СӨЖ орындауға арналған әдістемелік нұсқау


Ф. 7. 03-03
ҚАЗАҚСТАН РЕСПУБЛИКАСЫ БІЛІМ ЖӘНЕ ҒЫЛЫМ МИНИСТРЛІГІ

Коммерциялық емес акционерлік қоғам
«М. ӘУЕЗОВ атындағы Оңтүстік Қазақстан университеті»
«Жаратылыстану ғылымдары және педагогикасы» жоғары мектебі
« МАТЕМАТИКА» КАФЕДРАСЫ
«Математика» пәнi бойынша
СӨЖ және ОСӨЖ ТАПСЫРМАЛАРЫ ЖӘНЕ ОЛАРДЫ ОРЫНДАУҒА АРНАЛҒАН
ӘДІСТЕМЕЛІК НҰСҚАУШЫМКЕНТ 2022 ж.
ОӘЖ 517
Құрастырған: ТакибаеваГ. А.
«Математикалы0 талдау 1» пәні бойынша СӨЖ орындауға арналған әдістемелік нұсқау. - Шымкент: М. Ауезов атындағы ОҚУ, 2022, бет саны -111б
Әдістемелік нұсқау «Математикалық талдау » пәнінің оқу жоспары мен бағдарламасы талаптарына сәйкес құрастырылған және курстың «Функция. Сан тізбегі және функция тізбегінің шегі», «Функцияның туындысы. Жоғары ретті туындылар. Туынды көмегімен функцияны зерттеу» бөлімдерінің ұғымдары, қасиеттері, анықтамалары мен теоремалары және оларды есептеу үлгілері мен қолданылулары келтірілген және типтік тапсырмалары ұсынылған.
Әдістемелік нұсқаулық» 6В05410 - «Математика», мамандығының студенттері үшін студенттері үшін арналған.
Рецензент: п. ғ. к., доцент Жунисбекова Д. А., М. Ауезов атындағы., ОҚМУ, «Жоғары математика және физика» кафедрасы
«Математика» кафедрасы ( хаттама №5. «27» 12. 2021ж . ) және «Жаратылыстану ғылымдары және педагогикасы» жоғары мектебі оқытудың инновациялық технологиясы және әдістемелік қамтамасыз ету комитетінің мәжілісінде (хаттама №5, «28» 12. 2021ж. ) қаралған және баспаға ұсынылған.
Басуға М. Ауезов атындағы ОҚУ Оқу - әдістемелік кеңесі ұсынған
©М. Ауезов атындағы Оңтүстік Қазақстан университеті, 2022
Шығаруға жауапты:
МАЗМҰНЫ
Сөж №2. Функцияның үздіксіздігі
1 модуль бойынша бақылау сұрақтары . . .
Сөж №4 . . . Туынды көмегімен функцияны зерттеу . . .
2 модуль бойынша бақылау сұрақтары . . .
Тест тапсырмалары . . .
Студенттің оқу жетістіктері нәтижелерін бағалау жүйесі
Кіріспе
Студенттің өзіндік жұмыстарын жүргізу бойынша әдістемелік сілтемелер өзгеріске ұшыраған, өйткені барлық оқыту денгейлері үшін қойылатын талаптар жоғары. СӨЖ сабақтарын жүргізу әдістемесін жетілдіру мамандар дайындаудың өзекті мәселелері болып табылады.
«Математика 1» курсы бойынша студенттің өзіндік жұмысын өткізу түрлері:
Тақырыпта немесе тарауында кездесетін анықтамаларды айқындау, қысқаша (0, 5 беттен аспайтын) эссе жазу.
Презентация - таңдаған тақырыбы бойынша студенттің өз ойын - пікірін дүниетануын білдіруі және оны қорғауы. Презентация тақырыпты қалай айқындауы, ашуы, қызықтырумен бағаланады (8-10 минут) .
Іскерлік ойын - Болашақ мамандығына қажетті дағдыларды қалыптастыру мақсатында келешек мамандығында атқаратын жұмыстарын ойын ретінде белгілі рольде, топта ойнау (алдын-ала дайындалу керек) .
Тақырып бойынша өзін-өзі тексеру сұрақтарына ауызша жауап беру (10-15 минут) . Жауаптар тақырып қалай ашылғандығына (айқындағанына) және басқаларды қалай қызықтырғанына байланысты бағаланады.
Жазба жұмыстары модуль бойынша рейтинг бақылау сұрақтарына жазба түрде жауап жазу.
Рефераттар мен баяндамалар. Студент немесе студенттер таңдауы бойынша пән тараулары тақырыптарын оқып үйреніп, талдау жасап, өзінше қорытындысын шығару.
Есеп шығару - әрбір студенттің есептеу сызба жұмыстары, типтік есептері, есептеу жобалау жұмыстары жазба түрде тапсырылады.
