Конденсатор


Мазмұны:
Кіріспе.
І Негізігі бөлім.
Электр сыйымдылық.
1. 1 Конденсатор.
1. 2 Конденсатордың түрлері.
1. 3 Конденсаторлардың тізбектей және параллель жалғануы.
ІI. Өрт кезіндегі іс-әрекеттер
1. 4 Өрт кезіндегі қауіпсіздік шаралары.
Қорытынды.
Пайдаланылған әдебиеттер.
Кіріспе.
2007 жылдың шілде айынан бастап куәләндірілген лицензия бойынша ЖШС «Гидроэнергетикалық компания» эксплуатациямен Меркі ГЭС-1 және ГЭС-2 жұмыс істейді.
Меркі санаториясында орналасқан, Меркі ГЭС-1 1956 жылдың Орта азиялық Ташкент институты «Гидропроект» жобасы бойынша салынған. ГЭС-тің проектті қуаты 0, 62 мВт құрайды. Екі бір типті гидроагрегат Ф13ГМ50 трубасының типі ФРЕНСИС қуаты Р=700кВт, биіктігі Н=85м, айналымы 1000 об\мин, су шығыны (О=0, 88, куб. м/сек) құрайды. Генераторлардың түрі СГ390-750, қуаттылығы Р=390 кВА жұмыс істейді. Трансформаторлардың ТМ 1000/35 1960 ж/ж түрлері қолдалынады.
Меркі ГЭС-1 ден 6 км жоғары орналасқан ГЭС-2 1965 жылы Ортаазиялық Ташкент институты «Гидропроект» жобасы бойынша салынған. Проектті қуаты - 1, 5 мВт, үш гидроагрегаттан тұрады қуаттылығы 1, 1 мВт. Биіктігі 135м. Қуаттылығы 470 кВт, су шығыны Q=0, 41 куб. и/сек. Айналымы 750 об/мин. Су қысымы 14 атм. Жылдамдықты бақылаушының типі РС 250. Үш генератор СГГ 500-750 типі орналасқан, әр қайсысының қуаттылығы 630 кВа. Жоғарлатқыш трансформатордың 6/35 кВ ТМН-2500/35 типі жұмыс істейді. Гидростанцияның жұмыс процесінде су энергиясы «Меркенка» өзенінен алынады. Суды қолдану қайтымды процес су тек гидротрубиналардың жұмыс дөңгелектерін айналдыру үшін қолданылады.
Өндірілетін қуаттылық маусымдық болып табылады, себебі технологиялық процесстер өзен ағысына байланысты, жылдың маусымына байланысты және ауа-райының өзгеруіне байланысты. Технологиялық процесс барлық техникалық қауіпсіздік шараларына сай. Техникалық қызмет көрсету құралдары бойынша ГЭС-те 12 адам электротехникалық персонал жұмыс істейді.
Электр сыйымдылық.
Электр сыйымдылық - өткізгіштің немесе өткізгіштер жүйесінің электр зарядтарын жинау және ұстап тұру қабілетін сипаттайтын физикалық шама. Өткізгіш (жеке оқшау өткізгіштің) электрлік сыйымдылығы-өткізгіштен шексіз қашықтықта орналасқан нүктенің электр потенциялы нөлге тең деп қабылданған және басқа барлық өткізгіштер шексіз қашықтықта орналасқан деп ұйғарған жағдайда өткізгіш зарядының оның электр потенциялы қатынасына тең скаляр шама:
С=Q/U
Жеке оқшау өткізгіш үшін электр сыйымдылық өткізгіштің өлшемдеріне, пішініне сондай-ақ оқшалаушы ортаның диэлектрик өтімділігіне тәуелді болады. Екі өткізгіш арасындағы электрлік сыйымдылық (екі өткізгіштің өзара электрлік сыйымдылығы) -өткізгіштер зарядтарының мәндері бірдей, ал таңбалары қарама-қарсы болған жағдайда және басқа барлық өткізгіштер шексіз қашықтықта орналасқан кезде өткізгіштің біріндегі зарядтың абсолюдтік мәнінің осы екі өткізгіштің электр потенциалдары айырымының қатынасына тең скаляр шама:
C=Q/(ф1-ф2) .
