Электр тогының магнит өрісін оқытуда сатылай кешенді талдау технологиясын қолдану

Мазмұны
Кіріспе . . . 5
І Магнит өрісі
1. 1 Магнит өрісі және оның сипаттамасы . . . 7
1. 2 Био-Савар-Лаплас заңы және оны магнит өрісін есептеуге қолдану . . . 8
1. 3 Ампер заңы. Параллель токтардың өзара әсерлесуі . . . 9
1. 4 Магнит өрісінің қозғалыстағы зарядқа тигізетін әсері . . . 10
1. 5 Вакуумдағы магнит өрісі үшін магнит индукциясы векторының
циркуляциясы . . . 13
ІІ. Магнит өрісін оқытудың әдістемесі
2. 1 Электр және магнит өрістерін салыстыру арқылы оқыту . . . 16
- Вакуумдағы магнит өрісін оқыту әдістемесі . . . 21
- Токтардың өзара әсері. Магнит өрісі . . . 22Лоренц күші. Магнит өрісінің қозғалыстағы зарядқа әсері . . . 24"Магниттік индукция" түсінігін енгізудің екі тәсілін талдау . . . 26
- Физика сабағында оқытудың инновациялық технологияларын
пайдалану . . . 29
- Сатылай кешенді талдау технологиясы . . . 31
2. 6 Магнит өрісі тақырыбын оқытуда сатылай кешенді талдау
технологиясын қолдану . . . 34
Қорытынды . . . 43
Пайдаланылған әдебиеттер тізімі . . . 44
Кіріспе
Электродинамиканың дамуы барысында ғана ең алғаш рет ғылыми зерттеулер техникалық қолдануларда алда келеді. Электр двигательдерді, радиоқабылдағыштарды конструкциялау электродинамика заңдарын ашып зерттегеннен кейін ғана мүмкін болды.
Электродинамиканың техникадағы сан алуан қолданулары электр энергиясын өткізгіш сымның бойымен алысқа жеткізуге болатынына, оны тұтынушыларға бөліп тарату және онша күрделі емес құрылғылардың көмегімен энергияның бір түрін кез-келген басқа түрге, жарық энергиясына түрлендіру тоғы басқа мәселелерге негізделген.
Электр тогының магнит өрісі «Электродинамика» бөлімінің негізгі тарауларының бірі болып табылады. Сондықтан да электр тогының магнит өрісін оқыту әдістемесінің ғылыми деңгейінің жоғары болуы ғылыми мәселелерді әлеуметтік және жеке тұлғалық мәні бар міндеттер тұрғысынан сапалы түрде қарастыра алатын, табиғат және өмір құбылыстарын тереңірек түсінетін, ақпаратпен сапалы түрде жұмыс жасайтын жан-жақты дамыған, ой-өрісінен азаматты тәрбиелеуде маңызы өте зор.
Электр тогының магнит өрісін өз дәрежесінде оқыту нәтижесінде оқушылар зарядтар мен токтар арасындағы өзара әсерлерді жүзеге асыратын магнит өрісінің пайда болу фактілерін; Био-Савар-Лаплас, Ампер заңдарын, Ампер және Лоренц күштерінің бағытын анықтауға арналған ережелерді магнит өрісінің электр өрісінен өзгешелігін, яғни магнит өрісінің күш сызықтарының тұйықталған, сипаты құйынды екендігін, табиғатта магниттік зарядтардың болмайтындығын, магнит күштері индукция векторының бойымен емес, оған перпендикуляр бағытталатынын, магнит өрісі тек қозғалыстағы зарядтарға әсер ететінін толығымен ұғынады.
Сонымен қатар, жоғарыда көрсетілген тақырыптарды оқу барысында оқушыларда магнит өрісінің материялығы жөнінде ұғым қалыптасады. Тағы бір ескертетін жағдай, мұнда электродинамика мен Ньютон механикасын салыстыра отырып, электродинамиканың ерекшеліктері ашылып көрсетіледі. Мысалы, параллель токтардың өзара әсерлесуін бақылау нәтижесінде, оқушылар өткізгіштер арқылы өтетін токтың бағыты бірдей болғанда олардың бір-біріне тартылуын, қарама-қарсы болғанда тебілуінің себебін түсіндіре алмайды. Бұл жерде механикада қарастырылмайтын табиғаты электромагниттік күштердің пайда болатындығы, жақыннан әсер ету принципі жөніндегі оқушының көзқарасы қалыптасады.