Есептер құрастыру - лекциялық тақырыпқа есептер ойлап тауып, оларды шығарып жазба түрде тапсыру.
Тестілеу - Әр модульдің соңында студенттерге алдын-ала айтылмастан тест алынады.
Дұрыс жауаптарға ең жоғарғы балл -5 балл.
Студенттердің білім деңгейіне байланысты тапсырмаларды жеңілдету немесе күрделі ету жоспарлану қажет. Мәселен, барлық студенттерге кейсті талдау тапсырылса, дайындығы жоғары (1 немесе 2) студентке кейс жазуды тапсыруға болады.
Барлық СӨЖ тапсырмалары уақытылы: уақытында тапсырылмаған тапсырмалар төмендетіп бағаланады (әрбір тапсырмадан кешіккен күніне 0, 1 балл алып тастау) .
СӨЖ ұйымдастыру үшін:
СӨЖ тапсырмаларын семестр барысында студентке беру;
Ағымды және межелі бақылау түрлерін дайындау;
СӨЖ консультациясының уақытын белгілеу.
Студенттерден
а) СӨЖ тапсырмасын уақытылы орындауды;
б) белгіленген уақытта тапсыруды;
в) СӨЖ-ге үлкен жауапкершілікпен қарауды талап ету қажет.
СӨЖ-ді іске асыруға арналған жоғарыда ұсыныстар мен интерактивті әдістерді қолдану арқылы студенттредің білім деңгейін көтеруге болады.
Интерактивті әдістер студенттің:
Тыңдау және өзара қарым-қатынасын;
Басқаға жанашырлық таныту, жанкүйерлік қабілетін дамытуды;
Көзқарасын дамытуды және түсінуді;
Белгісіз сұрақтарға жауап тауып, белгілі мәселелерді шешуді;
Аналитикалық ойлау және өз ойын талқылауды қалыптастырады.
Оқу жоспарына сәйкес «Математика 1» пәнін оқып-үйренген кезде білім алушылар осы пән бойынша студенттердің өзіндік жұмысын (ОСӨЖ) орындауға міндетті.
Жоғары оқу орнында біліктілігі жоғары мамандарды дайындауда студенттің өзіндік жұмыстарының алатын орны ерекше. «Математика 1» пәні бойынша студенттердің өзіндік жұмысы осы пәнді тереңдете, егжей-тегжейлі оқып-үйрену, студенттерді оқу, ғылыми-техникалық, әдістемелік әдебиетпен, дәрістік конспектілерімен шығармашылық, өз бетінше жұмыс істеуге машықтандыру мақсатымен жүргізіледі.
Өзіндік жұмыстарын орындау үшін студенттер дәріс сабағын, үйге берілген тапсырмалар материалын жақсы меңгеруі және әдебиетпен өз бетінше жұмыс істеуі тиіс.
Студенттердің өзіндік жұмысы негізгі мазмұны дәрістерде берілетін теориялық курстың тиісті бөлімдерін білген кезде ғана тиімді болады. Сондықтан теориялық материалдарды оқып-үйренуге ерекше көңіл бөлінуі қажет.
Дәріс материалдарын оқып-үйренуі бойынша студенттердің өзіндік жұмысын тексеруді әдетте лектор жүргізеді. Лектор студенттен дәріс конспектісін талап етуі, дәріс материалдары қаншалықты дәл жазылғандығын, оқулықтармен жұмыс істеуін, ұсынылған әдебиеттен дәріс конспектілерінің толықтырылуын тексеруі мүмкін.
Лектор пәннің белгілі бір бөлімдері бойынша коллоквиум өткізуі мүмкін. Пәннің сипатына байланысты семестр бойында екі коллоквиум белгіленеді.
Студенттердің өзіндік жұмысын орындауы үшін семестр басында СӨЖ бойынша кеңес беру және студенттердің білімін бақылау кестелері жасалады. Студенттердің білімін бақылау кестесінде СӨЖ-ді тапсыру мерзімдері көрсетіледі. Әдістемелік нұсқау 4 СӨЖ-ден және 30 ОСӨЖ-ден тұрады.
СӨЖ-ді орындау бойынша әдістемелік нұсқаулар.
1. Ұсынылған және өз бетінше тапқан әдебиет көздерінен ақпараттық сараптамалық топтамасын жасау.
2. Материалды баяндау немесе жазу логикасын бейнелейтін толық жоспар құру.
3. Қойылған сұрақтарға дәйектеме болатындай отандық және шетелдік тәжірибеден материал жинақтау, жүйелеу.
4. Материалды жоспарға сәйкес сауатты түрде жазу немесе баяндау.
