Никотин қышқылының құрылымдық формуласы


Қазақстан Республикасы
Ғылым және жоғары білім министрлігі
Академик Е. А. Бөкетов атындағы
Қарағанды университеті
І. Батырханова
о -Формилбензой қышқылының никотин және изоникотин қышқылының гидразидтерімен әрекеттесу реакцияларының кейбір ерекшіліктері
ДИПЛОМДЫҚ ЖҰМЫС
6В07201 - «Фармацевтикалық өндіріс технологиясы»
бағдарламасы бойынша
Қарағанды қ.
2024
Қазақстан Республикасы
Ғылым және жоғары білім Министрлігі
Академик Е. А. Бөкетов атындағы
Қарағанды университеті
«Қорғауға жіберілді»
Органикалық химия және полимерлер
кафедрасының меңгерушісі
х. ғ. к., проф. Жұмагалиева Т. С.
6В07201 - «Фармацевтикалық өндіріс технологиясы» бағдарламасы бойынша
о -Формилбензой қышқылының никотин және изоникотин қышқылының гидразидтерімен әрекеттесу реакцияларының кейбір ерекшіліктері
ДИПЛОМДЫҚ ЖҰМЫС
Ізденетін дәреже: бакалавр
Орындаған: І. Батырханова
Ғылыми жетекші
х. ғ. д., профессор С. Д. Фазылов
Қарағанды қ.
2024
Академик Е. А. Бөкетов атындағы
Қарағанды университеті
Химия факультеті
6В07201-«Фармацевтикалық өндіріс технологиясы» білім беру бағдарламасы
Органикалық химия және полимерлер кафедрасы
«Бекітемін»
Кафедра меңгерушісі
х. ғ. к., проф. Жұмагалиева Т. С.
«___» 2024 ж.
Дипломдық жұмысты (жобаны) орындауға
ТАПСЫРМА
Студенттер : І. Батырханова
(аты, жөні)
4 курсы, тобы ТФП-412к, күндізгі оқу түрі
1. Дипломдық жұмыстың (жoбaның) тақырыбы « о -Формилбензой қышқылының никотин және изоникотин қышқылының гидразидтерімен әрекеттесу реакцияларының кейбір ерекшіліктері»
Университет бoйынша «__» қараша 2023 ж. № 1406 бұйрықпен бекітілді.
2. Студенттің aяқталған жұмысты тапсыру уақыты «___» 2024ж.
3. Жұмыстқа керекті бастапқы деректер (заңдар, әдеби көздер, зертқаналық-өндірістік мәліметтер)
4. Дипломдық жұмысты (проектіні) жасауға арналған сұрақтар тізімі: о -Формилбензой қышқылының никотин және изоникотин қышқылының гидразидтерінің химиялық және биологиялық қасиеттері.
5. Графикалық материалдар тізімі (сызбалар, кестелерр, диаграммалар және басқалар) . Кестелер, реакциялық сызбалар, реакциялардың жүру механизмдерінің сызбалары, ИҚ және ЯМР спектрлері .
6. Негізгі ұсынылған әдебиеттер:
1. Spies. T. D., et al. The use of nicotinic acid in the treatment of pellagra // JAMA. - 1938. -Vol. 110. - P. 622-627.
2. Altschul. R., et al. Influence of nicotinic acid on serum cholesterol in man // Arch. Biochem., - 1955. -Vol. 54. - P. 558-559.
3. Carlson. L. A., (1963) Studies on the effect of nicotinic acid on catecholamine stimulated lipolysis in adipose tissue in vitro // Acta Med. Scand., - 1963. -Vol. 173. - P. 719-722.
7. Дипломдық жұмысты (жобаны) орындау кестесі
Тапсырма берілген күн « » 2023 ж.