Электромагниттік өріс турады ұғым әр түрлі өрістердің электростатикалық, стационарлық т. б. қасиеттері мен ерекшеліктерін түсіндіруге мол мүмкіндік береді.
Тақырыптың өзектілігі: Еліміздің болашағы көркейіп өркениетті елдер қатарына қосылуы бүгінгі ұрпақ бейнесінен көрінеді. Қазіргі білім беру саласындағы проблема әлеуметтік педагогикалық ұйымдастыру тұрғысынан, білім мазмұнына жаңалық енгізудің тиімді, жаңа әдістерін іздестіру мен оларды жүзеге асыра алатын мұғалімдерді даярлау болып табылады.
Мемлекеттік білім стандарты деңгейінде оқыту үрдісін ұйымдастыру жаңа педагогикалық технологияны ендіруді міндеттейді.
Мұғалім бір-біріне ұқсас күнделікті дәстүрлі сабақтар жүргізіп қоймай, жаңа әдіс-тәсілдерді пайдалану қажет. Бірсарынды сабақ оқушыны жалықтырады, ынтасын түсіреді. Оқушылардың ынтасын пәнге деген қызығушылығын арттыру мақсатында сабақ өткізудің жаңа үлгілерін пайдаланған жөн.
Жұмыстың мақсаты: Бұл жұмыста электр тогының магнит өрісі тақырыбын оқытуда сатылай кешенді талдау технологиясын қолдану ұсынылды. Бұл сабақтың ерекшелігі - оқушылардың бойына ізгілік, адамгершілік қасиеттерін дарытып, олардың жеке тұлға болып қалыптасуына өз үлестерін қосады. Сонымен қатар, оқушылардың алған білімдерін өмірге қолдана білуге, логикалық ойлауға, шығармашылыққа, өз бетінше еңбек етуге үйренетіндігі көрсетілді.
І Магнит өрісі
1. 1 Магнит өрісі және оның сипаттамасы
Қозғалыстағы зарядтар (токтар ) өздерін қоршаған қасиеттерін өзгертіп, онда магнит өрісін туғызады. Магнит өрісі материяның ерекше бір түрі болып табылады, ол арқылы қозғалыстағы зарядталған бөлшектер арасында өзара әсер жүзеге асырылады.
Магнит өрісінің электр өрісінен негізгі бір айырмашылығы - ол тек
қозғалыстағы зарядтарға ғана әсер етеді.
Электростатикалық өрісті зерттеу үшін сыншы заряд алғанымыз сияқты. Магнит өрісін зерттеу үшін тогы бар тұйық контур алынады. Тұйық контурдың өлшемі магнит өрісін тудыратын токтарға дейінгі қашықтықпен салыстырғанда өте кішкентай болуы тиіс. Контурдың кеңістікте орналасуы оған жүргізілген нормальдың бағытымен анықталады. Нормальдың оң бағыты үшін нормаль ұшынан қарағанда контурдағы токтың бағыты сағат тіліне қарсы болатын бағыт алынады.
Ауданы S тұйық контурға магнит өрісі тарапынан М күш моменті әсер етеді:
(1)
(2)
Мұндағы В - магнит индукциясынын векторы, яғни магнит өрісінің негізгі сипаттамасы болып табылады,
- контурдың магнит моменті.
Егер магнит өрісінін берілген нүктесіне магниттік моменті әр түрлі
контурларды орналастырсақ, онда оларға әсер ететін күш моменттері де әр түрлі болады. Ал М/Р
- қатынасы өрістін берілген нүктесі үшін тұрақты шама болады да, магнит өрісінін индукциясы деп аталады.
Контур нормалі өріс бағытына перпендикуляр орналасқан кезде айналу моментінің модулі ең үлкен мәнге ие болады:
(3)
В - магнит индукциясының модулі бірлік магнит моментіне ие болатын контурға әсер ететін максималь айналу моментіне тең, оның бағыты бұрғы ережесі бойынша аныкталады. Егер бұрғының ілгермелері токтың бағытымен дәл келсе, онда бұрғы сабының айналу бағыты магнит индукциясы векторының бағытымен дәл келеді.
Магнит өрісі күштің өріс болғандықтан, оны магнит индукциясының күш сызықтары арқылы сипаттайды. Магнит индукциясының күш сызықтары деп өрістің берілген нүктесінде жанама бағытымен бағытталған сызықтарды айтады. Магнит индукциясының күш сызықтарының ерекшелігі - олар әрқашан тұйықталған. Мұндай өрісті құйынды өріс деп атайды.
