Квадрат терезе


«№86 жалпы орта білім беретін мектебі» КММ
Ғылыми жобаның тақырыбы : Архитектурадағы математиканың рөлі
Орындаған: Керімбай Жандос 11 «Ә» сынып оқушысы
Жетекшісі: Есалиев Мейрман
Математика пәні мұғалімі
2023 жыл
Мазмұны
1. 2. Жаңа ғимараттардың кемшіліктері мен
артықшылықтары . . . 10-13
Кіріспе
«Математика - барлық дәл ғылымдар сөйлейтін тіл» - деген Н. Лобачевский. Математика пәнінен ғылыми жұмыс жазу тапсырылғаннан кейін, тақырып таңдау өте қиынға соқты. Себебі, математика ғылымы өмірмен тығыз байланысты. Қайда болмасын сандармен кездесеміз. Мысалы: сабақ кестесінде, асханада, дүкенде, аялдамада…., барлық жерде деуге болады. Математиканың өмірде орасан зор орын алатыны сондай, тіпті оны оқып-білу бізге соншалықты қиын, әрі қол жетпестей болып көрінеді, бірақ математиканы тереңдете оқыған сайын ол бізге жақындай беретінін және оның әрі қызықты, әрі жұмбағы мол әлем екенін байқаймыз. Сондықтан да мен «Архитектурадағы математиканың рөлі» тақырыбын таңдадым. Математика пәнінен ғылыми жұмысты таңдағаннан кейін ең бірінші «Математиканың біздің өмірімізде алатын орны қандай?» деген сұрақ туындап, сол арқылы зерттеу жұмысымды бастадым. Математиканың бастапқы мағлұматтары барлық халықтарда болған. Күнтізбе жасау, құрылыс, жер және әр түрлі ыдыс көлемін өлшеу, теңізде жүзу, жан жақты байланыс жасау ісі математикалық білім-дағдылардың дамуын талап етті, оның бастапқы қарапайым ережелері дәлелдеусіз қалыптаса бастады. Бір белгісізі бар теңдеулер, сондай-ақ қарапайым арифметикалық және геометриялық прогрессияларға келтірілетін есептер шығару тәжірибесі кездеседі. Египеттіктер төртбұрыштың, трапецияның, үшбұрыштың ауданын, параллепипед пен табаны квадрат пирамиданың көлемін дәл есептей білген, дөңгелек ауданын жуықтап тапқан. Математикалық анализ бен математикалық физика дамуының геометрия мен алгебрадағы жаңа идеялармен түйіндесуі нәтижесінде математика мен оның қолдануында ерекше маңызды қызмет атқарып отырған математиканың үлкен бір жаңасаласы- функционалдық анализ жасалды. Есептеу техникасының кең қолданылуына байланысты программалау теориясы пайда болды. Сонымен қатар компьютердің жыл сайын жаңа түрлері ойлап табылуда немесе өзі жүретін машина, роботтар неге тек Жапониядан бастау алады. Неге ол біздің Қазақстаннан жасалып, шығарылмайды. Ал оны шығаратын болашақтағы маман - біздер. Сондықтан экономикамыз қарыштап дамысын десек, Қазақстанымыз гүлденсін десек, жаңа технологияны дамыту үшін, өнертапқыштыққа жету үшін математикалық терең білім қажет. Өмірде математиканы терең білмей орнын тауып жүрген адамдар көп. Әйтсе де математиканы жақсы білген адам көп болса, нұр үстіне нұр болар еді, яғни Қазақстанның болашағы нұрлы, жоспарлы жан-жақты білімді болар еді.
Зерттеу бөлімі
1. 1. Күмбезді ғимараттардың математикалық ерекшеліктері
Жұмыстың бұл бөлігінде күмбезді ғимараттардың сыртқы көзге әсері, ішкі сыйымдылығы қарастырылады. Жалпы күмбездің нақты өлшемдері жоқ. Сондықтан біз тек бірнеше ғимараттардың ғана күмбезін қарастырамыз.