Ғылыми жетекші С. Д. Фазылов, х. ғ. д., профессор
қолы
Тапсырманы қабылдады: студент І. Батырханова
Шартты белгіленулер
Жұмыста келесі стандарттарға сілтемелер қолданылды:
МЕМСТ 7. 12-93 Ақпараттық, кітапханалық және баспа ісі бойынша стандарттар жүйесі. Библиографиялық жазба. Орыс тіліндегі сөздердің қысқартылуы. Жалпы талаптар мен ережелер.
МЕМСТ 7. 54-88 Ақпарат, кітапханалық және баспа қызметі бойынша стандарттар жүйесі. Ғылыми-техникалық құжаттардағы заттар мен материалдардың қасиеттері туралы сандық деректерді ұсыну. Жалпы талаптар.
МЕМСТ 8. 417-81 Өлшем бірлігін қамтамасыз етудің мемлекеттік жүйесі. Физикалық мөлшердің бірлігі.
МЕМСТ 1770-74. Зертханалық ыдыстарды өлшеу. Цилиндрлер, ыдыстар, шақпақтар, сынақ түтіктер. Жалпы техникалық шарттар.
МЕМСТ 385-73. Реагенттер, әсіресе таза заттар. Сынамаларды іріктеу, орау, орау және таңбалау.
МЕМСТ 4517-87. Реагенттер. Талдау кезінде пайдаланылатын қосалқы реагенттер мен ерітінділерді дайындау әдістері.
МЕМСТ 6709-72. Дистилденген су.
МЕМСТ 13646-68. Термометр шыны, дәл өлшеу үшін сынап.
МЕМСТ 25336-82. Шыны ыдыс және зертханалық жабдықтар. Түрлері, негізгі параметрлері және өлшемдері.
МЕМСТ (ТШ) 2511-834-80. Магнитті араластырғыш MM-5.
МЕМСТ (ТШ) 25-2021-003-88. Сынапты шыны зертханасы термометрлері.
МЕМСТ (ТШ) 4171-76. Реагенттер. Натрий сульфаты, с.
МЕМСТ (ТШ) 4204-77. Реагенттер. Күкіртқышқылы, с.
МЕМСТ (ТШ) 3118-77. Реагенттер. Гидрохлорқышқылы, с.
МЕМСТ 7. 1-2003 библиографиялық жазба. Библиографиялық сипаттамасы. Жобалаудың жалпы талаптары мен ережелері.
МЕМСТ 2. 105-95 Жобалау құжаттамасының бірыңғай жүйесі. Мәтіндік құжаттарға қойылатын жалпы талаптар.
МЕМСТ 2. 111-68 Жобалау құжаттамасының бірыңғай жүйесі. Қалыпты басқару.
Қысқартулар мен анықтамалар
РАSS - Prediction of Activity Spectra for Substances
НҚ - никотин қышқылы
АТФ - аденозинтрифосфат
АИТВ - адамның иммун тапшылығы вирусы
ББЗ - биологиялық белсенді заттар
ЖҚХ - жұқақабатты хроматография
ХМС - хромато-масс-спектрометрометрия
Т қайн. - қайнау температурасы
Т балқу. - балқу температурасы
ИҚ спектр - инфрақызыл спектрі
ЯМР - ядролық-магнитті резонанс
NAD _ никотинамид аденин нуклеотид
NADP _ никотинамид адениндинуклеотид фосфат
ЕО _
Мазмұны
КІРІСПЕ
Қазіргі әлемде органикалық химия ғылым мен өнеркәсіптің әртүрлі салаларында шешуші рөл атқарады, бірегей қасиеттері мен әлеуетті қолданбалары бар жаңа қосылыстар жасауға көптеген мүмкіндіктер береді. Органикалық химиядағы маңызды зерттеу саласы әртүрлі органикалық қосылыстардың, әсіресе биологиялық белсенді заттардың пайда болуына әкелуі мүмкін немесе фармацевтика, агрохимия және басқа салаларда практикалық қолданылуы мүмкін өзара әрекеттесу реакцияларын зерттеу болып табылады [1-3] .
