Имитатциялық модельдеу имитатциялық модельдеуді ұйымдастыру


Жұмыс түрі: Материал
Тегін: Антиплагиат
Көлемі: 38 бет
Таңдаулыға:
Мазмұны
1 Имитатциялық модельдеу имитатциялық модельдеуді ұйымдастыру. . 3
1. 1 Имитациялык модельдеудің кезеңдері. . 3
1. 2Мәселені қою . . . 3
1. 3 Матиматикалық модельді құрастыру . . . 4
1. 4 Программа жасау5
1. 5 Модельдеудің сәйкестігін бағалау . . 5
1. 6 Эксперементтерді жоспарлау . . 6
1. 7 Модельдеудің нәтижелерін өңдеу. . 7
1. 8 Модельдеуші алгоритм құру. . 7
1. 9 Жетекпен өткізу принципі . 9
2. 0 Математикалық үміт пен дисперсияның тұрақталған мәнін табуға қажетті нақтылама саны 9
2. 1 Чебышев теңсіздігі мына өрнекпен бейнеленеді 11
2. 2 Көпшілікке қызмет көрсету жүйелерін модельдеу. 11
2. 3 Бірканалды көпшілікке қызмет көрсету жүйесін модельдеу. 12
2. 4 Жұмысы сенімсіз элемментті көпшілікке қызмет көрсету жүйелерін модельдеу . . 13
2. 5 Салыстырмалы приоритетті көпшілікке қызмет көрсету жүйелерін модельдеу14
1 ИМИТАЦИЯЛЫҚ МОДЕЛЬДЕУ
1. 1 Имитациялык модельдеудің кезеңдері
Зерттелетін жүйелер мен объектілердің әр алуан болуына карамастан, оларды имитациялық модельдеу үшін көбінесе мына алты кезеңді бірінен соң бірін орындау қажет:
- мәселені қою;
- математикалық модельдер құру;
- компьютерге арналған программа жасау;
- модельдің түпнұсқаға сәйкестігін бағалау;
- эксперименттердің жоспарын жасау;
- модельдеудің нәтижелерін өңдеу.
Осы кезеңдердің әрқайсысына жеке тоқталайық.
1. 2 Мәселені қою
Имитациялық модельдеу, басқа да зерттеу әдістері сияқты, мәселені қоюдан, яғни модельдеудің мақсатын және осы модельдерді құру кезінде ескеретін әр түрлі шектеулерді сипаттаудан басталады.
Имитациялық модельдеудің мақсаты ретінде жауабы ізделіп отырған маңызды сұрақ, әлде тексеруді қажет ететін жорамал немесе ықпалын бағалайтын әсер бола алады .
Мысалы, имитациялық модельдеуді мына сұрақтарға жауап іздеу үшін пайдалануға болады: датчиктерден жауап алатын жаңа алгоритм күрделі қондырғыштардың жұмысына қандай әсер тигізеді немесе оперативті жоспарлаудың нақтылы әдістері өндіріске жұмсалатын қаржыны қанша өнімдейді. Имитациялық модельдеудің мақсаты ретінде, жоғарыда айтылғандай, әр түрлі жорамалдардың ақиқаттығын тексеру де бола алады. Мысалы, кейбір күрделі жүйелердің болашақтағы жағдайы туралы жасалған жорамалды тексеру немесе автобус маршрутының өзгеруі, оның салонының толуын қамтамасыз етеді деген болжамды тексеру, әлде мемлекеттік қорыққа шеттен әкелген тауарлардың жаңа түрі оның экологиялық тепе-теңдігін бұзады деген жорамалдарды тексеру болуы мүмкін. Енді имитациялық модельдеудің мақсаты ретінде әр түрлі әсерлердің ықпалын тексерудің де бір мысалын келтіре кетейік. Металлургиялық пештерде металды қорыту процесінің нәтижесіне, осы пешке үрлеп тұратын ayaғa қосылатын таза оттегінің әсері зор. Сондықтан осы процесті имитациялық модельдеудің мақсаты ретінде байытылған ауадағы оттегі мөлшерінің металл шығымына әсерін анықтау бола алады . Енді осы имитациялық модельдеу кезінде ескеретін шектеулерді бейнелеу туралы бір-екі сөз айту қажет. Бұл жұмыс зерттеліп отырған объектінің немесе жүйенің сипаттамаларын анықтаудан басталады. Осы бағыттағы бірінші қадам қаралып отырған объект қандай бөлшектерден тұратынын анықтауы керек. Келесі қадам, осы объектінің елеулі параметрлері мен айнымалыларын айқындау және солардың мөлшерлеріне қойылатын шектеулерді табу. Үшінші қадамда осы елеулі параметрлер мен айнымалылардың біріне-бірінің әсерін талдай отырып, олардың имитациялық модельдеу нәтижесіне ықпалын табу кажет.