ОСӨЖ бойынша әдістемелік нұсқаулар:
ОСӨЖ студенттерге СӨЖ- ді орындау жөнінде кеңес беру және олардың білімін, атқарған жұмыстарын бақылау, бағалау жүзеге асырылатын сабақтың түрі. Жүргізілу уақыты және аудиториясы оқу кестесіне сәйкес.
ОСӨЖ де студенттер тапсырманы орындау реті, талаптары, жинақтаған материалдары, әдебиет көздері, ақпараттың сараптамалық топтамасын жасау, жұмыстың жоспарын құру, материалды жүйелеу бойынша оқытушымен кеңесе алады. Сондай- ақ СӨЖ жұмыстары бақыланады. СӨЖ -ді бақылау шағын топ немесе конференция әдісінде жүргізіледі.
Оқу жоспарына сәйкес «Операциялық жүйелер, орталар және қабықшалар» пәнін оқып-үйренген кезде білім алушылар осы пән бойынша студенттердің өзіндік жұмысын (БАӨЖ) орындауға міндетті.
Жоғары оқу орнында біліктілігі жоғары мамандарды дайындауда студенттің өзіндік жұмыстарының алатын орны ерекше. «Математика 1» пәні бойынша студенттердің өзіндік жұмысы осы пәнді тереңдете, егжей-тегжейлі оқып-үйрену, студенттерді оқу, ғылыми-техникалық, әдістемелік әдебиетпен, дәрістік конспектілерімен шығармашылық, өз бетінше жұмыс істеуге машықтандыру мақсатымен жүргізіледі.
Өзіндік жұмыстарын орындау үшін студенттер дәріс сабағын, үйге берілген тапсырмалар материалын жақсы меңгеруі және әдебиетпен өз бетінше жұмыс істеуі тиіс.
Студенттердің өзіндік жұмысы негізгі мазмұны дәрістерде берілетін теориялық курстың тиісті бөлімдерін білген кезде ғана тиімді болады. Сондықтан теориялық материалдарды оқып-үйренуге ерекше көңіл бөлінуі қажет.
Дәріс материалдарын оқып-үйренуі бойынша студенттердің өзіндік жұмысын тексеруді әдетте лектор жүргізеді. Лектор студенттен дәріс конспектісін талап етуі, дәріс материалдары қаншалықты дәл жазылғандығын, оқулықтармен жұмыс істеуін, ұсынылған әдебиеттен дәріс конспектілерінің толықтырылуын тексеруі мүмкін.
Лектор пәннің белгілі бір бөлімдері бойынша коллоквиум өткізуі мүмкін. Пәннің сипатына байланысты семестр бойында екі коллоквиум белгіленеді.
Студенттердің өзіндік жұмысын орындауы үшін семестр басында СӨЖ бойынша кеңес беру және студенттердің білімін бақылау кестелері жасалады. Студенттердің білімін бақылау кестесінде СӨЖ-ді тапсыру мерзімдері көрсетіледі. Әдістемелік нұсқау 4 СӨЖ-ден және 30 ОСӨЖ-ден тұрады.
СӨЖ-ді орындау бойынша әдістемелік нұсқаулар.
1. Ұсынылған және өз бетінше тапқан әдебиет көздерінен ақпараттық сараптамалық топтамасын жасау.
2. Материалды баяндау немесе жазу логикасын бейнелейтін толық жоспар құру.
3. Қойылған сұрақтарға дәйектеме болатындай отандық және шетелдік тәжірибеден материал жинақтау, жүйелеу.
4. Материалды жоспарға сәйкес сауатты түрде жазу немесе баяндау.
ОСӨЖ бойынша әдістемелік нұсқаулар:
ОСӨЖ студенттерге СӨЖ- ді орындау жөнінде кеңес беру және олардың білімін, атқарған жұмыстарын бақылау, бағалау жүзеге асырылатын сабақтың түрі. Жүргізілу уақыты және аудиториясы оқу кестесіне сәйкес.
ОСӨЖ де студенттер тапсырманы орындау реті, талаптары, жинақтаған материалдары, әдебиет көздері, ақпараттың сараптамалық топтамасын жасау, жұмыстың жоспарын құру, материалды жүйелеу бойынша оқытушымен кеңесе алады. Сондай- ақ СӨЖ жұмыстары бақыланады. СӨЖ -ді бақылау шағын топ немесе конференция әдісінде жүргізіледі.
№1 СӨЖ. Жұмыстың мақсаты: Студенттерге Функцияның шегі, бірінші және екінші тамаша шек жайында мағлұмат беріп, мысалдар келтіріп, есептер шығаруда оларды қолдануды үйрету. Эквиваленттілік кесте көмегімен шектерді есептеу.
Теориялық сұрақтар
1. Функция ұғымы. Берілу жолдары, қасиеттері, функциялар классификациясы.
2. Сандық тізбектер. Сандық тізбектің шегі. Функцияның шегі.
