Жаппай қызмет көрсету жүйелері


Жұмыс түрі: Курстық жұмыс
Тегін: Антиплагиат
Көлемі: 21 бет
Таңдаулыға:
Мазмұны
Кіріспе 2
1 Жаппай қызмет көрсету жүйелерінің қоғамда алатын орны мен маңыздылығы 3
1. 1 Жаппай қызмет көрсету жүйелерін жіктеу 4
1. 2 Жаппай қызмет көрсету жүйелерінің нұсқалары 6
1. 3 Жаппай қызмет көрсету жүйесіндегі жалпы жүйенің жұмыс істеуі және мінездемелері 8
1. 4 Жаппай қызмет көрсету жүйелеріндегі кездейсоқ үдерістер 9
2 Қазіргі заманда жаппай қызмет көрсету жүйесінің мәселелері 17
2. 1 Жаппай қызмет көрсету жүйесінің есебі және оның орындалуы 17
2. 2 Жаппай қызмет көрсету есебінін жүзеге асыру бағдарламасының қадамдары және нәтижесі 18
Қорытынды 21
Қолданылған әдебиеттер тізімі 22
Кіріспе
Кез келген жаппай қызмет көрсету жүйелері (ЖҚҚЖ) уақыттың қандай да бір кездейсоқ мезеттерінде келіп түсетін сұратулардың (немесе «талаптардың») қызмет көрсету үшін арналған. Сұратуға қызмет көрсету бір уақыт жалғасады, бұдан соң арна босатылады және келесі сұратудың қабылдауға дайын болады. Сұрату ағынның және қызмет көрсету уақыттарының кездейсоқ сипаты жаппай қызмет көрсету жүйелері (ЖҚҚЖ) кіру алдында уақыттың қандай да бір кезеңдерінде сұратулардың артық көп саны жинақталынатына (олар немесе кезекке тұрады, немесе ЖҚҚЖ қызмет көрсетілмей босатады) ; басқа кезеңдерде жаппай қызмет көрсету жүйелері (ЖҚҚЖ) толық жүктемесіз жұмыс істейді немесе мүлдем тоқтап тұрады.
Икемді өндірістік жүйе (ИӨЖ) - шағын және орта партияларымен шығарылатын әр түрдегі бөлшектерді жасау үшін арналған. Ол автоматты механикалық өңдеу үшін санды бағдарламаларды басқаруымен белдектер тобынан, дайындамаларды жүктеу және жүксіздеу жүйесінен, бір операциядан келесіге дейін дайындамаларды тасымалдаудың конвейерлік жүйесінен, автоматтандырылған кешеннің математикалық қамтамасыз етуін құрайтын жұмыстардың барлық көлеміне жетекшілік ету және басқару үшін бағдарламалық қамтамасыз ету жүйесінен тұрады.
Курстық жұмыстың мақсаты: жаппай қызмет көрсету жүйелерінің қызметін зерттеу.
Курстық жұмыстың өзектілігі: қазіргі таңда жаппай қызмет көрсету жүйесінің қызметімен әр адам күнделікті өмірде кездесіп тұрады. Сондықтан, осы жүйедегі көптеген туындаушы мәселелерді шешу жолдары маңызды әрі тиімді.
Курстық жұмыстың міндеттері:
- Курстық жұмыс тақырыбы бойынша әдебиеттер қарастыру және қажетті материалдар жинақтау;
- Жаппай қызмет көрсету жүйелерінің қызметін және жүйедегі мәселелерді зерттеу;
- Жаппай қызмет көрсету жүйесі есебін шығару және оны жүзеге асыратын бағдарлама құру.
Курстық жұмыс кіріспеден, екі бөлімнен, қорытынды және қолданылған әдебиеттер тізімінен тұрады.
1 Жаппай қызмет көрсету жүйелерінің қоғамда алатын орны мен маңыздылығы
1. 1 Жаппай қызмет көрсету жүйелерін жіктеу
Операцияларды зерделеу кезінде жаппай қызмет көрсету жүйелердің жұмысымен жаппай қызмет көрсету жүйелері (ЖҚКЖ) бірарналы және көпарналы бола алады.