Екі өткізгіштің өзара электр сыйымдылығы олардың өлшемдеріне, пішіндеріне, өзара орналасуына және олардың арасындағы ортаның диэлектрик өтімділігіне тәуелді болады. Электр сыйымдылықтың бірліктердің халықаралық жүйесіндегі өлшем бірлігі-фарат (Ф) . Электрлік сыйымдылықты өлшеу үшін сыйымдылық өлшеуіштерді пайдаланады.
Конденсатор.
1745 жылы Лейден қаласында неміс физигі Эвальд Юрген фон Клейст және голланд физигі Питер ван Мушенбрук тарихта ең алғашқы конденсатор - «лейден банкасын» жасады.
Конденсатор деп жұқа диэлектрик қабатымен бөлінген екі өткізгіштен тұратын жүйені айтамыз. Ол латынның “condenso”- қоюлату, жинақтау деген сөзінен шыққан. Конденсатор электр энергиясын және электр зарядтарын жинақтау үшін қолданылады. Конденсатордың екі өткізгішін оның жапсарлары деп атайдың Ол жапсарларды шамасы жағынан тең, таңбалары жағынан қарама -қарсы зарядтпен зарядтайды. Бұл құрал өзіміз көріп жүрген телевизорларда, радиоқабылдағыштарда, магнитофонда және т. б электр құралдарында қолданылады.
Өткізгіштің электрсыйымдылығы мынандай факторларға байланысты өзгереді:
- Өткізгіштің электрсыйымдылығы оған екінші зарядталмаған өткізгішті жақындатқанда артады;
- Екінші өткізгішті жерге жалғау бірінші өткізгіштің электрсыйымдылығын арттырады;
- Қатты диэлектриктің болуы жүйенің электрсыйымдылығын арттырады;
- Диэлектриктің қалыңдығын азайтса, өткізгіштер жүйесінің сыйымдылығы артады;
- Диэлектриктің диэлектрик өтімділігі артқанда, жүйенің электрсыйымдылығы артады;
- Өткізгіштердің бір-бірімен айқасу ауданын арттырғанда жүйенің электрсыйымдылығы артады;
Конденсаторларды сыртқы механикалық әсерлерден қорғау үшін оларды арнайы корпустармен қаптайды.
Конденсаторды схемада мына түрде белгілейміз:
Халықаралық стандарт бойынша конденсаторларды жұмыс істеу принциптеріне байланысты тізбекте шартты түрде былай белгілейміз:
ГОСТ 2. 728-74
бойынша белгіленуі



Сипаттық тағайындалуына қарай конденсаторларды шартты түрде жалпы және арнайы қолданыстағы конденсаторлар деп бөлуге болады Жалпы қолданыстағы конденсаторларға кең тараған төмен вольтты конденсаторлар жатады және олар құралдар мен аппараттардың көптеген түрлерінде қолданылады Ал қалған конденсаторлардың барлығы арнайы қолданыстағы конденсаторлар деп аталады. Оларға жоғарғы вольтты, импульстік, бөгетті жойғыш, дозиметриялық және т. б конденсаторлар жатады.
Конденсатордың негізгі сипаттамасы оның электрсыйымдылығы болып табылады. Ол конденсатордың электрзарядын жинақтау қабілетін көрсетеді. Сыйымдылықтың анықтамасы бойынша конденсатордың жапсарларындағы заряд оның жапсарларының арасындағы кернеуге тура пропорционал.
Конденсатордың сыйымдылығы әдетте 1 пФ -тан жүздеген мкФ -қа дейін, сонымен бірге сыйымдылығы ондаған Ф -қа дейінгі конденсаторлар да кездеседі.
Конденсатордың түрлері
Сонымен қатар конденсаторларды жапсарларының пішініне қарай жазық, цилиндр тәріздес, шар тәріздес және т. б деп бөледі.
Егер өткізгіштер жазық болса және параллель орналасса, онда конденсатор жазық деп аталады.








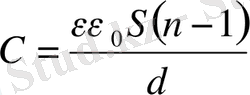
Егер конденсатор жапсарларының саны n болса, онда:
Мұндағы:
С- электрсыйымдылығы;
- жапсарлардың арасындағы ортаның салыстырмалы диэлектрик өтімділігі;
=8, 85*10
-12
- диэлектрик тұрақтысы;
d- диэлектрик қалыңдығы немесе жапсарлардың ара қашықтығы;
S- жапсардың ауданы;
r- шар немесе цилиндр табанының радиусы;
Е- электр өрісінің кернеулігі;
q-электр заряды;
l- цилиндр құраушысының ұзындығы.