3. Шексіз аз және шексіз үлкен шамалар. Шексіз аз шамалар туралы теоремалар.
4. Шектер туралы теоремалар. Біржақты шектер. Бірінші және екінші тамаша шектер.
5. Шексіз аз шамаларды салыстыру. Эквивалентті шексіз аз шама-лар.
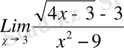
Типтік нұсқаның шешуі
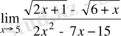
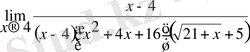
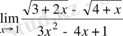
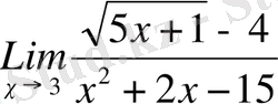
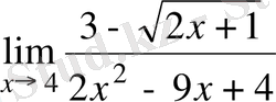
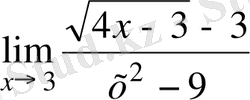
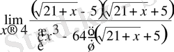
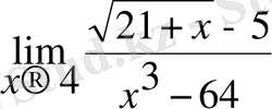
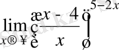
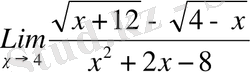
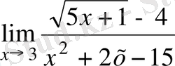
1.
Шекті табу керек
.
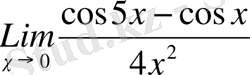
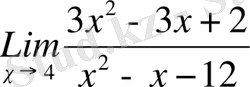
Шешуі. Бұл шекте айнымалыға 4-ті қойғанда
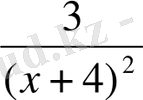
түріндегі анықталмағандық шығады, оны ашу үшін алымын және бөлімін алымына түйіндес өрнекке көбейтіп, ал бөлімін көбейткіштерге жіктейміз. Содан соң ортақ көбейткішті қысқартамыз
.
Егер Лопиталь ережесін қолдансақ, мына нәтижені аламыз:
.
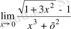
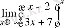
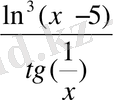
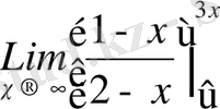
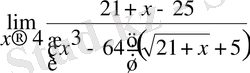
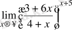
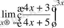
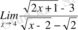
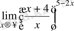
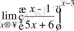
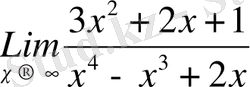
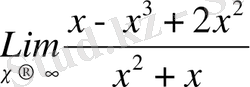
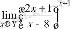
2. Шекті табу керек
а)
, б)
.
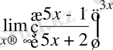
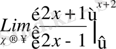
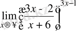
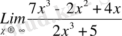
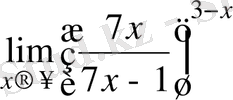
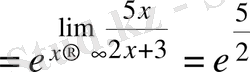
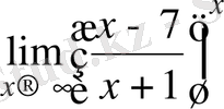
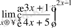
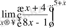
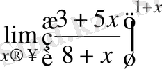
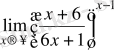
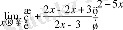
Шешуі. а) Бұл шекте айнымалыға ∞ қойғанда
түріндегі анықталмағандық шығады, оны шешу үшін келесі әдістердің бірін қолдануға болады. Біріншісі - бұл берілген шекті екінші тамаша шектің түріне келтіру:
.
Бұл жерде біз екінші тамаша шектің жалпы түрін қолдандық
.
Екінші әдіс - бұл
түріндегі анықталмағандықты ашу үшін қолданылатын формула
.
Бұл формула бойынша
(шексіз аз функцияны оған эквивалентті аз функциямен айырбастасақ)
кезде
. Жоғарыда келтірілген формуланы еске түсірмесек, ол формуланы алу әдісін қолдануға болады.
берілген болсын, бұл теңдіктен
е
негізі бойынша логарифмдесек
аламыз. Одан шек алсақ
(жоғарыда есептеу жолы көрсетілген)
. Сонымен,
, бұдан
.
б)
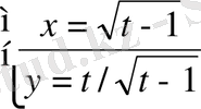
.
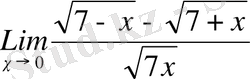
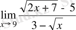
Типтік есептерді шығару үлгілері.