1. 3 Математикалық модельді құрастыру
Математикалық модель деп, зерттеліп отырған жүйелердегі процестердің сипаттамалары мен осы жүйелердің елеулі параметрлерінің, бастапқы шарттарының кіріс айнымалыларының арасындағы байланысты бейнелейтін қатынастар жинағын айтамыз. Күрделі жүйелерді құрастыратын элементтердің әртектілігі және олардың неше түрлі кездейсоқ факторлардың әсері ортасында жұмыс істеуі осы жүйелерді және олардың элементтерін модельдеу үшін әр түрлі математикалық сұлбаларды колдануға мәжбүр етеді. Солардың ішінен имитациялық модельдеу кезінде жиі қолданатын келесі сұлбаларды атап кетуге болады: дифференциалдық және айырымдық тендеулер, марков процестері, көпшілікке қызмет көрсету жүйелері, динамикалық жүйелер, агрегаттық жүйелер, ықтималдық автоматтар. Осы сұлбаларды зерттеудің математикалық әдістерінің жақсы дамығанын ескерсек, оларды күрделі жүйелер элементтерінің моделі ретінде пайдалануға болатынын дәлелдеу керек жоқ . Сондықтан бүл сұлбалар имитациялық модельдеу әдісінің үлгілі сұлбалары деп аталады . Математикалық модельдерді құрастыру кезінде назарға ұстайтын тағы бір мәселе бар. Ол ешқандай математикалық модельдің зерттеліп отырған процестерге дәл сәйкес бола алмайтыны, тек қана осы процестердің, алға қойылған мәселелерге тән, ең елеулі сипаттамаларын бейнелей алатындығын ұмытпау керек. Осыған байланысты математикалық модель қаншама күрделі болуы қажет деген сұрақ туады . Бір жағынан қарағанда, іс жүзінде кездесетін жүйелер өте күрделі, сондықтан оларды бейнелейтін модельдер де күрделі болуы керек деген тұжырымға келуге болады. Бірақ бұл тұжырымның дұрыстығының шегі болуы қажет. Себебі өте күрделі модельдерді құрастыру мүмкін болғанмен, оларды пайдалану өте көп уақыт алады және осы модельдерді бейнелейтін күрделі математикалық қатынастарды шешкен кезде көптеген қателер жіберіледі де, алынған нәтижелердің пайдасы жоққа шығады. Сондықтан жылдам жүзеге асырылатын және алға қойылған мәселелерді зерттеуге жеткілікті дәлдікпен сипатталатын модельдерді кұрастыру қажет. Тағы бір ескеретін жәй, күрделі жүйелерді имитациялық модельдеу кезінде олардың математикалық моделін түрлендіру арқылы зерттеліп отырған процестердің әр қадамын бірінен соң бірін бейнелеп отыратын модельдеуші алгоритм кұру керек. Бұл алгоритм карастырылып отырған процестердің логикалық кұрылымы, хал-күйі және кұрамы туралы ақпаратты сақтауы тиіс.