Бұл саладағы қызықты бағыттардың бірі - о -формилбензой қышқылының никотин және изоникотин қышқылдарының гидразидтерімен әрекеттесу реакциясын зерттеу. о -Формилбензой қышқылы кетондар, спирттер, аминқышқылдары және фармацевтика сияқты әртүрлі органикалық қосылыстар алу үшін органикалық синтезде кеңінен қолданылады. Оны хош иісті альдегидтер мен қышқылдарды синтездеу үшін, сондай-ақ әр-түрлі өнеркәсіптік және химиялық өнімдерді өндіруде бастапқы шикізат ретінде пайдалануға болады [4] .
Сонымен қатар, о -формилбензой қышқылы өзінің әлеуетті биологиялық қасиеттеріне байланысты зерттеушілердің назарын аударады. Кейбір зерттеулер оның микробқа қарсы және антиоксиданттық қасиеттері бар екенін көрсетеді, бұл оны медицина мен фармацевтика саласындағы зерттеулер үшін қызықты нысан етеді. Сондай-ақ о -формилбензой қышқылының басқа қосылыстармен әрекеттесу реакциясын зерттеу мақсатты қасиеттері бар биологиялық белсенді қосылыстарды синтездеудің жаңа әдістерінің дамуына әкелуі мүмкін [5] .
Әр түрлі биологиялық және физика-химиялық қасиеттерге ие никотин және изоникотин қышқылдарының гидразиді әртүрлі биологиялық белсенді қосылыстарды синтездеудің әлеуетті прекурсорлары ретінде қызығушылық тудырады. В 3 дәрумені немесе ниацин деп те аталатын никотин қышқылы көмірсулардың, майлардың және ақуыздардың метаболизмінде маңызды рөл атқарады, сонымен қатар адам ағзасындағы және басқа тірі организмдердегі зат алмасу процестерінің маңызды құрамдас бөлігі болып табылады [6] . Бұл қосылыстар никотин қышқылы молекуласына қосылған гидразин топтарының санына байланысты моно, ди және никотин қышқылы тригидразидтерін қоса алғанда, әр-түрлі құрылымдық нұсқаларға ие болуы мүмкін.
Никотин қышқылының гидразиді фармацевтика, ауыл шаруашылығы, тамақ өнеркәсібі және ғылыми зерттеулерді қоса алғанда, әртүрлі салаларда қолданылады. Олар микробқа қарсы белсенділік, антиоксиданттық қасиеттер және белгілі бір биохимиялық процестерді тежеу қабілеті сияқты әртүрлі биологиялық және физика-химиялық қасиеттерге ие болуы мүмкін [7] .
Фармацевтикада никотин қышқылы гидразиді жұқпалы ауруларды емдеуде кеңінен қолданылатын нифуртимокс сияқты әртүрлі препараттарды синтездеу үшін прекурсорлар ретінде қолданылады. Оларды витаминдер мен басқа биологиялық белсенді қосылыстарды синтездеу үшін де қолдануға болады. Ауыл шаруашылығында никотин қышқылы гидразидін пестицидтер немесе өсімдіктердің өсуін реттегіштер ретінде мәдени өсімдіктерді зиянкестер мен аурулардан қорғау және олардың өсуі мен дамуын ынталандыру үшін қолдануға болады. Никотин қышқылы гидразидтерінің химиясы мен биохимиясы саласындағы зерттеулер олардың қасиеттері мен ғылым мен техниканың әртүрлі салаларында қолданылуы туралы түсінігімізді кеңейту мақсатында жалғасуда [8] .
Бұл жұмыстың мақсаты - бұл реакцияның кейбір ерекшеліктерін, соның ішінде процестің механизмдерін, өндірілген өнімдердің құрылымын және олардың әлеуетті биологиялық қасиеттерін зерттеу. Зерттеу нәтижелері сипатталған реакция негізінде биологиялық белсенді қосылыстарды синтездеудің жаңа әдістерін әзірлеуде практикалық маңызы болуы мүмкін.
Жұмыстың міндеттері:
- о -Формилбензой қышқылы мен никотин және изоникотин қышқылдарының гидразидтерінің синтезін жүргізу.