а)
=
=
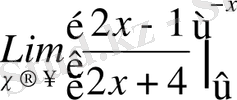
б)
=
=
=
=0, 7
в
)
=
=
=
=
=
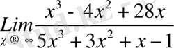
г)
=
=
=
=
=
=0
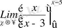
д)
=
=
=
=
=
=
=
=
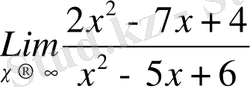
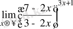
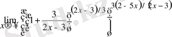
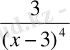
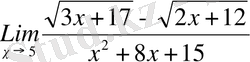
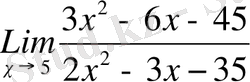
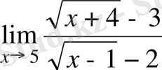
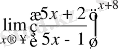
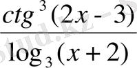
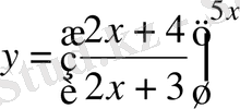
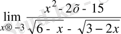
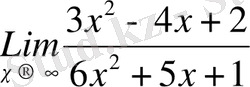
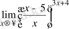
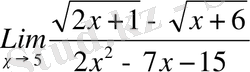
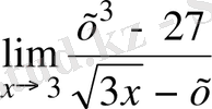
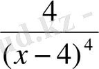
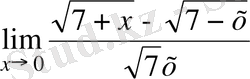
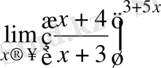
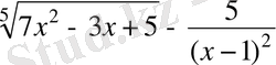
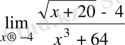
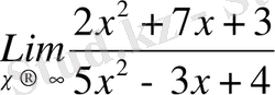
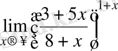
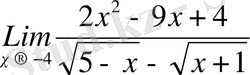
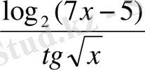
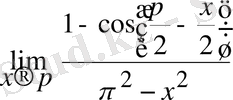
ТИПТІК ТАПСЫРМАЛАР
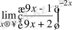
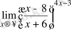
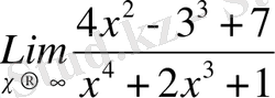
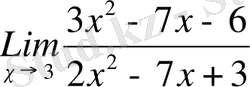
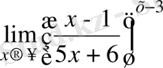
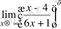
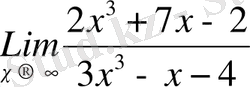
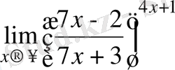
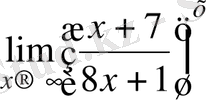
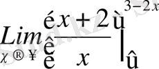
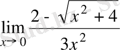
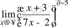
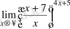
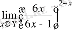
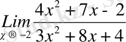
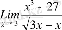
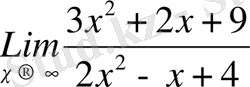
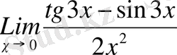
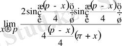
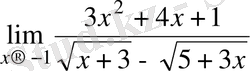
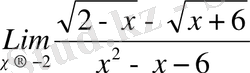
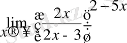
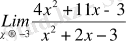
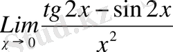
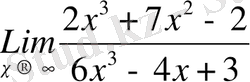
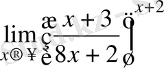
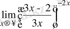
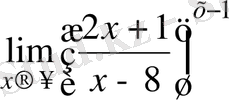
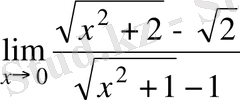
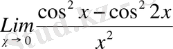
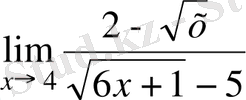
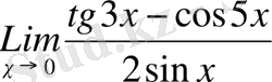
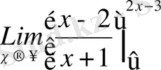
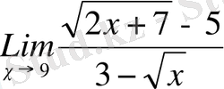
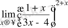
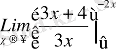
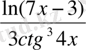
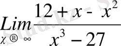
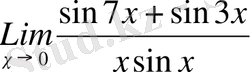
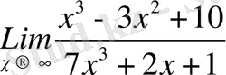
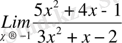
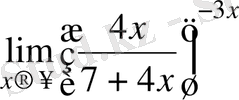
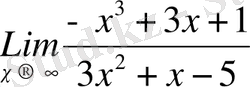
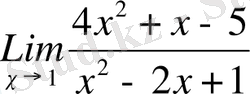
1. Шекті табу керек



























2. Шекті табу керек




















































2. 27
,
, 2. 28
,
,
3. СӨЖ тапсырмалары:
1. а)
:
б) .
