрады. Бұл жерде мұнай шығыны "кіші тыныс алудан" анықталады.
Алдыңғы атап кеткен үш жүйе поршендік насос арқылы жұмыс істейді, ол құбырға гидравликалық әсерін азайтады. Ал резервуарлар буферлік сыймдылық ретінде қолданады. Егер мұнай сораптан сорапқа айдалынса, онда аралық станциялардағы резервуарлар магистралға қосылмайды. Оларды тек қана құбырда авариялық және ремонт жағдайында мұнай қабылдағыш ретінде қолданады.
Тоқтатылған резервуар кезінде буланудан мұнай шығынына келтірмейді және де алдыңғы станциялардың қысымы қолданылады.
Бұл жүйе толық синхрондықты қарастырады және ортадан тепкіш сораппен жабдықталынған станциялар қолданылады.
Технологиялық тізбектей қосылған сорап станцияларын келесі негізгі объектілерге бөлуге болады: резервуарлық паркі, бірнеше қабылдайтын және жіберілетін құбырлары бар бірнеше резервуардан, сорапты цехтан, манифольд - ашық алаң немесе жабық алаңда, бұнда ысырма, кері клапан, фильтрлер және де т. б. ; қүбыр тазартқыш жіберу және қабылдау камерасы.
Негізгі айдау станциясының құрамына резервуарлық парк кіреді, оның сыйымдылығы мағыналы түрде құбырдың үздіксіз жұмыс істеуін қамтамасыз ететіндей болып келеді, ал тізбекті айдау да мұнай өнімінің нақты көлемін жинау үшін. Әдетте негізгі станцияның резервуарларының сйымдылығы екі немесе үш тәулік айдаудың көлеміне тең болып келеді. Тізбектей айдау кезінде негізгі станцияның резервуар көлемі циклдың санына байланысты есептелінеді.
Аралық станцияның резервуарлық паркінің сыйымдылығы өте аз болып келеді (көбісінде кездеспейді) . Резервуар паркін екі түр мен"байланыстыруға болады (сурет) :
Қазіргі магистралды құбырдың айдау станцияларында ортадан тепкіш сорап қолданады, көбінесе тізбектей қосылады. Кез келген агрегатты сақталған қорға ауыстырғанда сорап байланыстары жұмысты қамтамасыз ету керек.
Сурет 3 - Насостарды біріктіру схемасы:
О - басты насостар, П - тіректі насостар.
2. 2. 4 Құбырдың сипаттамалары
Құбырдың сипаттамасы деп-Н күшінің жоғалтулары мен Q шығыны арасындағы тэуелділігін айтады, яғни Н=f(Q)
(14) тендеуінен Н күші жалпы шығындары Һt үйкелісіне жоғалтулар мен ∆Z нивелирлі белгілер айырымынан өтуінен құралады және ол сораптың стансаларын өтуі керек, яғни
L / D
(15)
немесе
(16)
мұндағы
бірлік шығын болғандағы гидравликалық бұрылу.
Егер құбырда лупингтері бар бөлімдері болса, онда
тендеудің негізінде
сонда формулалар
немесе
(17)
мұндағы
хΛ-лупингті бөлімдердің қосылған үзындығы. Күш жоғалтуының U = f (Q) шығынына тәуелді графигі құбыр сипаттамасы деп аталады.
(15) -(17) тендеулері күбыр сипаттамасыньщ аналитикалық өрнектері болып табылады.
... жалғасы- Іс жүргізу
- Автоматтандыру, Техника
- Алғашқы әскери дайындық
- Астрономия
- Ауыл шаруашылығы
- Банк ісі
- Бизнесті бағалау
- Биология
- Бухгалтерлік іс
- Валеология
- Ветеринария
- География
- Геология, Геофизика, Геодезия
- Дін
- Ет, сүт, шарап өнімдері
- Жалпы тарих
- Жер кадастрі, Жылжымайтын мүлік
- Журналистика
- Информатика
- Кеден ісі
- Маркетинг
- Математика, Геометрия
- Медицина
- Мемлекеттік басқару
- Менеджмент
- Мұнай, Газ
- Мұрағат ісі
- Мәдениеттану
- ОБЖ (Основы безопасности жизнедеятельности)
- Педагогика
- Полиграфия
- Психология
- Салық
- Саясаттану
- Сақтандыру
- Сертификаттау, стандарттау
- Социология, Демография
- Спорт
- Статистика
- Тілтану, Филология
- Тарихи тұлғалар
- Тау-кен ісі
- Транспорт
- Туризм
- Физика
- Философия
- Халықаралық қатынастар
- Химия
- Экология, Қоршаған ортаны қорғау
- Экономика
- Экономикалық география
- Электротехника
- Қазақстан тарихы
- Қаржы
- Құрылыс
- Құқық, Криминалистика
- Әдебиет
- Өнер, музыка
- Өнеркәсіп, Өндіріс
Қазақ тілінде жазылған рефераттар, курстық жұмыстар, дипломдық жұмыстар бойынша біздің қор #1 болып табылады.

Ақпарат
Қосымша
Email: info@stud.kz