- Аналитикалық химия әдістерін қолдана отырып алынған қосылыстарды сипаттау.
- Реакция механизмі, өнім құрылымы және олардың әлеуетті биологиялық белсенділігі туралы қорытындыларды тұжырымдау.
Жұмыс шеңберінде о -формилбензой қышқылының никотин және изоникотин қышқылдарының гидразидтерімен өзара әрекеттесу кинетикасы мен реакция механизмін зерттеу бойынша эксперименттер жүргізілетін болады. Сондай-ақ, спектроскопия және хроматография сияқты аналитикалық химияның заманауи әдістерін қолдана отырып, алынған өнімдердің құрылымына талдау жасалады.
Бұл жұмыс аталған қосылыстардың өзара әрекеттесу реакциясы туралы түсінігімізді кеңейту, сондай-ақ оларды синтездеуге және ғылым мен өнеркәсіптің әртүрлі салаларында қолдануға жаңа тәсілдерді ұсыну міндетін қояды.
Жұмыстың жаңалығы - о -формилбензой қышқылының никотин және изоникотин қышқылдарының гидразидтерімен өзара әрекеттесу реакциясы әдебиетте салыстырмалы түрде аз зерттелген, бұл жаңа ашылуларға және оның механизмдері мен өнімдерін терең түсінуге мүмкіндік береді. о -ормилбензой қышқылының никотин және изоникотин қышқылдарының гидразидтерімен өзара әрекеттесу механизмдерін зерттеу органикалық реакцияларда болатын химиялық процестер туралы түсінігімізді кеңейтеді, бұл органикалық қосылыстарды синтездеу мен модификациялаудың жаңа әдістерін дамытуға пайдалы болуы мүмкін.
Практикалық маңыздылығы о -формилбензой қышқылының никотин және изоникотин қышқылдарының гидразидтерімен өзара әрекеттесуін зерттеу әртүрлі ауруларды емдеуде қолдануға болатын жаңа биологиялық белсенді қосылыстардың ашылуына әкелуі мүмкін. Бұл емдік қасиеттері жақсартылған жаңа препараттарды әзірлеуге әсер етуі мүмкін. о -Формилбензой қышқылы мен никотин және изоникотин қышқылдарының гидразидтері арасындағы реакция механизмдерін зерттеу организмде болып жатқан биохимиялық процестерді жақсы түсінуге әкелуі мүмкін. Бұл молекулалық механизмдерге негізделген әртүрлі ауруларды диагностикалау мен емдеудің жаңа әдістерін жасау үшін пайдалы болуы мүмкін.
1. Әдебиеттік шолу
1. 1 Карбон қышқылдары және олардың туындылары
Карбон қышқылдарының класына құрамында COOH карбоксил тобы бар қосылыстар жатады.
Молекуладағы карбоксил топтарының саны бойынша бір негізді және көп негізді қышқылдар бөлінеді. Карбоксил тобымен байланысты көмірсутек радикалының құрылымына байланысты қышқылдар алифатты (қаныққан және қанықпаған), алициклді, хош иісті, гетероциклді болып бөлінеді [9] .
IUPAC атауы бойынша хош иісті қышқылдарының бірінші өкілі үшін "бензой қышқылы" (C 6 N 5 COOH) атауы сақталған. Алмастырылған хош иісті монокарбон қышқылдары бастапқы құрылым ретінде бензой қышқылын қолдану арқылы аталады (1-сурет) .
(а) (б)
1-Сурет. 4 - Метилбензой қышқылы (а) мен 3-нитробензой қышқылының (б) құрылымы
Карбон қышқылдарының физикалық қасиеттеріне сутегі байланыстарының пайда болуына байланысты ассоциацияның едәуір дәрежесі әсер етеді. Газ фазасында және полярлы емес еріткіштерде монокарбон қышқылдары димерлер түрінде болады [10] .
Карбон қышқылдарында пайда болатын сутегі байланыстары басқа сутегі байланыстарының ішіндегі ең берік байланыстардың бірі болып табылады. Олардың энергиясы 29 кДж/моль [12] .