Жаппай қызмет көрсету жүйелері (ЖҚКЖ) жұмыс үдерісі дискреттік қалыптармен және үздіксіз уақытпен кездейсоқ үдеріс болады; жаппай қызмет көрсету жүйелері (ЖҚКЖ) қалпы қандай да бір оқиғалар пайда болған мезеттерде кенет өзгереді (жаңа өтінімнің келуі; қызмет көрсетудің, «тосуынан шаршаған» өтінім кезектен кеткен мезеттің соңы) .
Жаппай қызмет көрсету теориясының пәні - жаппай қызмет көрсету жүйелері (ЖҚКЖ) жұмысының берілген жағдайларын (арналар саны, олардың өнімілігі, жұмыс ережелері, өтінім ағыстарының сипаты) оларды қызықтыратын сипаттамалары - қандай да бір көзқарастан жаппай қызмет көрсету жүйелерінің (ЖҚКЖ) өтінім ағынмен басқару қабілеттілігін сипаттайтын тиімділігінің көрсеткіштерімен байланыстыратын математикалық модельдерді құру.
Осындай көрсеткіштер ретінде (зерттеу жағдайына және мақсаттарына байланысты) әртүрлі өлшемдер қолданылу мүмкін, мысалы: жаппай қызмет көрсету жүйелерімен (ЖҚКЖ) уақыт бірлігінде қызмет көрсетілетін өтінімнің орташа саны; қамтылған арналардың орташа саны; кезектегі өтінімнің орташа саны және қызмет көрсетуді күтудің орташа уақыты; кезектегі өтінімдердің саны қандай да бір мәнді, тоқтап тұрудан артатын мүмкіндігі және т. б.
Жаппай қызмет көрсету жүйелері (ЖҚКЖ) жұмысының математикалық талдауы, егерде осы жұмыстың үдерісі-марктік болса, тым жеңілдетіледі. Жүйені қалыптан қалыпқа (өтінімдердің ағындары, «қызмет көрсету ағындары») ауыстыратын оқиғалардың барлық ағындары ең қарапайым болғаны жектілікті.
Егерде осы қасиет бұзылса, сонда үдерістің математикалық сипатталуы тым күрделі болады және оны анық, аналитикалық формулаларына дейін жеткізуге тек сирек жағдайларда болады. Бірақ, ең қарапайым, бұқаралық қызмет көрсетудін марктік теориясының аппараты оқиғалар ағындары ең қарапайым болмаған жағдайларда да жаппай қызмет көрсету жүйелері (ЖҚКЖ) жұмысының жақындатылған сипатталуы үшін жарамды болу мүмкін.
Көптеген жағдайларда жаппай қызмет көрсету жүйелері (ЖҚКЖ) жұмысын ұйымдастыру бойынша саналы шешімді қабылдау үшін жиі жақындатылған, бағдарланған оның барлық сипаттамаларын түгелдей білу қажет емес.
Жаппай қызмет көрсету жүйелері белгілері бойынша типтерге (немесе сыныптарға) бөлінеді. Бірінші бөліну: жаппай қызмет көрсету жүйелері (ЖҚКЖ) қабылдамаумен және кезекпен.
Жаппай қызмет көрсету жүйелерінде (ЖҚКЖ) барлық арналар жұмыс істеп тұрған мезетте қабылдамаумен келіп түскен өтінім қабылданбайды алып, жаппай қызмет көрсету жүйелерінен (ЖҚКЖ) кетеді және қызмет көрсетудің әрі қарай үдерісіне қатыспайды. Қабылдамаумен жаппай қызмет көрсету жүйелері мысалдары телефонияда кездеседі: байланыстың барлық арналары бос болмай тұрған мезетте келіп түскен сөйлесуге өтінім қабылданбайды және жаппай қызмет көрсету жүйелерінен қызмет етілмей алынады. Барлық арналар бос болмаған мезетте келіп түскен кезекпен жаппай қызмет көрсету жүйелерінде өтінім алынбай, кезекке тұрғызылады және қызмет көрсету мүмкіндігін күтеді. Тәжирибеде кезекпен жаппай қызмет көрсету жүйелері жиі кездеседі (үлкен мәнге ие) ; бұқаралық қызмет көрсету теориясының «кезектер теориясы» деген екінші аты бар. Кезекпен жаппай қызмет көрсету жүйелері кезек қалай ұйымдастырылғанға байланысты әр түрге бөлінеді - ол шектелген немесе шектелмеген.