Қағазды конденсатор КБГ. Қағазды конденсатор алюминийфольга 5 іспеттес, бір-бірімен изоляциялағыш материал (церезин, галовакс) сіңірілген жұқа қағазбен 4 қабаттасып келген, бірнеше пластиналардан құралған бітеу пакет 2 түріндегі металл корпус 1. Конденсатор пластиналары, корпустан изоляцияланған шығарғыш жапырақтарға 3 қосылған.
Слюдалы конденсатор КСО. Слюдалы конденсатор металл пластиналар мен аралық слюдалардан құрастырылған 2 пакеттен тұрады. Әр түрлі пакетке жататын пластиналардың әр парының арасында жұқа слюда қабаты орналастырылады. Осылайшажинастырылған конденсатор пластмассаға престеледі де, сол пластмассадан сыртқа әр пластиналар пакетінен бір-бірден екі жапырақ шығарылады. Бұлар конденсаторды схемаға жалғауға арналған.
Электролиттік конденсатор КЭ-2М. Электролиттік конденсатор ішіне екі алюминий лентаны шиыршықтан орап салған алюминий стакан сияқты болады. Ленталардың арасында электролит сіңірілген фильтірлік қағаз салынған. Алюминий лентаның біреуі стаканның корпусына, ал екіншісі оның жоғары қақпағына бекітілген контактіге қосылған. Конденсатор зарядталған кезде тоқ көзінің оң полюсіне қосылған алюминий лентаның бетінде диэлектрикке жататын алюминий тоғының жұқа қабыршағы пайда болады.
Конденсаторлардың жалғануы:
- Сыйымдылықты арттыру үшін конденсаторларды параллель қосады. Бұл кезде конденсаторлардың аттас зарядталған жапсарлары бірге қосылады.
немесе
![]()
Параллель жалғағанда кернеу бірдей және тізбектің кернеуіне тең, яғни
U=U 1 =U 2 =…=U n
Ал конденсатор батареяларының толық заряды
болғандықтан
С=С 1 +С 2 немесе С=C 1 +C 2 +…+C n
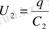
- Конденсаторларды тізбектей жалғаған кезде барлық конденсаторлардағы заряд бірдей болады және олардың әр аттас зарядталған жапсарлары қосылады.
![]()
Әрбір конденсатордың кернеуі
;
![]()
Конденсатордың жалпы кернеуі U=U 1 +U 2 +…+U n
![]()
Немесе
Орнына қойсақ
осыдан
немесе
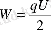
Зарядталған конденсатор энергиясы:
болады.
және
формуласын кезек қойып энергияның келесі формулаларын аламыз
немесе
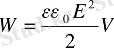
Біртекті электр өрісінің энергиясының көлемдік тығыздығы деп бірлік көлемде жинақталған өріс энергиясымен өлшенетін шаманы айтамыз
Алмастыруларды енгіземіз
*
тағы алмастыру енгіземіз Sd=V,
олай болса
осыдан
Бұдан электр өрісінің энергиясының тығыздығы осы өріс кернеулігінің квадратына тура пропорционал деп тұжырымдауға болады.
Өрт кезіндегі іс-әрекеттер реті.
Өртті байқаған кезде, жану белгілері кезінде (түтіндену, түтін иісі, температураның жоғарлауы және т. б. ) немесе өртті сөндірудің автоматты құрылғылардың іске қосылуы кезінде және сигнализация кезінде келесі іс-әрекеттерді орындау міндетті:
-Аз уатық ішінде «101» телефоны бойынша өрт жайында өртке қарсы қызметке хабар беру, өзіңіз хабарласып тұрған телефон нөмірін, Өзіңіздің тегіңізді, қандай объекттің жанып жатқанын және дәл мекен-жайды айту керек;
-Объект әкімшілігін, өндірістегі өртке қарсы қызметке өрт жайлы хабар беру керек;
-Қолда бар күш пен құралдарды пайдалана отырып, адамдардың өміріне қауіп төнген жағдайда оларлы эвакуациялауды ұйымдастыру қажет;
-Зардап шеккен адамдар болған жағдайда «жедел жәрдемді» шақыру керек;
-Аз мөлшерде өрт шыққан жағдайда адамдарды эвакуациялауды, қолда бар алғашқы құралдармен өртті сөндіруді және материалдық құндылықтарды сақтауды қолға алу керек.
