Статистикалық болжамдарды тексеру


Оңтүстік Қазақстан мемлекеттік фармацевтика академиясы
Медициналық биофизика, информатика және математика кафедрасы
РЕФЕРАТ
Тақырыбы: «Статистикалық болжамдарды тексеру»
Орындаған: Сырлыбекова А.
Тобы: 103 ФК-А
Қабылдаған: Иманбаева М. А.
Шымкент-2014 жыл
Жоспар:
І. Кіріспе
Статистика. Статистикалық болжам
ІІ. Негізгі бөлім
1. Таңдамалы корреляция коэффициентінің маңыздылығын тексеру
2. Екі еркін үлестірілген кездейсоқ шамалардың бас орталарын салыстыру
3. Екі қалыпты үлестірілген кездейсоқ шамалардың бас орталарын салыстыру
4. Қалыпты үлестірімді екі кездейсоқ шамалардың бас дисперсияларының теңдігі туралы болжамды тексеру
ІІІ. Қорытынды
ІV. Әдебиеттер
І. Кіріспе
Биологияда және медицинада, әсіресе медициналық зерттеулерде түрлі талдау және берілгендерді өңдеу тәсілдері жиі қолданылады. Математикалық әдістер зерттеу сандық нәтижелерін сенімді бағалауға көмек етеді. Түрлі талдауларда кеңінен қолданылатын математика тәсілдері математикалық статистика немесе статистика деп аталады.
Статистика- табиғаттағы немесе қоғамдағы жаппай құбылыстарға сандық талдау жүргізіп, олардың сапалық ерекшеліктерін анықтауға көмек ететін ғылыми сала деп те анықталады. Статистика баяндаушы сипаттама алуға көмек етіп қана қоймай, сонымен бірге математикалық талдау тәсілдерін жетілдіруге де көмек етеді.
Ең алғаш статистика 1899 жылдары биология мен медицинаға ене бастаған.
Қазіргі кезде статистикалық зерттеу тәсілдері теория мен іс жүзіндегі сан түрлі сұрақтардың шешімдерін табуға көмек етеді. Ықтималдық теориясына негізделіп, статистика, оқылатын құбылыстардың сандық сипаттамаларына дұрыс талдау жүргізіп, нәтижесінде сынды бағалау, зерттелетін құбылыстар арасындағы байланыстар сипатын анықтау арқылы олардың сапалық ерекшелігін түсінуге көмек етеді.
Статистикалық болжам деп кездейсоқ шаманың үлестіруі, не үлестіру параметрі туралы болжамдарды айтады. Оны нөлдік (негізгі) болжам, ал оған қарама-қарсы болжамды альтернативті болжам деп айтады. Нөлдік болжамды тексеру белгілі статистикалық «сандық мәнді» (критерийді) пайдалану арқылы орындалады. Статистикалық сандық мән деп кездейсоқ таңдаманы қай уақытта дұрыс деп қабылдауды, қай уақытта дұрыс емес деп жоққа шығаруды көрсететін ережені айтады.
ІІ. Негізгі бөлім
Таңдамалы корреляция коэффициентінің маңыздылығын тексеру
Екі кездейсоқ шаманың арасындағы корреляциялық байланыстың дәрежесін таңдаманың корреляция коэффициенті көрсете алмайды, кейбір жағдайларда корреляциялық байланыс болмаған жағдайдың өзінде корреляция коэффициентінің мәні нөлден өзгеше болады. Демек, зерттеу нәтижесінде корреляция коэффициентінің мәнін анықтаумен қатар, оның маңыздылығын тексеру қажеттігі туындайды. Корреляция коэффициентінің маңыздылығын тексеру нәтижесіне байланысты - егер екі кездейсоқ шаманың арасындағы корреляциялық байланыс бар болса «маңызды», ал жоқ болса «маңызды емес» деген тұжырым жасалынады.
Таңдамалы корреляция коффициентінің маңыздылығын тексеру:
1) Тәжірибелік
(n-таңдаманың көлемі) мәнді анықтау керек.
2) Анықталған тәжірибелік мәнді Стъюдент үлестірім кестесіндегі
нүктесінің мәнімен салыстыру керек.
3) Егер
болса, онда корреляция маңызды, демек «екі кездейсоқ шамасының арасындағы корреляциялық байланыс бар» деген тұжырым жасалынады.
4) Егер
болса, онда корреляция коэффициенті маңызды емес, демек «екі кездейсоқ шамасының арасындағы корреляциялық байланыс жоқ» деген тұжырым жасалынады.