Шектеулер кезек ұзындығымен қатар, күту уақытына да қатысту болу мүмкін («шыдамсыз сұраныстармен жаппай қызмет көрсету жүйелері» деп аталатындар) . Жаппай қызмет көрсету жүйелерін талдау кезінде сондай-ақ «қызмет көрсету пәні» де есепке алынуға тиіс - өтінімдер не келіп түсу тәртібінде (ерте келіп түсті, оған ерте қызмет көрсетілді), не кездейсоқ ретте қызмет көрсетіледі.
Артықшылықпен қызмет ету деген жиі кездеседі - кейбір сұраныстарға кезектен тыс қызмет көрсетіледі. Артықшылық абсолюттікпен қатар, салыстырмалы болу мүмкін.
Неғұрлым жоғары артықшылықпен өтінім қызмет көрсетуден төмен артықшылықпен өтінімді «итермелесе» абсолюттік, ал басталған қызмет көрсету соңына дейін жеткізіліп, ал неғұрлым жоғары артықшылықпен өтінім тек кезектегі ең жақсы орынға құқығы болса, салыстырмалы деп аталады.
Бірнеше дейекті кезеңдерден немесе «фазалардан» тұратын көпфазалы қызмет көрсетумен жаппай қызмет көрсету жүйелері бар (мысалы, дүкенге келген сатып алушы бірінші тауарды таңдау, кейіннен ол үшін кассаға ақшасын төлеп, бұдаң соң ғана тауарды бақылаудан алады) .
Осы белгілерден басқа, жаппай қызмет көрсету жүйелері екі сыныпқа бөлінеді: «ашық» және «тұйық».
Ашық жаппай қызмет көрсету жүйелерінде өтінімдердің ағын сипаттамалары жаппай қызмет көрсету жүйелері қандай қалыпта (қанда арна қамтылғанға) болғанға байланысты емес.
Тұйық жаппай қызмет көрсету жүйелерінде - тәуелді болады. Мысалы, егерде бір жұмысшы уақыт-уақыт баптауын қажет ететін білдектер тобына қызмет көрсетсе, сонда білдектер жағынан «талаптар» ағынның қарқындылығы қанша білдек бұзылғанына және баптады тосып тұрғанына байланысты болады. Бұл - тұйық жаппай қызмет көрсету жүйелерінің мысалы.
Жаппай қызмет көрсету жүйесінде (яғни қызмет көрсетіліп жатқан немесе кезекте тұрған) Lсист. сұратулардың орташа санын (шекті, стационарлық режім үшін) және Wсист . өтінім болуының орташа уақытын байланыстыратын бұрында айтылған Литтл формуласының қорытындысын қарастырамыз.
Кез келген жаппай қызмет көрсету жүйелері (бірарналары, көпарналы, марктік, марктік емес, шектелмеген немесе шектелген кезекпен) және онымен байланысқан оқиғалардың екі ағынын қарастырамыз: жаппай қызмет көрсету жүйелері келіп түсетін өтінімдер ағыны және жаппай қызмет көрсету жүйелері кететін өтінімдер ағыны.
Егерде жүйеде шекті, стационарлық режім орнатылса, жаппай қызмет көрсету жүйелеріне уақыттың бірлігінде келіп түскен өтінімдердің орташа саны одан шығатын өтінімдердің орташа санына тең болады, өйткені екі ағында λ қандай да бір қарқындылыққа ие.