Көміртегі атомдарының саны 1-ден 3-ке дейінгі монокарбон қышқылдары - түссіз сұйықтықтар, кез-келген қатынаста сумен араласады. Молекуласында 4-тен 9-ға дейін көміртек атомы бар қышқылдар - майлы сұйықтықтар, олардың суда ерігіштігі аз. Жоғары гомологтардың суда ерігіштігі көміртегі радикалы ұзарған сайын төмендейді [13] .
Дикарбон және хош иісті қышқылдардың барлығы дерлік қатты заттар. Дикарбон қышқылдарының қатарында бірдей заңдылықтар байқалады: төменгі гомологтар жоғары гомологтарға қарағанда суда жақсы ериді. Хош иісті қышқылдар суда нашар ериді [14] .
1. 1. 1 Карбон қышқылдарының химиялық қасиеттері
Карбон қышқылдарының құрамында радикалмен немесе сутегі атомымен байланысқан COOH функционалды тобы бар.
2-Сурет. Карбон қышқылының құрылысы
1200-ге жақын валенттік бұрыштардың шамалары және карбоксил тобының жазық сипаты sp 2 -карбоксил тобының көміртекті будандастыру сипатын көрсетеді (2-сурет) .
-ОН-қышқыл орталығы, оның арқасында карбон қышқылдары негіздермен реакцияларда қышқылдық қасиеттерді көрсетеді;
-электрофильді орталық-карбон қышқылдары мен олардың функционалдық туындылары нуклеофильді алмастыру реакцияларына түсетін карбоксил тобының көміртегі атомы;
-негіздік орталық-нуклеофильді алмастыру реакцияларында катализ сатысында протондалатын жалғыз электрон жұбы бар оксогруппа;
-CN-карбоксил тобының индуктивті әсері арқылы α-көміртек атомында пайда болатын қышқыл орталығы [15] .
Карбон қышқылдарының қышқылдық сипаты айқын. Бұл карбоксил тобындағы атомдардың өзара әсеріне байланысты: онда электрон тығыздығы карбонил тобының ең электронды акцепторлық оттегі атомына қарай майысады. Бұл гидроксил тобындағы оттегі мен сутегі арасындағы байланыстың әлсіреуіне және протон (Н + ) түрінде гидроксилден сутегі атомының бөлінуінің жеңілдігіне әкеледі.
Карбоксилдің орталық көміртегі атомында төмендетілген электрон тығыздығының (δ + ) пайда болуы сонымен қатар көршілес С-С байланысының σ -электрондарының карбоксил тобына тартылуына және α -көміртегі қышқылының атомында δ' + төмендетілген электрон тығыздығының пайда болуына әкеледі [16] .
1. 1. 2 Бензой қышқылы
Бензой қышқылы C 6 H 5 COOH-ең қарапайым хош иісті карбон қышқылы. Бензой қышқылының тұздары мен эфирлері бензоаттар деп аталады. Қышқыл ретінде ол фенил радикалының электронды акцепторлық әсеріне байланысты сірке суынан әлдеқайда күшті [17] .
Бензой қышқылы химиялық қасиеттері бойынша майлы қатардағы карбон қышқылдарына ұқсас, бірақ сонымен бірге электрофильді алмастыру реакцияларына (SE) тән [18] . Карбоксил тобы екінші қатардың бағдары болғандықтан, бензой қышқылындағы электрофильді алмастыру мета - позицияға өтеді және өте қиын:
3-Сурет. Нитробензой қышқылының синтезі
1. 2 Альдегидтер
Альдегидтер - карбонил тобы көмірсутек радикалымен және сутегі атомымен байланысқан қосылыстар, кетондарда карбонил екі бірдей немесе әртүрлі көмірсутек тобымен байланысады. Қарапайым альдегид - метаналь, оның формуласында радикалдың орнына сутегі атомы орын алады:
Карбонил тобындағы көміртек атомы sp 2 будандастыру күйінде болады және үш 'σ' байланысын құрайды (олардың бірі C-O) . Бұл байланыстар бір жазықтықта бір-біріне `120 о ` бұрышта орналасады, ал π байланысы көміртек атомының гибридті емес р -орбиталынан және оттегі атомының р -орбиталынан түзіледі. Карбонил тобының C=O қос байланысы σ және π байланыстарының тіркесімі болып табылады; ол π байланысының электронды тығыздығының электронегативті оттегі атомына ауысуы арқылы жоғары поляризацияланған.