1. 4 Программа жасау
Имитациялық модельдеудің бұл кезеңінде зерттеушінің алдында оны қай алгоритмдік тілде жазу керек деген сұрақ туады. Соңғы жылдары компьютермен модельдеудің тез дамуына байланысты имитациялық модельдеуге арналып жасалған көптеген алгоритмдік тілдер пайда болды. Бірақ осы тілдердің көбісі белгілі бір математикалық сұлбамен бейнеленген обьектілерді модельдеуге ғана бағытталған. Мысалы, GPSS деген тіл көпшілікке қызмет көрсету жүйелерінің жұмысын модельдеуге бейімделсе, SlMULA тілі арнайы көп мөлшерлі теңдеулермен бейнеленетін экономика жүйелерін имитациялауға арналған. Универсалды тілдерге қарағанда бұл арнайы тілдердің программасын тезірек кұрастыруға болады және осы арнайы имитациялық тілдердің құрамында программаны құрастырғанда жіберілетін қателерді тез табу амалдары ескерілген . Дегенмен, имитациялық модельдеу кезінде универсалды тілдер де (Паскаль, Си, Фортран, Бейсик) жиі қолданылады. Бұл тілдердің де имитациялық модельдеуге тиімді біраз қасиеттері бар. Мысалы, біраз күрделі жүйелерді (автоматтандырылған басқару жүйелерін, ақпаратты іздеу жүйелерін) модельдеген кезде осы модельдеуден алған нәтижелерді көрсету түрінің мағынасы зор. Ал программа арқылы алынған нәтижелерді әр түрлі сұлбада басып шығару тәсілдеріне универсалды тілдер өте бай келеді. Сондықтан зерттеушінің алдында программалау тілін таңдау мәселесі тұра қалса, ол өзі жақсы меңгеретін тілге тоқтауы дұрыс деп есептейміз. Қанша тиімді болғанымен, өзін дұрыс игермеген тілді пайдаланғанша, білетін программалау тілін қолдану тез де және сенімді де болады.
1. 5 Модельдеудің сәйкестігін бағалау
Өте күрделі жүйелерді зерттегенде кездесетін проблемалардын бірі, ол бұл жүйелердің модельдерінің қандай болмасын, осы жүйеге тән процестерді толық сипаттай алмайтындығы. Сондықтан жақсы модель деп, осы жүйедегі өзгерістердің, оның негізгі көрсеткіштеріне әсерін дұрыс білдіретін модельдерді айтады . Алынған модельмен осы модель бейнелейтін процестердің сәйкестігін тексеру әлде, басқаша айтқанда, кұрастырылған модельді бағалау қажет.
Математикалық модедьдерді бағалау көбінесе үш сатыдан тұрады.
Бірінші сатыда зерттелетін процесс пен оның моделінің тұрпайы сәйкестігі тексеріледі. Тұрпайы модель мынандай сұраққа болымды жауап беруі керек. Егер осы модельге, қарастырылып отырған жүйенің маңызды параметрлері мен айнымалыларының шектік мағыналарын қойғанда, абсурдты нәтижелерге әкеліп соқпай ма?
Тексерудің екінші сатысында модель жасау алдындағы бастапқы болжамдарды тексеру керек. Яғни, модельденетін жүйенің қандай параметрлері мен айнымалыларын маңызды деуге болады және құрылған модельде елеулі параметрлердің бәрі ескерілген бе?
Елеулі айнымаларды анықтау үшін, олардың жүйе жұмысының баламасына әсерін білу кажет. Ал модельде барлық елеулі параметрлер мен айнымалылардың қамтылғанын анықтау үшін статистикалық анализ әдістерін, мысалы, тиімділік көрсеткішінің дисперсиясын пайдалануға болады.
Модельдің сәйкестігін бағалаудың үшінші сатысында жүйенің кіріс айнымалыларын түрлендіру тәсілдері тексеріледі. Осындай тексерудің негізі ретінде дисперсиялық, регрессиялық, факторлық, спектральдық талдаулар, автокорреляция, келісім баламасымен тексеру, статистикалық тандамалардың математикалық үміті мен дисперсиясын бағалау әдістері қолданылады.
Жасалған модельдерді бағалағанда, олардың іс жүзінде қолданушыларға қолайлылығын естен шығармау кажет. Осы айтылған жағдайларды қорыта келіп, жасалған модельді жақсы модель деп санау үшін ол:
- іс жүзінде қолданушыға қолайлы және анық;
- басқаруға жеңіл;
- ол арқылы алынған нәтижелер дұрыс және толық;
- жаңа талаптар бойынша өзгертулер енгізуге бейімделген болуы қажет екенін анықтаймыз.
1. 6 Эксперименттерді жоспарлау
Жасалған модельдің зерттелетін жүйеге немесе объектіге сәйкес екенін дәлелдегеннен кейін оны имитациялық модельдеуге кірісу керек. Яғни зерттеліп отырған объектінің берілген уақыт аралығындағы жұмысын, осы мерзімнің басынан аяғына дейін бейнелеп шығу қажет. Осындай бейнелеуді келешекте имитациялық модельдеудің бір нақтыламасы деп атаймыз.