-Қажеттілігі болған жағдайда электр энергияны сөндіру керек (өртке қарсы қорғаныстан басқа) ;
-Егер өрт бір немесе бірнеше бөлмелерді қамтыған болса, тез арада ғимаратты босату керек және басқа жұмысшыларға хабар берген жөн, қажеті болған жағдайда оларды эвакуациялауға жәрдкмдесу керек;
-Әрбір азамат өрттің алғашқы белгілерін байқаған кезде (түтіндену, күйген иісі, температураның жоғарлауы және т. б. ) келесі іс-әрекеттерді орындау керек:
-Бірден өртке қарсы қызметке хабар беру керек (101 телефоны арқылы) және хабар беру кезінде объект мекен-жайын, өрт шыққан жерін және өз тегіңізді айту міндетті;
-Мүмкіндігінше адамдарды эвакуациялауға, өртті сөндіруге және материалдық құндылықтарды сақтауға тырысу керек.
Өрт кезіндегі қауіпсіздік шаралары.
Өртті сөндіру кезінде қауіпсіздік шаралары өте маңызды. Бұл шаралар өртпен күресетін әрбір адам сақтау керек. Мысалы, жанып жатқан және түтіндеген бөлмеде жалғыз қозғалмауға тырысу керек. Жанып жатқан бөлме есегін абайлықпен ашу керек, өйткені жылдам ауа массасы өрттің шығуына себеп болуы мүмкін. Жанып жатқан бөлмелер арқылы өту үшін басқа суланған немесе дымқыл жапқыш, тығыз мата немесе суланған шүберекті ауызға және мұрынға жауып еңкейіп өткен жөн. Тұтанған газды, жанғыш сұйықтықтарды және электр сымдарын сумен өшіруге болмайды.
Адамдар тұруға арналған ғимараттарда (қонақ үйлер, кемпингтер, мотелдер, жатақханалар, мектеп - интернаттар, мүгедектер мен қарттар үйлері, балалар үйі және басқа ғимараттар, қарапайым меншікті үйлерден басқа) қызмет көрсетуші жұмысшылар тыныс жолдарын оқшаулайтын және заттармен қамтылу керек. Бұл заттар қызмет көрсетуші жұмысшылардың жұмыс орнында сақталуы тиіс.
Өрт сөндіру құралдары.
Тұтануды және өртті сөндірудің ең қарапайым құралы құм болып табылады. Оны көптеген жағдайларда қолдануға болады. Ол жанып жатқан заттарды салқындатады, оған оттегінің кіруіне кедергі жасайды және отты механикалық түрде жояды. Құмды сақтау орнында міндетті түрде кемінде 1-2 күрек болуы тиіс.
Бұдан да көп тараған және отты сөндірудің универсалды құралы болып су табылады. Алайда оны оттың ішінде электр сымдары, электр құрылғылары және кернеулі қондырғылар болған жағдайда, сонымен қатар, сумен қосылған уақытта қайта тұтанып немесе улы және жанғыш газдар бөлінген кезде қолдануға болмайды. Бензинді, киросинді және басқа да сұйықтықтары өшірген кезде суды қолданбаған дұрыс, себебі олар судан жеңіл, бетіне қалқып шығады және өртену процесі тоқтатылмайды.
Өрттің алғашқы кезеңдерінде оны сөндіру үшін асбестті немесе жүннен жасалған жапқышты қолдануға болады. Олар тығыз жапқан кезде жанып жатқан затқа ауаның кіруіне кедергі жасайды.
Бөлмені ұстау.
Барлық қызметтік және қосалқы бөлмелерде тазалық пен ұқыптылық болуы керек. Орталық жылу батареяларында, сейфтерде және т. б. жерлерде құжаттарды сақтауға болмайды;
- Құрылғыларымен, әр түрлі заттармен (сөре, үстелдер және т. б. ) баспалдақтарды, тампурлерді, дәліздерді, өтпелерді, бөлмеден эвакуациялық шығу жолдарды толтырып тастауға тиым салынған;
- Ғимараттың баспалдақ алаңдарының маңайында адам өтуіне кедергі жасайтын құрылғылар мен басқа да заттарда қоюға тиым салынған;
- Ең астынғы бөлмелерде жарылғыш заттарды, газ балондарды, жылдам тұтанатын және жанатын сұйықтықтарды, пластмассаны және басқа да жоғары жану деңгейі бар бар заттар қолдануға және сақтауға рұқсат етілмеген.