Магнит индукциясы бірлігіне ток күші 1 А болғанда ауданы 1м
контурға өріс тарапынан максималь күш моменті әсер еткендігі өрістің
магнит индукциясы қабылданған, оны Тесла (Тл) деп атайды.
Макротоктардың магнит өрісі магнит өрісінің кернеулігі арқылы
сипатталады:
(4)
Гн/м - магнит тұрақтысы;
- ортаның магнит өтімділігі.
Электростатикалық өріс пен магнит өрісін салыстыра отырып, электростатикалық өрістің ығысу векторының орнына, магнит өрісінің кернеулік векторы Н алынатындығын көреміз
1. 2 Био-Савар-Лаплас заңы және оны магнит өрісін есептеуге қолдану
Формасы мен өлшемі әр түрлі өткізгіштер арқылы ток өткенде пайда болатын магнит өрісін зерттеген француз ғалымдары Био және Савар болды. Зерттеулер нәтижелерін жалпылаған француз физигі Лаплас.
Бойынан І ток өтіп тұрған өткізгіштің dl элементінің кез-келген нүктесінде тудыратын магнит индукциясын анықтайтын формуланы БиоСавар-Лаплас анықтаған:
(5)
dl - бағыты ток бағытымен сәйкес келетін өткізгіш элементі, г -
dl
элементінен өріс анықталатын нүктеге дейінгі қашықтық,
- dl және r векторының арасындағы бұрыш, dB - векторы dl және r векторлары жатқан
жазыктыққа перпендикуляр.
Электр өрісі сияқты, магнит өрісі үшін де суперпозиция принципі
орындалады.
Бірнеше қозғалыстағы зарядтардың (токтардың) өрісінің қорытқы индукциясы әрбір токтың жеке-жеке туғызатын өріс индукциларының
векторлық қосындысына тең:
(6)
Бұл тұжырым магнит өрісінің суперпозиция принципі деп аталады.
Суперпозиция принципі мен Био-Савар-Лаплас заңын қолдана отырып әр түрлі токтардың магнит индукциясын есептеуге болады.
Шексіз түзу токтың магнит индукциясы:
(7)
Дөнгелек токтың магнит индукциясы:
(8)
1. 3 Ампер заңы. Параллель токтардың өзара әсерлесуі
Магнит өрісінің әр түрлі токтарға әсерлерін зерттеулер нәтижелерін жалпылай отырып, Ампер магнит өрісінде орналасқан тогы бар өткізгіштің dl
элементіне магнит өрісі тарапынан әсер ететін dF күштің шамасын
анықтады:
dF = JBdl sin
(9)
Ампер күшінің бағыты сол қол ережесімен анықталады. Егер сол қолды алақанға индукция векторы енетіндей етіп, төрт саусақты біріктіріп өткізгіштегі ток бағытымен сәйкестендірсе онда керілген бас бармақ Ампер күшінің бағытын көрсетеді.
Бойынан J
және J
токтар жүріп тұрған бір-біріне параллель R арақашықтықтағы шексіз ұзын түзу екі өткізгіштің өзара әсер күшін мына
өрнектен табуға болады:
(10)
Бірдей бағытпен ағатын екі параллель ток өзара тартылады, ал қарамақарсы бағытталған екі параллель ток өзара тебіледі.
Егер параллель орналасқан бойынан ток өтіп тұрған екі өткізгіш вакуумда (
= 1) орналасқан болса, онда өткізгіштің dl элементіне әсер
ететін күш:
(11)
Ток күшінің өлшеміне Ампер (А) кабылданған
Ампер деп вакуумда бір-бірінен 1 м ара қашықтықта орналасқан шексіз ұзын параллель екі өткізгішпен ток өткенде олардың арасында әрбір метр ұзындыққа 2*10
Н-ға тең күш әсерін туғызатын ток күшін айтады.
Магнит тұрақтысы
-дің мәнін табу үшін:
=1 A; R=1м;
Н/м;
болса, онда
Гн/м
Ампер заңы магнит индукциясының өлшем бірлігін анықтауға мүмкіндік береді:
(12)
1 Тесла - магнит өрісіне перпендикуляр орналасқан тузу өткізгіштің бойынан 1 А ток өткенде, 1 м ұзындығына 1 Н күшпен әсер ететін магнит
индукциясы.