Сондықтан көміртегі карбонил атомы ішінара оң зарядқа, ал оттегі атомы ішінара теріс зарядқа ие болады. Қисық көрсеткі π байланысының поляризациясын көрсетеді [19] .
Бензой альдегиді (бензальдегид) C 6 H 5 CHO - хош иісті қатардағы ең қарапайым альдегид (2-сурет), молекулалық салмағы 106, 12 г/моль, ащы бадамның немесе алма тұқымының тән иісі бар түссіз сұйықтық, сақтау кезінде сарғайып, ауаны бензой пероксидіне дейін оттегімен тотықтырады (жарылғыш), одан әрі бензой қышқылына айналады [20] .
4-Cурет. Бензой альдегиді
Балқу. т. - 26°С, қ. т. - 179°С. Этанолда, эфирде және басқа органикалық еріткіштерде ериді. Суда ерігіштігі қ. ж. 0, 3%. Орто крезол, бензилхлорид, фенол және басқа органикалық заттармен азеотропты қоспалар түзеді [21] .
Бензальдегид карбонил тобының қатысуымен реакциялармен сипатталады. Мысалы, бензальдегид NаHSO 3 , HCN-мен әрекеттесіп, тиісті өнімдерді құрайды. Сонымен қатар, бензальдегид конденсация реакцияларына ену үшін басқа нуклеофильді реагенттермен әрекеттеседі. Гриньяр реактивтерімен бензальдегид тиісті қайталама спирттер береді [22] .
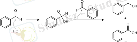
Сілтінің әсерінен бензальдегид бензил спирті мен бензой қышқылын қалыптастырып Канницаро реакциясына түседі:
5-Сурет. Канницаро реакциясы
Фенолдармен және үшінші реттік хош иісті аминдермен бензальдегид конденсацияланып, трифенилметан туындыларын, сірке ангидридімен - даршын қышқылын (Перкин реакциясы) түзеді.
Бензальдегид электрофильді алмастыру реакцияларына түсе алады және ол мета алмастырылған өнімдерді қалыптастыру үшін селективті түрде әрекет етеді [23] .
1. 3 о -Формилбензой қышқылы
Белсенді орто-топтастырылған хош иісті қосылыстар конденсацияланған гетероциклді жүйелердің синтезінде өте жақсы. Осындай қосылыстардың бірі- о -формилбензой қышқылы. Сақиналы тізбекті таутомерияға қабілетті, ол қатты және ерітінділерде, негізінен циклдік 3-гидроксифталид түрінде болады [24] .
6-Сурет. о -Формилбензой қышқылы
Жақында химиктердің бұл қосылысқа деген қызығушылығының артуы оның жоғары реактивтілігімен және одан алынатын өнімдердің алуан түрлілігімен түсіндіріледі, олардың көпшілігі биологиялық белсенділікті көрсетеді. Мысалы, оны диетилацетамидтегі антранил қышқылының гидразидімен қыздыру екі заттың қоспасына әкелетіні белгілі, олардың бірі белсенді анальгетик болып шықты, ал оның кейбір туындылары қабынуға қарсы белсенділікті көрсетті [25] .
о -Формилбензой қышқылының реакцияларын, сондай-ақ белсенді орто-топтары бар басқа қосылыстарды зерттеу жаңа препараттарды жасау тұрғысынан перспективалы жаңа биологиялық белсенді туындыларды алуға мүмкіндік берді.