Осы бір нақтыламаның арқасында анықталған корсеткіштердің мәні, әрине, қарастырылып отырған объектілердегі процестің объективті сипаттамасы бола алмайды. Себебі имитациялық моделъдеу әдісі, іс жүзінде кездесетін әр түрлі (станоктың сынып қалуы, жұмысшының жұмысқа кешігуі, шикізаттың жетіспеуі және т. б. ) кездейсоқтықтардың бұл процеске әсерін бейнелей алатындығынан, осы көрсеткіштердің мәні де кездейсоқ шама болады. Сондықтан имитациялық модельдеудің нәтижесінде анықталатын көрсеткіштердің мағынасын бірнеше нақтыламалардың орта мәні ретінде ғана қарастыру керек. Егер осы нақтыламалардың санын (n) жеткілікті мөлшерде тағайындасақ, үлкен сандар заңына сәйкес, керсеткіштің мағынасы тұрақты болып, оның іс жүзіндегі мәнін дәлірек сипаттайды. Кейде имитациялық модельдеудің бір нақтыламасының нәтижесі де дәл сипаттама бере алады. Ол үшін модельденіп отырған объектідегі процестер эргодикалық касиетке ие болуы керек.
1. 7 Модельдеудің нәтижелерін өндеу
Имитациялық модельдеу нақтыламаларын жузеге асырғаннан кейін оның нәтижелерін өңдеу қажет. Жоғарыда айтылғандай имитациялық модельдеу көбінесе өте күрделі жүйелерді зерттеуге қолданылады және модельдеу кезінде бір емес, бірнеше нақтыламалар алынады. Сондықтан осы жүйелердегі процестерді толық сипаттау үшін модельдеу барысында көптеген параметрлер мен айнымалылардың мағынасын қадағалап компьютердің жадында ұстау қажет. Ал осы көп деректерді өңдеу үшін біраз уақыт және күш салу керек. Өте күрделі жүйелерді модельдегенде осынша деректермен жұмыс істеу қазіргі компьютерлердің де қольнан келмейтіні анық. Сондықтан имитациялық модельдеу барысында осы көп деректерді компьютердің жадында сақтау және өңдеу әдістерінің біраз ерекшеліктері болуы тиіс. Ең басты ерекшелік - имитациялық модельдеудің нәтижелері ең аяғында ғана емес, осы модельдеудің басынан бастап біртіндеп анықтала бастауы керек және әр көрсеткіш компьютердің жадының бір ғана бөлшегін алып, оның жаңа мәні бұрынғы мөлшерін түрлендіру арқылы қайтадан осы бөлшекте сақталуы тиісті. Имитациялық модельдеу кезінде көптеген кездейсоқтықтардың әсерін ескергендіктен, оның біраз көрсеткіштері де кездейсоқ шамалармен бейнеленуі мүмкін. Сондықтан осы кездейсоқ шамалардың мағынасы ретінде матиматикалық үміттер, дисперсиялар және тағы басқа ықтималдылық сипаттамалары қолданылады. Осы алты саты, әрине, жалғыз имитациялық модельдеу кезінде ғана емес, басқа да зерттеулерде кездеседі. Алайда, имитациялық модельдеудің кейбір сатылары басқа зерттеулердің осындай сатыларынан біраз айырмашылығымен танылады. Осындай сатыларға математикалық модель құру , эксперименттерді жоспарлау және оның нәтижелерін өндеу сатылары жатады. Сондықтан имитациялық модельдеудің осы айырмашылықтарымен танысуды математикалық модель құру сатысының ең басты, яғни бұл модельдерді түрлендіру арқылы модельдеуші алгоритмдерді кұру ерекшелігінен бастайық.
1. 8 Модельдеуші алгоритм құру принциптері
Күрделі жүйелерді имитациялық модельдеу кезінде оның математикалық моделін түрлендіру арқылы модельдеуші алгоритм құрылады. Содан кейін осы алгоритм, қарастырылып отырған процестердің әр қадамын компьютер арқылы қадағалап бейнелеуге, яғни имитациялауға қолданылады. Имитациялау барысында осы процесті сипаттайтын ақпараттың логикалық кұрылымы, түрі мен құрамы және түрлену мезгіл тізбегі бұзылмауы қажет.