Көбіне күмез жарты шардан немесе цилиндрдің үстіне қойылған конустан құралады. Жарты шардан құралатын күмбездің орташа ішкі сыйымдылығы және ауданы:
V=
πR
3
S=2πR 2
Цилиндр мен конустан құралатын күмбездің өлшемдері:
Vкүмбез=Vцилиндр+Vконус=πR
2
+
πR
2
=
Sкүмбез=Sцилиндр+Sконус=2πНR+πR
=2
R
V1 мен V2 салыстырамыз :
V1=
πR
3
v V2=
>
S1 мен S2 салыстырамыз:
S1=2πR
2
< S2=
Сонымен қатар, цилиндр мен конустан құралатын күмбездің сыртқы көріктілігі көбірек. Күмбезі бар ғимараттар басқа ғимараттарға қарағанда табиғат жағдайларынан, жауын-шашыннан қорғалған болады.
Қожа Ахмед Йассауи мовзалейінің күмбезінің диаметірі 30гяз. 1гяз-60, 6см.
Бұл дегеніміз 60, 6*30=18, 18м. Бұл Қазақстан және Орта Азиядағы кірпіштен жасалынған ең үлкен күмбез. Оның ішкі көлемі
Vкүмбез=
=
S=
=
=532
Сонымен, күмбезі бар архитектураның үлкен артықшылықтары бар. Олар:
- Сыртқы және ішкі көрінісі көрікті, үйлесімді көрінеді
- Ішкі сыйымдылығы үлкен және ғимараттардың акустикасын арттырады
- Жауын-шашын күмбездің үстіне жинала қоймайды, яғни төбеден су ақпайтын болады.
1. 3. Жаңа ғимараттардың кемшіліктері мен артықшылықтары
Жұмыстың барысында ғимараттар келесі пункттер бойынша қарастырылады:
1) ішкі көлемі, сыйымдылығы
2) сейсмотұрақталық және табиғат жағдайларынан қорғаныштығы
3) жарықтың түсуі
4) архитектураның сыртқы көрінісі
5) үйдің ішкі темпиратурасы немесе үйде тұратын адамдарға әсері.
1. Квадрат терезе
Қандай ұшақ көрсек те, барлығының терезесі сопақ формада жасалған. Бұл - 60 жыл бұрынғы тәжірибенің нәтижесі. Содан бері ұшаққа иллюминаторлар сопақ немесе домалақ етіп орнатылады. Алғашқы ұшақтардың терезелері төрт бұрышты болғаны мәлім. Инженерлер еш күдіксіз стандартты әйнектерді орната бастады. Бұл жолаушылар тасымалдайтын түрлі жаңа ұшақтар шығып жатқан 1950 жылдар болатын. Көппен бірге De Havilland атты ағылшын компаниясы да "Комета" лайнерін жасап шықты. “Комета” ұшағы сол уақыттағы техникалық қабілеті мықты лайнер болды. Алайда 1954 жылы ұшақ апатқа ұшырап, 56 адам қаза тапты. Инженерлер апат себебін анықтаймыз деп түрлі тәжірибе жасады. Сынақтар арқасында апат төрт бұрышты иллюминаторлар кесірінен болғаны анықталып, ұшақ жасайтын бүкіл компания жаппай сопақ терезелерге көше бастады. Төрт бұрышты терезелер апатқа қалай себеп болды? Ұшақ құрылымындағы тік, сүйір бұрышты бөлшектер әуеге көтерілгенде жарылуға дайын тұрады. Себебі жоғары қысым кезінде 90 градус бұрыштар жарылуға бейім болады. Демек төртбұрышты әйнектер мен жақтаулар қысым балансын сақтауға қауқарсыз. Тек терезе ғана емес, ұшақтың барлық бөлігі тік, сүйір бұрышты бөліктерден ада. Сондай-ақ ғарыш зымырандарының да терезелері мен құрылымы сопақ формада жасалады.
2. Таға тәріздес үйлер
1) Сейсмотұрақтылығы және табиғат жағдайларынан қорғаныштығы
Біріншіден, бұл ғимаратта қыры және бұрышы жоқ болғандықтан пәтерлер суық желдерден сақталған. Аркалар 90-градусты бұрыштарға қарағанда сейсмотұрақты екендігі барлығымызға беймәлім емес. Сондай сияқты таға тәріздес үйлер паралллелограмм тәріздес үйлерге қарағанда сесймотұрақты.
Бұл ғимарат бір жағынан дөңгелек тәріздес болғандықтан суық желдерден сақталып тұрады. Үйдің сырт жағын солтүстікке қаратып тұрғызса, үй суық желдерден және қалың қардан сақталады.