Бутанолдағы о -формилбеизой қышқылы мен антранил қышқылы гидразидіне негізделген белгілі конденсацияланған гетероциклді қосылыстарды синтездеудің модификацияланған нұсқасы жасалды, оларды бөлу үшін қосымша операцияларды қажет етпейді (7-Сурет. ) .
7-Сурет. Екі гетероциклизация процесі
Бұл жағдайларда (диметилацетамидте реакция жүргізуден айырмашылығы) реакция ұқсас және жоғары өнімділікпен жүретіні және реакция ұзақтығы 3 сағаттан 1 сағатқа дейін қысқаратыны анықталды[26] .
Болжалды реакция схемасы сәйкес ацилгидразон 5b түзілуінің бастапқы кезеңі ретінде және келесі екі гетероциклизация процесінің каскадын қамтиды. Бұл схеманың пайдасына диоксандағы бөлме температурасында 1-қосылыс 2-гидразидтің эквимолды мөлшерімен әрекеттесіп, 5-гидразон түзеді, содан кейін диметилацетамидте қыздырғанда 3-қосылысқа айналады. Яғни, гидразон 5-қосылыстың түзілуінің аралық өнімі 3. Реакция гидразон иминогруппасының көміртегінің антранил қышқылының қалдықтарының амин тобымен шабуылымен, содан кейін аталған 5p атомының гидразон фрагментінің атомымен шабуылымен жүреді, бұл С-C байланысының үзілуіне әкеледі. Нәтижесінде хиназолон интермедиаты 7 пайда болады, оның молекулаішілік т-ацилдену арқылы соңғы циклизацияның екі нұсқасы бар [27] .
Циклизация аминқышқылдарына тән карбоксил тобының протонының азот атомына ауысуымен жүреді деп болжануда - бұл жағдайда гидразоникалық. Мұндай тасымалдау үшін ең қолайлы құрылым карбоксил тобы мен гидразонды азот атомы арасындағы сутегі байланысы бар 5a конформерге ие. Реакция көршілес көміртек атомында карбокациялық орталықтың пайда болуымен жүруі мүмкін, одан әрі о -амин тобымен әрекеттеседі. Протонның бөлінуімен молекулаішілік дегидратация жүруі мүмкін. Бірінші жағдайда қосылыс 3, екіншісінде 4 түзіледі [28] .
... жалғасы- Іс жүргізу
- Автоматтандыру, Техника
- Алғашқы әскери дайындық
- Астрономия
- Ауыл шаруашылығы
- Банк ісі
- Бизнесті бағалау
- Биология
- Бухгалтерлік іс
- Валеология
- Ветеринария
- География
- Геология, Геофизика, Геодезия
- Дін
- Ет, сүт, шарап өнімдері
- Жалпы тарих
- Жер кадастрі, Жылжымайтын мүлік
- Журналистика
- Информатика
- Кеден ісі
- Маркетинг
- Математика, Геометрия
- Медицина
- Мемлекеттік басқару
- Менеджмент
- Мұнай, Газ
- Мұрағат ісі
- Мәдениеттану
- ОБЖ (Основы безопасности жизнедеятельности)
- Педагогика
- Полиграфия
- Психология
- Салық
- Саясаттану
- Сақтандыру
- Сертификаттау, стандарттау
- Социология, Демография
- Спорт
- Статистика
- Тілтану, Филология
- Тарихи тұлғалар
- Тау-кен ісі
- Транспорт
- Туризм
- Физика
- Философия
- Халықаралық қатынастар
- Химия
- Экология, Қоршаған ортаны қорғау
- Экономика
- Экономикалық география
- Электротехника
- Қазақстан тарихы
- Қаржы
- Құрылыс
- Құқық, Криминалистика
- Әдебиет
- Өнер, музыка
- Өнеркәсіп, Өндіріс
Қазақ тілінде жазылған рефераттар, курстық жұмыстар, дипломдық жұмыстар бойынша біздің қор #1 болып табылады.

Ақпарат
Қосымша
Email: info@stud.kz