Келесідей белгілейміз: X(t) - t мезетіне дейін жаппай қызмет көрсету жүйелері келіп түскен өтінімдер саны, Y(t) - t мезетіне дейін жаппай қызмет көрсету жүйелерінен шыққан өтінімдер саны.
Осы екі функция кездейсоқ болуда және өтінімдердің келіп түскен ( X(t) ) және өтінімдердің шығу ( Y(t) ) мезеттерінде кенет өзгерумен (бірлікке ұлғайады) ауысады. Кез келген t мезет үшін олардың айырымы Z(t) = X(t) - Y(t) - ЖҚКЖ болған өтінімдер саны.
T уақытының тым үлкен аралығын қарастырамыз және ол үшін ЖҚКЖ болған өтінімдердің орташа санын есептейміз. Ол T интеграл ұзындығына бөлінген осы арада Z(t) функциясынан интегралға тең болады:
(7)
Осы интеграл X(t) және Y(t) арасында жасалған фигураның аумағы болуда. Фигура тікбұрыштардан тұрады. Олардың әрқайсысында бірлікке тең биіктігі және тиісті өтінімнің (бірінші, екінші және т. б. ) жүйесінде болу уақытына тең негіздемесі бар.
Осы уақыттарды t 1 , t 2 , . . . ретінде белгйлейміз. Әрине, Т аралығының соңында кейбір түікбұрыштар осы фигураға жартылай, толық еместей енеді, бірақ жеткіліктідей үлкен Т болғанда, осы жайтты ескермеуге болады.
Сонымен,
, (8)
деп санауға болады, онда сома Т уақытында келіп түскен барлық өтінімдерге таралады.
Оң жақты және сол жақты (8) Т аралығының ұзындығына бөлеміз . (7) ескерумен келесіні аламыз:
(9)
Оң жақты (9) λ қарқындылығына бөлеміз және көбейтеміз:
(10)
Tλ шамасы- Т уақытында келіп түскен өтінімдердің орташа саны. Егерде біз t i барлық уақыттардың сомасын өтінімдердің орташа санына бөлсек, сонда Wсист жүйесіндегі өтінімдердің болудың орташа уақытын аламыз. Сонымен,
(11)
Бұл Литтл формуласы: кез келген жаппай қызмет көрсету жүйелері үшін өтінім ағындарының кез келген сипатында, қызмет көрсету уақытының кез келген бөлуінде, қызмет көрсетудің кез келген тәртібінде жүйедегі өтінім болуының орташа уақыты өтінім ағынның қарқындылығына бөлінген жүйедегі өтінімдердің орташа санына тең.
Тура осы тәсілмен Wоч. кезектегі өтінім болуының орташа уақытын және Lоч. кезектегі өтінімдердің орташа санын байланыстыратын Литтлдің екінші формуласы шығарылады .
L оч. = λ W оч.
1. 2 Жаппай қызмет көрсету жүйелерінің нұсқалары
- Тоқтап қалумен n-арналық жаппай қызмет көрсету жүйелері
A - абсолюттік өткізу қабілеттілігі (уақыт бірлігінде қызмет көрсетілетін өтінімдердің орташа саны) ;
Q - салыстырмалы өткізу қабілеттілігі (жүйемен қызмет көрсетілетін келіп түскен өтінімдердің орташа үлесі) ;
Pотк. - өтінім жаппай қызмет көрсету жүйелерінен қызмет алмай шығатын мүмкіндігі;
Equation. 2 - қамтылған арналардың орташа саны;
;
;
;
;
;
;
- Шектелмеген кезекпен бірарналы жаппай қызмет көрсету жүйелері
Pзан - арна бос болмау мүмкіндігі; Lоб - қызмет көрсетіліп жатқан өтінімдердің орташа саны.
;
;
;
;
;
;
;
Lоч
;
Wоч
3. Шектелмеген кезекпен, өтінімдердің қарапайым ағынымен және қызмет көрсету уақытын кездейсоқ бөлумен бірарналы жаппай қызмет көрсету жүйелері.