:
в)
: г)
:
д)
2 . а)
: б)
:
в)
: г)
:
д)
3. а)
: б)
:
в)
: г)
:
д)
:
4. а)
: б)
:
в)
г)
д)
5. а)
б)
:
в)
г)
д)
6. а)
: б)
:
в)
: г)
:
д)
:
7. а)
: б)
:
в)
: г)
:
д)
:
8. а)
: б)
:
в)
: г)
:
д)
:
9. а)
: б)
:
в)
: г)
:
д)
:
10. а)
: б)
:
в)
: г)
:
д)
:
11. а)
: б)
:
в)
: г)
:
д)
:
12. а)
: б)
:
в)
: г)
:
д)
:
13. а)
: б)
:
в)
: г)
:
д)
:
14. а)
: б)
:
в)
: г)
:
д)
:
15. а)
: б)
:
в)
: г)
д)
:
16. а)
б)
в)
г)
д)
17. а)
б)
в)
г)
д)
18. а)
б)
в)
г)
д)
19. а)
б)
в)
г)
д)
20. а)
б)
в)
г)
д)
21. а)
б)
в)
г)
д)
22. а)
б)
в)
г)
д)
23. а)
б)
в)
г)
д)
24. а)
б)
в)
г)
д)
25. а)
б)
в)
г)
д)
№2 СӨЖ. Функцияның үздіксіздігі
Мақсаты: Студенттерге Функцияның шегі, бірінші және екінші тамаша шек жайында мағлұмат беріп, мысалдар келтіріп, есептер шығаруда оларды қолдануды үйрету. Эквиваленттілік кесте көмегімен шектерді есептеу. Фунцияның нүктедегі үзіліссіздігі және оның қасиеттері. Фунцияның үзіліс нүктелерін қарастыру.
Типтік нұсқаның шешуі
2
және
функциялары үшін табу керек.
а) үзіліс нүктесін;
б) үзіліс нүктесінде оң және сол жақ шектерін;
в) үзіліс нүктесінің сипаттамасын анықтау керек.
Шешуі. 1)
функциясын қарастырайық.
а)
нүктесі берілген функцияның анықталу облысына енбейді, бірақ оның маңайында анықталған, яғни
үзіліс нүктесі;
б)
,
;
в) біржақты шек
болғандықтан,
екінші текті үзіліс нүктесі.
2)
функциясын қарастырайық.
а)
нүктесі берілген функцияның анықталу облысына еңбей-ді, бірақ оның маңайында анықталған, яғни
үзіліс нүктесі;
б)
,
;
в) біржақты шектердің екеуі де ∞-ке ұмтылғандықтан
екінші текті үзіліс нүктесі.
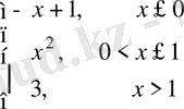
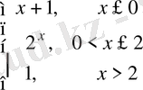
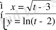
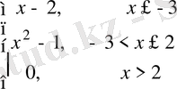
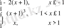
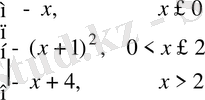
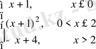
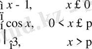
4.
функцияны үзіліссіздікке зерттеп, графигін салу керек.
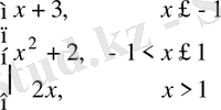
Шешуі. Берілген функция
аралығында анықталған және үш құраушы функциялардан тұрады, олардың әрқайсысындағы
х
берілген аймақтарында анықталған. Сонымен, аналитикалық өрнектер ауысатын нүкте үзіліс нүктесі болады, яғни
және
. Осы нүктелерді зерттейік.
нүктесінің біржақты шектерін есептейміз:
;
; бұл нүктедегі функция-ның мәні
. Сонымен,
, бұдан
үзіліссіз нүкте екендігін аламыз.
Сол сияқты
үшін:
,
,
.
Келесі өрнекті ескерсек
, онда
бірінші текті үзіліс нүктесі,
- функцияның
нүктесіндегі секірісі. Графиктің түрі:
1-сурет
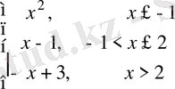
ТИПТІК ТАПСЫРМАЛАР
3. Берілген
және
функциялары үшін
а) үзіліс нүктелерін;
б) үзіліс нүктесіндегі оң және сол жақ шектерін;
в) үзіліс нүктесінің түрін табу керек.
























































4. Функцияны үзіліссіздікке тексеру керек және графигін салу керек.
4. 1
4. 2
4. 3
4. 4
4. 5
4. 6
4. 7
4. 8
4. 9
4. 10
4. 11
4. 12
4. 13
4. 14
4. 15
4. 16
4. 17
4. 18
4. 19
4. 20
4. 21
4. 22
4. 23
4. 24
4. 25
4. 26
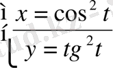
№3 СӨЖ. Функция. Функция туындысы. Жоғары ретті туындылар. Туынды көмегімен функцияны зерттеу.
Мақсаты: Студенттерге функцияның туындысы. Оның геометриялық, механикалық мағыналары. Қосындының, кобейтiндiнiң және бөлшектің туындылары. Туындылар кестесі. Күрделi және керi функцияның туындылары. Параметрлiк және айқын емес түрде берілген функцияның туындылары, функцияның дифференциалы, қасиеттері, қолданылуы, туынды көмегімен функцияны зерттеу.