2) Жарықтың түсуі: Егер параллелепипед тәрізді үйлерге жарық үйдің бір жағына көп дегенде 6сағат түсетін болса, таға тәріздес үйлердің сыртқы жағына жарық ұзағырақ түсетін болады. Ал ауласына керісінше күннің көзі тәулігіне 5 сағаттан кем түсетін болады. Яғни үй түрғындары күннің көзінен сақталады және кез келген уақытта аулаға серуендеуге шығуға мүмкіншіліктері болады.
3) Архитектураның сыртқы көрінісі Архитектураның сыртқы көзге әсері параллелепипед тәріздес үйлерге қарағанда жағымдырақ.
4) Үйде тұратын адамдарға қалай әсер етеді: Үй таға тәріздес болғандықтан оның ауласы тұйық жерде орналасады, бұл үй тұрғындарының автокөліктерінің кіріп шығуына өте қолайлы. Сонымен қатар, балаларға арналған аула максималды қауіпсіз жерде орналасады. Мұндай үйлер ұрылар мен басқа да қауіп төндіретін тұлғалардан көбірек қорғаулы. Себебі, таға тәріздес үй өз-өзіне қоршау, тек ашық кеңістікке қоршау мен күзет қойсаң болғаны.
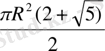
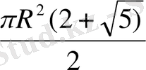
3. Конус тәріздес үйлер
1) Сейсмотұрақтылық немесе табиғат жағайларына тұрақтылығы
Конустың қыры және бұрышы жоқ болғандықтан ол суық желдерден сақталады. Сонымен қатар, ауырлық центірі конустың төменгі ауданының дәл ортасына түскендіктен яғни сол нүктеде дененің барлық массасы шоғырланғандықтан сейсмотұрақтылық жағынан қауіпсіз.
2) Ішкі көлемі, сыйымдылығыды.
V
қиық конус
=
V
параллелепипед
V қиық конус > V параллелепипед
v
<
3) Архитектураның сыртқы көрінісі
Бұндай ғимараттардың сыртқы көрініске әсері үлкен. Қиық конус тәріздес үйлер өте аз жер алады. Яғни экономика жағын қарастырғанда қолайлы ғимарат.
4. Пирамида
1) Сейсмотұрақтылық және табиғат жағдайларынан қорғаныштығы
Сейсмотұақылық жағынан қолайлы. Өйткені ауырлық центірі ешқашан табанынының сыртына түспейді.
Яғни сол нүктеде дененің барлық массасы шоғырланғандықтан сейсмотұрақтылық жағынан қауіпсіз.
2) Ішкі көлемі, сыйымдылығыды.
V=
V=abc=
Бірақ пирамиданың бір кемшілігі көп жер алуында. Мұндай ғимаратты қалада көп мөлшерде тұрғызуға мүмкіншілігіміз жоқ.
1. 4. Егер мен архитектор болсам.
Жалпы шолу
Егер мен архитектор болсам құрылысқа параллелепипед фигурасын қолданбас едім. Оның орнына тұрғын үйлер ретінде пирамида, таға тәріздес немесе терезелі (терезелері қабырғаны қамтитын) үйлер салар едім. Бұл қолайлы, экономика жағынан тиімді, жарық, әдемі және ең бастысы қауіпсіз үйлер.
Үй араның үйшіктері мен киіз үйдің қосындысы тәріздес болады, яғни киіз үйдің цилиндірінің орнына көпбұрышты фигура қойып, олады есіктер арқылы қосқанда автордың ойластырған фигурасы шығады. Бұл үйлердің сыртқы көрінісі әдемі және шығындар жағынан арзан.