- Өртке қарсы қызметтің міндетті рұқсаты бар әкімшілік және қызметтік басқарма басшылығының жазбаша рұқсатыммен барлық отты жұмыстар (электропісіру, металдарды кесу, пісіру және басқа да ашық отты қажет ететін жұмыс түрлері) жасалады.
- Барлық қызметтік бөлмелер, ағымдағы нормаларға сәйкес алғашқы өрт сөндіру құралдарымен қамтамасыздандыруы керек. Өрт сөндіру құралдары жұмысқа жарамды,, көзге көрінетін жерде орналастырылуы және қол жетімді болуы тиіс. Тура қажеттілігі болмаған жағдайда өрт сөндіру құралдарын қолдануға тиым салынады.
Қауіпті өндірістік объектілер.
Қауіпті өндірістік объектілерге келесі қауіпті заттарды, механизмдерге, құрылғыларға, техникалық өндірістіңк процестерді өндіретін, қолданатын, қайта өндіретін, жасайтын, сақтайтын, жеткізетін, жоятын объектілер жатады:
- Қауіпті өртті жарылғыш ортаны қалыптастыратын заттар:
- Адам организміне І, ІІ, ІІІ қауіпті классты әсер ететін жағымсыз заттар;
- Сыртқы ортадан белгілі бір әсер алған жағдайда жылдам өздігінен таралатын, газдарды қалыптастыратын және жылу бөлетін химиялық ауысулары бар жарылғыш заттар;
- 0, 007 МПа-дан артық қысымда және 100С- ден артық температурада жұмыс істейтін қондырғылар;
- Жүк көтеретін механизмдер, эскалаторлар, арқанды жолдар;
- Қара, түсі және басқа да металлдар ерітінділері және осы ерітінділерқоспасы;
- Таулы жарылғыш жұмыстар, газ бен мұнай өндіретін бұрғылау жұмыстары, пайдалы қазба жұмыстары, жер асты жұмыстары, теңіз шлейфтері және ішкі суларда;
- Қауіпті өндірістік объектілерде қолданылатын электрлік қондырғылар;
- Қоршаған ортаға және адам организміне қауіпті заттардан тұратын өндірістік қоқыстар.
Төтенше жағдайды болдырмау үшін, келесі өрт қауіпсіздігі ережесін сақтау керек: -үйде керосин, бензин, басқа да тез жанғыш заттарды және сұйықтарды сақтамаңыз, шатырды, тамбурдың баспалдақ бөлігін керексіз және үлкен заттардан босатыңыз; -өрт сөндіргіш сатып алыңыз;
... жалғасы- Іс жүргізу
- Автоматтандыру, Техника
- Алғашқы әскери дайындық
- Астрономия
- Ауыл шаруашылығы
- Банк ісі
- Бизнесті бағалау
- Биология
- Бухгалтерлік іс
- Валеология
- Ветеринария
- География
- Геология, Геофизика, Геодезия
- Дін
- Ет, сүт, шарап өнімдері
- Жалпы тарих
- Жер кадастрі, Жылжымайтын мүлік
- Журналистика
- Информатика
- Кеден ісі
- Маркетинг
- Математика, Геометрия
- Медицина
- Мемлекеттік басқару
- Менеджмент
- Мұнай, Газ
- Мұрағат ісі
- Мәдениеттану
- ОБЖ (Основы безопасности жизнедеятельности)
- Педагогика
- Полиграфия
- Психология
- Салық
- Саясаттану
- Сақтандыру
- Сертификаттау, стандарттау
- Социология, Демография
- Спорт
- Статистика
- Тілтану, Филология
- Тарихи тұлғалар
- Тау-кен ісі
- Транспорт
- Туризм
- Физика
- Философия
- Халықаралық қатынастар
- Химия
- Экология, Қоршаған ортаны қорғау
- Экономика
- Экономикалық география
- Электротехника
- Қазақстан тарихы
- Қаржы
- Құрылыс
- Құқық, Криминалистика
- Әдебиет
- Өнер, музыка
- Өнеркәсіп, Өндіріс
Қазақ тілінде жазылған рефераттар, курстық жұмыстар, дипломдық жұмыстар бойынша біздің қор #1 болып табылады.

Ақпарат
Қосымша
Email: info@stud.kz