3. Күрделi функцияның туындысы
Егер
функциясының
нүктесiнде, ал z=g(y) функциясының
нүктесiнде туындысы бар болса, онда күрделi
функциясының
нүктесiнде туындысы бар болып, ол
теңдiгiмен анықталады.
4.
Логарифмдiк туынды
.
функциясының логарифмiнiң туындысын
логарифмдiк туынды деп атайды.
Алдын ала логарифмдеу функциядан туынды табуды жеңiлдетедi. Берiлген функцияда логарифмделетiн амалдар (көбейту, бөлу, дәрежелеу және түбiр табу) бар болғанда және дәрежелi-көрсеткiштiк
функция болған кезде логарифмдiк туындыны қолданған жөн.
5. Жоғары реттi туындылар.
Жалпы жағдайда, функцияның
n
-шi немесе
n
реттi туындысы деп, функцияның
реттi туындысынан алынған туындыны айтады да, мынадай символмен белгiлейдi:
.
Типтік нұсқаның шешуі
5 Келесі функциялар үшін функция туындысын табу керек.
а)
; б)
; в)
;
г)
; д)
.
Шешуі. Анықтама бойынша
функциясының туындысы деп
шегін айтамыз. Практикада функцияның дифференциалын тапқанда туынды кестесін және негізгі дифференциалдау ережелерін қолданамыз:
1)
; 2)
; 3)
;
4) егер
немесе
(мұндағы
аралық аргумент) болса, онда
немесе
;
5) егер
және
өзара кері функциялар болса, онда
.
а) Функцияны
түрінде жазамыз, содан соң 1) ереже мен 1), 2), 3) формулаларын қолдансақ,
;
б) берілген күрделі функцияны
түрінде жазамыз. Сосын 4) ереже бойынша күрделі функцияның туындысын туынды кестесін қолдану арқылы табамыз
;
в) туынды кестесінен және 2) ережеден
;
г) туынды кестесінен және 3) ережеден
.
г) берілген функцияны аралық аргумент енгізіп, элементар функциялардың тізбегі ретінде түрлендіруге болады
. Енді туынды кестесінен және 4) ережеден күрделі функцияның туындысын табамыз:
. а) Туындыны табу керек.
Шешуі:
б)
функциясының туындысын табу керек.
Шешуi:
демек, 5-формула бойынша
;
үшiн
, демек, (6) формула бойынша
;
Cонымен
, өйткенi,
.
Күрделi функцияның туындысын тапқанда, оны келтiрiлген мысалдардағыдай құраушы функцияларға жiктеудiң қажетi жоқ. Жаттығулар арқылы бiрден дифференциалдауға үйренген жөн.
в)
функциясының туындысын табу керек.
Шешуi:
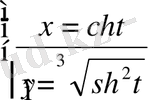
г) Мына функциялардың туындысын табыңыз:
1)
2)
Шешуі:
1)
Теңдіктің екі жағын да натурал логарифмдейміз.
. Теңдіктің екі жағын дифференциалдаймыз, мұндағы
функциясы õ айнымалысының күрделі функциясы:
.
Теңдіктің екі жағын да
-ке көбейтіп,
екенін ескерсек
болады.
ТИПТІК ТАПСЫРМАЛАР
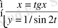
Берілген функциялардың туындысын табыңыздар.
1. а)
: б)
в)
г)
д)
2. а)
б)
в)
г)
: д)
3. а) y=
+
b б) y=arccos
4
xln(x
2
+x-1)
в) y=
г) y=(sin3x)
arccosx
д)
4 . а) y=
б) y=
в) y=
г) y=(th5x)
arcsin(x+1)
д)
5 . а) y=
б) y=tg
4
3x arctg 7x
2
в) y=
г) y=
д)
6 . а) y=
б) y=
в) y=
г) y=
д)
7. а) y=
+
б) y=arctg
5
xlog
2
(x-3
2
в) y=
г) y=(
д)
8. а) y=
-
б) y=log
3
(x+5) arccos3x
в) y=
г) y=(ln(x+3) )
sin
д)
9. а) y=
-
б) y=e
-x
(arcsin
2
5x)
в) y=
г) y=(log
2
(x+4) )
ctg7x
д)
10 . а) y=
-
б) y=log
4
(x-1) arcsin
4
в) y=
г) y=(sh3x)
arctg(x+2)
д)
11. а) y=
+
б) y=(x-4)
5
arcctg3x
2
в) y=
г) y=(sh(3x) )
д)
12 . а) y=
+
б) y=ctg
3
4xarcctg2x
3
в) y=
г) y=(arcsin5x)
tg
д)
13. а) y=
+
б) y=e
-cosx
arctg7x
5
в) y=