Енді осы модельдеуші алгоритмдерді құрудың негізгі принциптерімен танысайық.
t принципі
Күрделі жүйелердің жұмыс барысын бейнелеу үшін мынадай сипаттамаларды қолданайық
Z(t) ={ Z
(t), Z
(t), …, Z
(t)
Сонда, осы жүйелерде өтіп жатқан процестерді модельдеу үшін Z
(t)
функциясын табу қажет және осы функция бойынша керекті көрсеткіштердің мөлшерлерін есептеу керек. Ол үшін, ең бірінші, математикалық модельдің қатынастарын Z(
)
(
<t болсын)
функциясы бойынша Z
{t+
t}
анықтауға ыңғайландырып түрлендіру керек. Детерминді процестерде Z
(t)
функциясының t
0
,
.
мезгілдердегі мәндерін рекуррентті қатынастар арқылы табуға болады. Яғни
бойынша
функциясын,
және
бойынша
функциясын табуға, ал жалпы алғанда
тәуелділігін қолдануға болады.
Кездейсоқ (стохастикалық) процестерді сипаттаудың сәл өзгешелігі бар. Бұл жағдайда процестердің
сипаттамалары тікелей тәуелділігінен табылмайды. Бұл тәуелділік тек қана осы
кездейсоқ функциясының үлестірім заңын анықтайды. Содан кейін осы заңға сәйкес кездейсоқ
функциясының бір мәні алынады. Осындай операцияны бірнеше рет қайталап, модельденіп отырған процестің [
] аралығындағы бір нақтыламасын бейнелеуге болады.
принципі іс жүзінде кездесетін әр түрлі жүйелерді қамтитын көптеген модельдеуші алгоритмдерді кұрастыруға негіз бола алатын уииверсалды принцип. Алайда, бұл принцип компьютерді қолданғанда ең көп есептеуді талап етеді.
Ерекше жағдай принципі
Әр түрлі күрделі жүйелерді зерттегенде олардың көбінесе екі күйде болатыны анық байқалады: әдеттегі және ерекше күйлері. Жүйе көбінесе әдеттегі күйінде болады, тек қана оған сырттан жаңа ақпарат, әлде әр түрлі әсер келіп түссе немесе осы жүйенің кейбір көрсеткіштері өзінің шектік мәндерінен асып кетсе, аз уакыт аралығында бұл жүйе ерекше күйде болады. Осы ерекше жағдайға сәйкес уақыт мезгілдерінде жүйелерді бейнелейтін
функциялары өздерінің мәнін күрт өзгертеді. Сондықтан зерттеліп отырған жүйелердің әр түрлі қасиеттері осы ерекше жағдай кезінде мәліметтермен айқындалуы тиіс.
Осындай қасиеттермен сипатталатын жүйелердің модельдеуші алгоритмдерін кұрастыру ерекше жағдай принципіне негізделген.
Осы принципті қолдану үшін, ең бірінші, математикалык модельдің қатынастарын, бір әлде бірнеше бұрынғы ерекше жағдайлар арқылы жаңа ерекше жағдайды табуға икемдей түрлендіру керек. Екіншіден, бұл принципті пайдаланғанда ерекше жағдай туатын уақыт мезгілдерін алдын-ала анықтау қажет. Сондықтан бұл принципті колданғанда
принципі сияқты алгоритмінің бос жүрісі болмайды.
1. 9 Жетекпен өткізу принципі
Бұл принцип көбінесе көпшілікке қызмет көрсету жүйелерін модельдегенде колданылады. Оның негізі жүйеге келіп түскен әрбір өтінішті басынан бастап қызмет көрсетіп болғанша бақылап отыру болады. Яғни әрбір өтініштің қызмет керсетудің барлық сатыларынан біртіндеп өтуі камтамасыз етіледі.
Басында ол кезекке тұруы немесе қызмет көрсетуге алынуы мүмкін. Қызмет керсететін прибор жұмыстан шығып қалса, өтініш оның жөндеуден шығуын тосу және тағы басқа кезеңдерден өтуі қажет. Яғни бұл өтінішке қызмет көрсетіліп болғанша немесе әрі қарай қызмет көрсете алмайтын жағдайға кездескенше таса болмауы тиіс.
"Жетектеп өткізу" принципі өте тиімді модельдеуші алгоритмдер құрастыруға мүмкіншілік береді, бірақ олардың логикалық құрылымы өте күрделі және кейде шиеленісті болуы мүмкін.