Екі еркін үлестірілген кездейсоқ шамалардың бас орталарын салыстыру (үлкен тәуелсіз таңдамалылар)
Егер екі еркін үлестірілген «Х» «Y» кездейсоқ шамалардың үлестірім заңы және бас дисперсиялары белгісіз, ал тәуелсіз таңдамалылар көлемі үлкен (әрқайсысының көлемі 30-дан артық) болғанда нөлдік болжамды тексеру үшін «х», «у»-тердің таңдамалы орта мәнін және
-дисперсиясының бағаларын анықтау керек.
Зерттеудің немесе бақылаудың нәтижесінде алынған екі кездейсоқ шаманың статистикалық орталарын салыстыру:
1) Тәжірибелік
(
-дисперсияның бағасы;
-таңдаманың көлемі) мәнді анықтау керек.
2) Анықталған тәжірибелік мәнді
формуласымен анықталатын сандық мәнмен салыстыру керек.
3) Егер
болса, онда екі статистикалық ортаның теңдігі туралы нөлдік болжам қабылданбайды, демек екі статистикалық орта тең емес.
4) Егер
болса, онда екі статистикалық ортаның теңдігі туралы нөлдік болжам қабылданады, демек екі статистикалық орта тең.
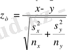
Екі қалыпты үлестірілген кездейсоқ шамалардың бас орталарын салыстыру (кіші тәуелсіз таңдамалылар)
Егер екі еркін үлестірілген «Х» «Y» кездейсоқ шамалардың үлестірім заңы және бас дисперсиялары белгісіз, ал тәуелсіз таңдамалылар көлемі кіші (әрқайсысының көлемі 30-дан кем) болғанда нөлдік болжамды тексеру үшін «х», «у»-тердің таңдамалы орта мәнін және
-дисперсияның бағаларын анықтау керек.
Зерттеудің немесе бақылаудың нәтижесінде алынған екі кездейсоқ шаманың статистикалық орталарын салыстыру:
1) Тәжірибелік
(мұндағы,
- дисперсияның бағасы;
-таңдаманың көлемі;
-еріктілік дәрежесі; p-мәнділік деңгейі) мәнді анықтау керек.
2) Есептелінген тәжірибелік мән Стъюдент үлестірімі бойынша анықталатын
сындық мәнмен салыстырылады.
3) Егер
болса, онда екі статистикалық ортаның теңдігі туралы нөлдік болжам қабылданбайды, демек екі статистикалық орта тең емес.
4) Егер
болса, онда екі статистикалық ортаның теңдігі туралы нөлдік болжам қабылданады, демек екі статистикалық орта тең.
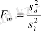
Қалыпты үлестірімді екі кездейсоқ шамалардың бас дисперсияларының теңдігі туралы болжамды тексеру
Бұл әдіс екі қалыпты үлестірілген «Х» «Y» кездейсоқ шамалардың бас дисперсиялары берілсе, олардың бір-біріне тең екендігін тексеруде қолданылады.
Қалыпты үлестірімді екі кездейсоқ шамалардың бас дисперсияларының теңдігі туралы болжамды тексеру:
1)
формуласы бойынша тәжірибелік мәнді анықтау керек.
- Іс жүргізу
- Автоматтандыру, Техника
- Алғашқы әскери дайындық
- Астрономия
- Ауыл шаруашылығы
- Банк ісі
- Бизнесті бағалау
- Биология
- Бухгалтерлік іс
- Валеология
- Ветеринария
- География
- Геология, Геофизика, Геодезия
- Дін
- Ет, сүт, шарап өнімдері
- Жалпы тарих
- Жер кадастрі, Жылжымайтын мүлік
- Журналистика
- Информатика
- Кеден ісі
- Маркетинг
- Математика, Геометрия
- Медицина
- Мемлекеттік басқару
- Менеджмент
- Мұнай, Газ
- Мұрағат ісі
- Мәдениеттану
- ОБЖ (Основы безопасности жизнедеятельности)
- Педагогика
- Полиграфия
- Психология
- Салық
- Саясаттану
- Сақтандыру
- Сертификаттау, стандарттау
- Социология, Демография
- Спорт
- Статистика
- Тілтану, Филология
- Тарихи тұлғалар
- Тау-кен ісі
- Транспорт
- Туризм
- Физика
- Философия
- Халықаралық қатынастар
- Химия
- Экология, Қоршаған ортаны қорғау
- Экономика
- Экономикалық география
- Электротехника
- Қазақстан тарихы
- Қаржы
- Құрылыс
- Құқық, Криминалистика
- Әдебиет
- Өнер, музыка
- Өнеркәсіп, Өндіріс
Қазақ тілінде жазылған рефераттар, курстық жұмыстар, дипломдық жұмыстар бойынша біздің қор #1 болып табылады.

Ақпарат
Қосымша
Email: info@stud.kz