Магнит өрісінің кернеулігінің өлшем бірлігі (А/м) . 1 А/м - вакуумдағы
магнит индукциясы4
· 10
Тл болатын өріс кернеулігі.
1. 4 Магнит өрісінің қозғалыстағы зарядқа тигізетін әсері
Көптеген эксперименттердің нәтижелері магнит өрісі тек тогы бар
өткізгішке ғана емес, сол сияқты кез-келген қозғалыстағы зарядтарға да әсер
ететіндігін көрсетті. Магнит өрісінде
жылдамдықпен козғалатын q
зарядқа әсер ететін күш Лоренц күші деп аталады. Лоренц күшін табу үшін, біртекті магнит өрісінде өріс бағытымен
бұрыш жасап орналасқан ұзындығы 1 өткізгіш алынады. Тогы бар өткізгіштің dl элементіне әсер ететін күш Ампер заңына сәйкес:
F = JBdl sin а (13 )
Электрондық теорияға сәйкес:
(14)
Мұндағы е - электрон заряды,
- өткізгіштің бірлік көлеміндегі еркін электрондардың саны,
- электрондардың бағытталған қозғалысының жылдамдығы, S - өткізгіштің көлденең қимасының ауданы.
(15)
(16)
Әрбір жеке зарядқа әсер ететін Лоренц күші.
(17)
(18)
Бұл өрнекті бірінші рет голланд физигі Лоренц шығарған болатын, сондықтан оны Лоренц күші деп атайды. Лоренц күшінің бағыты сол қол ережесімен анықталады. Егер сол қолды алақанға индукция векторы ететіндей етіп, төрт саусақты біріктіріп электрондар жылдамдығының бағытымен сәйкестендіріп ұстаса, онда керілген бас бармақ Лоренц күшінің бағытын көрсетеді. Сөйтіп, Лоренц күші зарядтардың жылдамдығына перпендикуляр болып, оларға нормаль үдеу беріп отырады. Бұл күш зарядтардың жылдамдығының бағытын ғана өзгертеді. Олай болса,
жылдамдыктың шамасы мен оның кинетикалық энергиясы магнит өрісінде өзгермейді. Лоренц күші магнит өрісінде ешқандай жұмыс істемейді. Жалпы магнит өрісіндегі қозғалыстағы зарядқа магнит өрісінен басқа, кернеулігі Е электр өрісі де әсер етеді. Олай болса, зарядқа әсер етуші қорытқы күш электрлік күш пен Лоренц күшінің қосындысына тең болады.
(19)
Бұл өрнек Лоренц формуласы деп аталады. Практикада есептеулерде бұл күштің тек магниттік құраушысы ғана қарастырылады. Тағы да ескертетін жағдай, магнит өрісі еш уақытта тыныштықта тұрған электр зарядына әсер етпей, тек қана қозғалыстағы зарядтарға ғана әсер етеді.
Бұл тұрғыда магнит өрісінің электр өрісіне өзіндік ерекшелігінің бар екендігін байқауға болады.
Лоренц күші үшін табылған өрнек магнит өрісінде зарядталған бөлшектердің қозғалу заңдылықтарын зерттеуге мүмкіндік береді. Лоренц күшінің бағыты және магнит өрісіндегі зарядталған бөлшектердің ауытқуы зарядтың таңбасына байланысты. Енді осы айтылған жалпы заңдылықты тұжырымдау үшін біріншіден, магнит өрісі біртекті болсын, екіншіден ұсақ бөлшектерге электр өрісінің әсері болмайды деп ұйғарамыз. Егер зарядталған
бөлшектер
жылдамдықпен магнит индукциясының бағытына сәйкес қозғалса, онда жылдамдық пен магнит индукциясының арасындағы бұрыш нольге тең болады. Себебі зарядтарға ешқандай Лоренц күші әсер етпейді. Сөйтіп, олар бірқалыпты түзу сызықты қозғалыс күйін сақтайды.