Айтып кететін тағы бір жәй, іс жүзінде модельдеуші алгоритмдерді құрастырғанда бірнеше принцип қатар қолданылуы да мүмкін. Мысалы, модельдеуші алгоритмнің жалпы құрылымы "ерекше жағдай" принципіне негізделсе, ал осы ерекше жағдайлардың аралығында "жетектеп өткізу" принципі тиімдірек болуы мүмкін.
Модельдеуші алгоритмнің жалпы құрылымы
Модельдеуші алгоритмнің жалпы кұрылымы имитациялық модельдеудің негізгі мақсатын, яғни зерттелетін жүйенің жұмысын немесе маңызды көрсеткіштерін жақсартуға себепкер болуы қажет. Ал осы мақсатты жүзеге асыру үшін, ең бірінші қарастырылып отырған обьект әлде жүйедегі процестердің белгіленген уақыт аралығындағы хал-күйін модельдей білу керек. Екіншіден, модельдеу кезінде алынған көрсеткіштердің ақиқаттығын және дәлдігін қамтамасыз ету қажет. Үшіншіден, модельдеу арқасында, зерттеліп отырған объектінің жұмысын жақсарту бағыттарын айқындау керек. Ең кіші цикл зерттелетін жүйенің жұмысын берілген уақыт аралығында модельдейді. Имитациялық модельдің осы уақыт аралығындағы жұмысын болашақта модельдеудің бір нақтыламасы деп атаймыз. Осы керсеткіштердің дұрыс мағынасын табуға қажетті нақтыламалардың санын (N) немесе осы көрсеткіштердің алдын-ала тағайындалған дәлдігін пайдалануға болады.
2 МАТЕМАТИКАЛЫҚ ҮМІТ ПӘН ДИСПЕРСИЯНЫҢ ТҰРАҚТАЛҒАН МӘНІН ТАБУҒА қажетті нақтылама саны
Математикалық үміттің мәнін анықтау үшін іс жүзінде арифметикалық орташа қолданылатыны белгілі
Осы формуламен табылған арифметикалық орташа мына тәуелділікке қайшы келмеуі керек
математикалық үміті
т,
дисперсиясы
, калыпты үлестірім заңына
ұқсас екендігі анық. Сондықтан осы көрсеткішті бағалау дәлдігі үшін мына теңдікті келтіре аламыз
Яғни
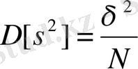
Бұл формуладағы a 2 - арифметикалық орташаның дисперсиясы. Осы дисперсияның мөлшері белгісіз болғандықтан, оның орнына
формуласымен есептелетін дисперсияның жуық шамасы алынады.
Енді әр түрлі көрсеткіштердің дисперсиясын керекті дәлдікпен, яғни
тәуелділігімен бағалауға мүмкіндік беретін
N
нақтыламасын анықтайық. Дәлділіктің мөлшері, әрине,
аралығында болуы тиіс.
Бұл жолы да дисперсияның бағасы ретінде колданылатын
шамасының, математикалық үміті мен дисперсиясы
тең, қалыпты заңмен сипатталатынын ескере отырып, көрсеткіштің дәлдігін мына теңдікпен бейнелейміз:
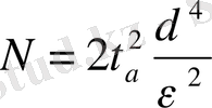
Осы өрнектен, белгілі үш сигма кағидасын ескере отырып, нақтылама санын еселейтін формуланы шығаруға болады:
Белгісіз а бұл жерде де жоғарыда айтылған тәсілмен табылады.
Нақтылама санын анықтауға Чебышев теңсіздігін қолдану
Бұған дейін нақтыламалар санын анықтау үшін біз имитациялық модельдеу кезінде пайдаланатын көрсеткіштер қалыпты үлестірім заңына бағынышты деп есептедік. Енді бұл болжамнан бас тартайық, яғни көрсеткіштер басқа да үлестірім заңдарымен сипаттала алатын болсын.
Осы жағдайда нақтылама санын табу үшін Чебышев теңсіздігін қолдануға болатынын көрсетейік.
2. 1 Чебышев теңсіздігі мына өрнекпен бейнеленеді:
Бұл өрнек кез-келген көрсеткіштің арифметикалық орташасы мен математикалық үмітінің айырмашылығы
мөлшерінен асып түсу ықтималдылығы
санынан аспайтындығын көрсетеді.