г) y=(arccos5x)
lnx
д)
14 . а) y=
-
б) y=(x+1) arccos3x
4
в) y=
г) y=(arctg2x)
sinx
д)
15. а) y=
-
б) y=2
sinx
arcctgx4
в) y=
г) y=(ln(x+7) )
ctg2x
д)
16 . а) y=
-
б) y=3
-x3
arcsin
2
3x
в) y=
г) y=(ctg(7x+4) )
д)
17. а) y=
-
б) y=3
cosx
arcsin
2
3x
в) y=
г) y=
д)
18. а) y=
-
б) y=ln(x-10) arccos
2
4x
в) y=
г) y=(cth
)
arcsin7x
д)
19. а) y=
+
б) y=lg(x-2) arcsin
5
x
в)
г) y=(cos(x+5) )
arcsin3x
г)
20. а) y=
б) y=log
3
(x+1) arctg
5
7x
в) y=
г) y=
arccos3x
д)
21. а) y=
-
б) y=ln9x+9) arcctg
3
2x
в) y=
г) y=(sin4x)
д)
22. а) y=
-
б) y=tg(x+2) arcsin
2
3x
в) y=
г) y=(tg3x
4
)
д)
23. а) y=
+
б) y=4
-sinx
arctg3x
в) y=
г) y=(ctg2x
3
)
д)
24. а) y=
-
б) y=2
cosx
arcctg
3
x
в) y=
г) y=(tg7x
5
)
д)
25. а) y=
-
б) y=tg(x-3) arcsin
2
5x
в) y=
г) y=(arccosx)
д)
3. Функцияның бiркелкi аралықтарын және экстремумын табыңыздар:

























1. Берілген функциялардың туындысын табу керек.
а) Туындыны табу керек.
Шешуі:
б)
функциясының туындысын табу керек.
Шешуi:
демек, 5-формула бойынша
;
үшiн
, демек, (6) формула бойынша
;
Cонымен
, өйткенi,
.
Күрделi функцияның туындысын тапқанда, оны келтiрiлген мысалдардағыдай құраушы функцияларға жiктеудiң қажетi жоқ. Жаттығулар арқылы бiрден дифференциалдауға үйренген жөн.
в)
функциясының туындысын табу керек.
Шешуi:
г) Мына функциялардың туындысын табыңыз:
1)
2)
Шешуі:
1)
Теңдіктің екі жағын да натурал логарифмдейміз.
. Теңдіктің екі жағын дифференциалдаймыз, мұндағы
функциясы õ айнымалысының күрделі функциясы:
.
Теңдіктің екі жағын да
-ке көбейтіп,
екенін ескерсек
болады.
4
.
функциясының бiркелкi аралықтарын және экстремумын табу керек.
Шешуi: 1) Функция
нүктелерде анықталған, демек
.
2) Функцияның туындысын есептейiк
. Функцияның сындық нүктелерiн анықтайық
;
бар болмайды
бiрақ
.
Сонымен,
функцияның сындық нүктелерi болады.
3) Табылған сындық нүктелер функцияның анықталу облысын төрт аралыққа бөледi. Ол аралықтардың әрқайсында байқау әдiсiмен
таңбасын анықтаймыз
- Іс жүргізу
- Автоматтандыру, Техника
- Алғашқы әскери дайындық
- Астрономия
- Ауыл шаруашылығы
- Банк ісі
- Бизнесті бағалау
- Биология
- Бухгалтерлік іс
- Валеология
- Ветеринария
- География
- Геология, Геофизика, Геодезия
- Дін
- Ет, сүт, шарап өнімдері
- Жалпы тарих
- Жер кадастрі, Жылжымайтын мүлік
- Журналистика
- Информатика
- Кеден ісі
- Маркетинг
- Математика, Геометрия
- Медицина
- Мемлекеттік басқару
- Менеджмент
- Мұнай, Газ
- Мұрағат ісі
- Мәдениеттану
- ОБЖ (Основы безопасности жизнедеятельности)
- Педагогика
- Полиграфия
- Психология
- Салық
- Саясаттану
- Сақтандыру
- Сертификаттау, стандарттау
- Социология, Демография
- Спорт
- Статистика
- Тілтану, Филология
- Тарихи тұлғалар
- Тау-кен ісі
- Транспорт
- Туризм
- Физика
- Философия
- Халықаралық қатынастар
- Химия
- Экология, Қоршаған ортаны қорғау
- Экономика
- Экономикалық география
- Электротехника
- Қазақстан тарихы
- Қаржы
- Құрылыс
- Құқық, Криминалистика
- Әдебиет
- Өнер, музыка
- Өнеркәсіп, Өндіріс
Қазақ тілінде жазылған рефераттар, курстық жұмыстар, дипломдық жұмыстар бойынша біздің қор #1 болып табылады.

Ақпарат
Қосымша
Email: info@stud.kz