Ал зарядталған бөлшектерге Лоренц күші әсер етуі үшін олардың жылдамдықтары магнит индукция бағытына перпендикуляр бағытта, яғни арасындағы бұрыштың шамасы нольге тең болмауы мүмкін. Сөйтіп, Лоренц күшінің мәні тұрақты болып және зарядтардың траекториясына нормаль бағытта әсер етеді. Бұдан зарядталған бөлшектердің қозғалысы шеңбер бойымен бағытталған болып шығады. Олай болса, зарядтардың қозғалысы кезіндегі шеңбер радиусы төмендегідей анықталады:
(20)
(21)
Зарядталған бөлшек шеңберді толық бір айналып шыққанда 2
R жол
жүреді, сонда оған кеткен уақыт:
(22)
R-дің мәнін қойсақ:
(23)
Осы табылған өрнек практикада зарядталған бөлшектердің қозғалысын үдету үшін қажетті қондырғыларда, яғни циклотрон, фазотрон, бетатрон т. б. қондырғылардың жұмыс істеуі үшін қолданылады.
Магнит өрісінде қозғалған зарядқа әсер етуші Лоренц күші мынадай құбылысты түсіндіруге мүмкіндік береді. Егер магнит индукциясының күш сызықтарына перпендикуляр болып орналасқан тік төртбұрышты өткізгіштің бойынан ток жүрсе, оның екі жағында потенциалдар айырмасы пайда болады. Яғни, бір жағында тек теріс зарядтардың концентрациясы шоғырланса оның қарама-қарсы бетінде тек оң зарядтардың жинақталғанын байқаған. Осы кұбылысты бірінші рет 1879ж американ физигі Э. Холл ашқан болатын. Сондықтан бұл заңдылықты Холл эффектісі деп атайды.
Сөйтіп зарядтардың стационарлық күйі сол зарядтарға әсер етуші Лоренц күші F
электр күшіне Ғ
тең болғанда ғана қалыптасады.
(24)
Егер
болса, онда
(25)
(26)
d - пластинка ені.
(27)
- Холл тұрақтысы
(28)
Холл тұрақтысын өлшеу арқылы өткізгіштердегі заряд тасымалдаушылардың концентрациясын, жартылай өткізгіштердің типін анықтауға болады.
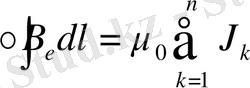
1. 5 Вакуумдағы магнит өрісі үшін магнит индукциясы векторының циркуляциясы
Магнит өрісіндегі тұйық контурдың индукция векторының циркуляциясы деп мынадай интегралды айтады:
(29)
Кез-келген тұйық контур арқылы өтетін магнит индукциясы векторының циркуляциясы магнит тұрақтысын контур арқылы өтетін токтардың алгебралық қосындысына көбейткенге тең:
(30)
мұндағы n - контур арқылы өтетін ток саны.
Бұл вакуумдағы магнит өрісі үшін толық ток заңы болып табылады.
Егер электр өрісі кернеулік векторының циркуляциясы
болса,
магнит индукциясы векторының циркуляциясы нольге тең болмайды. Сондықтан мұндай өрістерді құйынды өріс деп атайды.
Егер магнит өрісінде индукция векторы В шамасы жағынан барлық жерде бірдей және бағыттас болса, онда мұндай өрісті біртекті магнит өрісі деп атайды. Осындай өрісте индукция векторының күш сызықтары параллель болып келеді.
Осындай біртекті өрісте ауданы dS бет перпендикуляр орналасса, онда индукция векторының жазық беттің ауданына көбейтіндісі осы бет арқылы
өтетін магнит ағыны деп аталады:
dФ= BdS (31)
Егер жазық бет индукuия векторына нормаль бағыты бойынша
бұрыш жасай орналасса, онда магнит ағыны
dФ = BdS cos
;
(32)
Магнит ағыны скалярлық шама. Ол cos
бұрышының таңбасына байланысты әрі оң, әрі теріс мәнді бола алады, яғни n нормальдың оң бағытына сәйкес анықталады. Тұйық контурдың беті арқылы өткен магнит
ағыны әр уақытта оң деп есептеледі.
Кез-келген бет арқылы өтетін магнит ағыны:
(33 )
Магнит ағынының өлшем бірлігіне Вебер (Вб) алынады. Вебер деп
біртекті магнит өрісіне перпендикуляр орналасқан ауданы арқылы өтетін индукциясы 1 Тл-ға тең магнит ағынын айтады.
Кез-келген тұйық бет арқылы өтетін магнит ағыны әр уақытта нольге тең болады.
(34)
Бұл магнит өрісі үшін Остроградский - Гаусс теоремасы деп аталады.
Гаусс теоремасы магнит индукциясының сызықтары тұйықталған екендігін, табиғатта магниттік зарядтардың болмайтындығын көрсетеді.