Мысал [4] . Имитациялық модельдеу нәтижесінде алынатын х шамасы 0, 95 ықтималдылығымен м ±4 аралығында жатуын қамтамасыз ету керек болсын. Яғни мына теңсіздік
орындалуы тиіс. Ол үшін
екенін ескере отырып, Чебышев теңсіздігін жазайық:
Яғни N = 320.
Табылған нақтылама саны, қалыпты үлестірім заңы қолданғанда қажетті саннан көбірек болатынын ескеру керек.
2. 2 Көпшілікке қызмет көрсету жүйелерін модельдеу
Іс жүзінде кездесетін әр түрлі күрделі жүйелерді зерттегенде, оларды көпшілікке қызмет көрсету жүйелері (КККЖ) ретінде қарастыруға болады. Өкінішке орай, көпшілікке қызмет көрсету теориясының математикалық аппаратының долдану мүмкіншілігі өте шектеулі. Бұл аппарат тек қана кірісіндегі талаптар қарапайым ағынын құратын, ал осы талаптарға қызмет көрсету уақыты экспоненциалдық үлестірім заңымен бейнеленетін жүйелерді ғана зерттей алады. Сондықтан көпшілікке қызмет көрсету жүйелерінің сұлбасына келтіріле алатын көптеген күрделі жүйелерді зерттеу үшін имитациялық модельдеу әдісі қолданылады.
Енді көпшілікке қызмет көрсету жүйелерін имитациялық модельдеу әдісімен танысуды ең қарапайым бірканалды КҚКЖ -н модельдеуден бастайық.
2. 3 Бірканалды көпшілікке қызмет көрсету жүйесін модельдеу
Осы жүйенің кірісіндегі талаптар Пальм кездейсоқ оқиғалар ағынын құратын болсын және ол ағынның оқиғаларының аралық мәнінің үлестірім заңы берілсін.
Бұл талаптар қызмет көрсету каналының алдына кезекке тұрып, әрқайсысы өз кезегіне сәйкес бірінен соң бірі қызмет көрсетілуге алынсын.
Кезекте тұру мерзімі шектелулі дел есептейік. Жалпы жағдайда, бұл мерзім үлестірім заңы белгілі кез-келген кездейсоқ шама бола алады. Талаптарға қызмет көрсету мерзімі де үлестірім заңы белгілі кездейсоқ шама болсын.
Осы көпшілікке қызмет көрсету жүйесінің [O, T] аралығындағы жұмыс барысын модельдейік. Демек, қызмет көрсетілуге
уақытында алынған талаптан каналдын босау мезгілі
теңсіздігімен сипатталса, ол талапқа кызмет көрсетілмеуі тиіс.
- Іс жүргізу
- Автоматтандыру, Техника
- Алғашқы әскери дайындық
- Астрономия
- Ауыл шаруашылығы
- Банк ісі
- Бизнесті бағалау
- Биология
- Бухгалтерлік іс
- Валеология
- Ветеринария
- География
- Геология, Геофизика, Геодезия
- Дін
- Ет, сүт, шарап өнімдері
- Жалпы тарих
- Жер кадастрі, Жылжымайтын мүлік
- Журналистика
- Информатика
- Кеден ісі
- Маркетинг
- Математика, Геометрия
- Медицина
- Мемлекеттік басқару
- Менеджмент
- Мұнай, Газ
- Мұрағат ісі
- Мәдениеттану
- ОБЖ (Основы безопасности жизнедеятельности)
- Педагогика
- Полиграфия
- Психология
- Салық
- Саясаттану
- Сақтандыру
- Сертификаттау, стандарттау
- Социология, Демография
- Спорт
- Статистика
- Тілтану, Филология
- Тарихи тұлғалар
- Тау-кен ісі
- Транспорт
- Туризм
- Физика
- Философия
- Халықаралық қатынастар
- Химия
- Экология, Қоршаған ортаны қорғау
- Экономика
- Экономикалық география
- Электротехника
- Қазақстан тарихы
- Қаржы
- Құрылыс
- Құқық, Криминалистика
- Әдебиет
- Өнер, музыка
- Өнеркәсіп, Өндіріс
Қазақ тілінде жазылған рефераттар, курстық жұмыстар, дипломдық жұмыстар бойынша біздің қор #1 болып табылады.

Ақпарат
Қосымша
Email: info@stud.kz