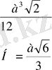
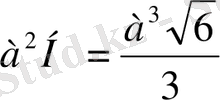
Бұл проект көптеген табиғат ресурстаын және қаражатты үнемдеуде өте қолайлы. Бірақ менің ойымша бұл ғимараттың кемшілігі - жерді көп алуында. Үйлер 1 қабатты болғандықтан мұндай ғимаратты салу онша қолайлы емес. Сонымен қатар әр көпбұрыштың үстіне күмбез қою да қолайсыз. Күмбездердің саны көп болғандықтан және олар бір-бірімен жалғасып тұрғандықтан су мен қар жиналып қалатын болады. Мен жұмысымның бұл тарауында осындай алтыбұрыштардан бірнеше қабатты үй жасасақ. Алтыбұрыштарда терезе барлық қабырғаны қамтыса үй жарық болады. Ал төбесіне кішкентай күмбездердің орнына пирамида тұрғызсақ, үйдің төбесіне жаңбыр сулары, қар жиналмайды, әрі біз үйдің төбесіне пирамида орнатқаннан қосымша жер ауданын алмай ғимараттың ішкі көлемін арттырар едік. Бұл шынында да ең қолайлы фигуралардың бірі. Ара ұяшығының формасы қазіргі таңға дейін ең қолайлы, материал аз кететін, сыйымдылығы көп және сейсмотұрақты болып саналады. Өзінің алтыбұрышты құрылысының арқасында ара ұяшығы өзінің массасынан 30 есе артық салмақты көтере алады. Ауа жақсы вентиляцияланады, ауа темпиратурасы әрқашан керекті градуста болады, ауа ылғалданбайды. Сонымен қатар бұл фигура максимал жылуды, дыбыс изоляциясын( дыбыстың өтпеуін), серпімділікті қамтамасыз етеді. яғни егер сіз алтыбұрыштың ішінде отырсаңыз сіздеі ешқанда суық, жер сілкінісі, жел, жағымсыз дыбыстар мазаламайдыҰяшықтар екі жақтан салынғандықтан бір ұяшықтын құрылысына минимум материал кетеді. Бүкіл ұяшыққа 140-150 грамм материял келеді, алйда сол ұяшыққ 4 кг бал сияды. ( яғни материал жағынан да, сыйымдылықы жағынан да максималды қолайлы болып келетін фигура) . Бұл ғасырлар бойы зерттелген, окылған, дәлелдеңген мәліметтер. П. И. Прокопович, Ян Джерсон, Ланстрот, Гребенников В. С деген ғалымдар бұл салада үлкен еңбек сіңірді.
Үйдің сыртқы құрылысы.
Бұл ғимарат әрқайсысы 6 бұрышты болып келетін 3 блоктан тұрады. Сонда үстінен қарағанда бұл ара ұяшықтары тәріздес болады.
Бұл үйдің формасында ұтымдылықтар өте көп. Біріншіден, Жердің аз көлемін ала тұра бұл құрылыстың ішкі сыйымдылығы үлкен
Бірінші бір алтыбұрыштың алатын орнының периметірін табайық. Яғни келесі аралықтарды:
Қабырғасын а деп белгілейміз.
... жалғасы- Іс жүргізу
- Автоматтандыру, Техника
- Алғашқы әскери дайындық
- Астрономия
- Ауыл шаруашылығы
- Банк ісі
- Бизнесті бағалау
- Биология
- Бухгалтерлік іс
- Валеология
- Ветеринария
- География
- Геология, Геофизика, Геодезия
- Дін
- Ет, сүт, шарап өнімдері
- Жалпы тарих
- Жер кадастрі, Жылжымайтын мүлік
- Журналистика
- Информатика
- Кеден ісі
- Маркетинг
- Математика, Геометрия
- Медицина
- Мемлекеттік басқару
- Менеджмент
- Мұнай, Газ
- Мұрағат ісі
- Мәдениеттану
- ОБЖ (Основы безопасности жизнедеятельности)
- Педагогика
- Полиграфия
- Психология
- Салық
- Саясаттану
- Сақтандыру
- Сертификаттау, стандарттау
- Социология, Демография
- Спорт
- Статистика
- Тілтану, Филология
- Тарихи тұлғалар
- Тау-кен ісі
- Транспорт
- Туризм
- Физика
- Философия
- Халықаралық қатынастар
- Химия
- Экология, Қоршаған ортаны қорғау
- Экономика
- Экономикалық география
- Электротехника
- Қазақстан тарихы
- Қаржы
- Құрылыс
- Құқық, Криминалистика
- Әдебиет
- Өнер, музыка
- Өнеркәсіп, Өндіріс
Қазақ тілінде жазылған рефераттар, курстық жұмыстар, дипломдық жұмыстар бойынша біздің қор #1 болып табылады.

Ақпарат
Қосымша
Email: info@stud.kz