Мысалы, ауданы S соленоидтың бір орамы арқылы өтетін магнит
ағыны:
Ф = В·S (35)
Барлық N орам арқылы өтетін ағын:
(36)
Тогы бар өткізгішке магнит өрісінің әсері электромоторларда электр энергиясын механикалық энергияға түрлендіру үшін қолданылады. Сыртқы магнит өрісінде тогы бар өткізгіш орын ауыстырғанда Ампер күшінің әсерінен жұмыс істеледі.
dA =JdФ (37)
Сонымен, магнит өрісінде тогы бар өткізгіш орын ауыстырғанда істелетін жұмыс ток күші мен dS ауданы арқылы өтетін магнит ағынының көбейтіндісіне тең.
ІІ. Магнит өрісін оқытудың әдістемесі
2. 1 Электр және магнит өрістерін салыстыру арқылы оқыту
Физика курсында осы екі өрістің табиғаты мен қасиеттері туралы біршама мағлұматтар беріледі. Бұл материалдардың деңгейі мен тереңділігі және жанжақтылығы әжептәуір болғанымен, физиканы тереңдете оқытатын мектептер үшін мүлдем жеткіліксіз. Бір - бірінен айыруға келмейтін, медальдің екі беті секілді электродинамикада маңызы ерекше бұл ұғымдар туралы түсініктерді оқушының санасында берік қалыптастыру шаралары да оқулықта ескерілмеген.
Алдымен электр және магнит өрістері туралы оқушының түсінігін кеңейту мақсатымен олардың негізгі ерекшеліктері мен айырмашылықтарына жете көңіл аудару қажет. Бұл мәселе 1 - кесте бойынша жүзеге асырылады.
Өрістің екі түріне де ортақ қасиеттер:
1. Өрістің екі түрін де электр зарядтары туғызады.
2. Өрістің екі түрі де зарядқа әсер етуші күш туғызады.
3. Өрістердің ерекшеліктері күш сызықтарымен бейнеленеді.
4. Екеуі де бір электромагниттік өрістің бір - біріне ұқсамайтын
құраушылары.
5. Өрістің екеуі де көзбен көріп, қолмен ұстауға келмейтін материның
айрықша бір түрі.
6. Екеуінің де әсері зарядқа жарық жылдамдығына тең жылдамдықпен
беріледі.
7. Екеуі де векторлық шамалар.
Әрине, бұл кестені әле де кеңейтіп, толықтыра беруге болады. Онын есесіне магнит индукциясына байланысты оқушылар көңіл аудара бермейтін кейбір мәселелерге тоқталайық. Кестенің 4- тармағындағы магнит индукциясын анықтауға арналған өрнегін түрінде жазуға болады.
1 - кесте
- Іс жүргізу
- Автоматтандыру, Техника
- Алғашқы әскери дайындық
- Астрономия
- Ауыл шаруашылығы
- Банк ісі
- Бизнесті бағалау
- Биология
- Бухгалтерлік іс
- Валеология
- Ветеринария
- География
- Геология, Геофизика, Геодезия
- Дін
- Ет, сүт, шарап өнімдері
- Жалпы тарих
- Жер кадастрі, Жылжымайтын мүлік
- Журналистика
- Информатика
- Кеден ісі
- Маркетинг
- Математика, Геометрия
- Медицина
- Мемлекеттік басқару
- Менеджмент
- Мұнай, Газ
- Мұрағат ісі
- Мәдениеттану
- ОБЖ (Основы безопасности жизнедеятельности)
- Педагогика
- Полиграфия
- Психология
- Салық
- Саясаттану
- Сақтандыру
- Сертификаттау, стандарттау
- Социология, Демография
- Спорт
- Статистика
- Тілтану, Филология
- Тарихи тұлғалар
- Тау-кен ісі
- Транспорт
- Туризм
- Физика
- Философия
- Халықаралық қатынастар
- Химия
- Экология, Қоршаған ортаны қорғау
- Экономика
- Экономикалық география
- Электротехника
- Қазақстан тарихы
- Қаржы
- Құрылыс
- Құқық, Криминалистика
- Әдебиет
- Өнер, музыка
- Өнеркәсіп, Өндіріс
Қазақ тілінде жазылған рефераттар, курстық жұмыстар, дипломдық жұмыстар бойынша біздің қор #1 болып табылады.
Ақпарат
Қосымша
Email: info@stud.kz
(9)