Бірарналы жаппай қызмет көрсету жүйелеріне
λ
қарқындылығымен өтінімдердің қарапайым ағыны келіп түседі. Қызмет көрсету уақытында
математикалық күтумен және
νμ
түрлену коэффициентпен кездейсоқ бөлуі бар.
νμ
- қызмет көрсету уақытының орташа шаршылы ауытқудың оның математикалық күтілуіне деген қатынасы.
Полячек - Хинчиннің формулалары:
L
оч
; L
сист
Әрі қарай, Литтл формуласына сәйкес:
W
оч
; W
сист
4. Өтінімдердің кездейсоқ ағынымен және қызмет көрсету уақытын кездейсоқ бөлумен бірарналы жаппай қызмет көрсету жүйелері.
Шектелмеген кезекпен бірарналы жаппай қызмет көрсету жүйелері қарастырылады. Оған
λ
қарқындылығымен және
νλ
, 0 <
νλ
< 1 түрлену коэффициентімен өтінімдердің кездейсоқ ағыны келіп түседі. Қызмет көрсету уақыты сондай-ақ
орташа мәнімен және
νμ
, 0 <
ν
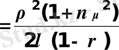
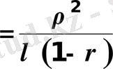
μ < 1 түрлену коэффициентімен кездейсоқ бөлуіне ие. Бұл жағдай үшін нақты аналитикалық формулаларды алу мүмкін емес; тек мөлшерлі түрінде кезектің орташа ұзындығын бағалауға, оны үстінен және астынан шектеуге болады.
L
оч
Егерде келіп түсетін ағын - қарапайым болса, сонда үстіңгі және астыңғы сияқты екі бағалауда сәйкес келеді және Полячек - Хинчин формуласы алынады. Кезектің орташа ұзындығының дөрекі жақындатылған бағалауы үшін М. А. Файнберг келесі формуланы шығарды:
L
оч
L
сист
= L
оч
+
ρ
Кезектегі және жүйедегі өтінім болуының орташа уақыттары Литтл формуласы бойынша Lкез. және Lжүйе арқылы есептелінеді.
1. 3 Жаппай қызмет көрсету жүйесіндегі жалпы жүйенің жұмыс істеуі және мінездемелері
Ықтималдық теориясының бөлімі ретінде жалпылай қызмет көрсету жүйелері жуықта пайда болған. Алғашқы жұмыстар осы жүз жылдықтың басында тәжірибелік қажеттіліктерге байланысты қолданылды.
Жалпылай қызмет көрсету жүйелерін (ЖҚКЖ) оқып үйрететін ғылым жалпылай қызмет көрсету теориясы (ЖҚКТ) деп аталады. ЖҚКЖ-де болатын екі кез-келген сұраныс ағыны мен қызмет көрсету ағындардың кездескендегі кететін уақыт жүйенің негізі болып табылады. Жалпылай қызмет көрсету жүйелері ең алғаш рет телефон желілерінің бөлімшелерінде зертеле бастады. Қазіргі кезде ЖҚКЖ-рін оқып үйрену өте үлкен ауқымда және экономикадағы ең негізгі сұрақтардың бірі болып табылады. Мысалға жүйеге жататындар: телефон станциясы, жөндеу шеберханасы, билет сататын касса, дүкен, шаштараз және т. б.
Әрбір мұндай жүйе көптеген кісіге қызмет көрсететін бірліктен тұрады, бұл қызмет арналық (канал) қызмет көрсету деп аталады. Арна болып саналатындар: жұмыс істеу нүктесі, кассирлер, лифт, байланыс, машиналар және т. б, жалпылай қызмет көрсету жүйелері бір арналы және көп арналы болуы мүмкін.
Кез-келген ЖҚКЖ-рі кез-келген уақытта келіп түскен сұраныс ағынына (талабына) қызмет көрсету үшін белгіленген.
Жалпы айтқанда, сұранысқа қызмет көрсету кез-келген уақытта болады, арна қызмет көрсетіп болған соң, келесі сұранысқа қызмет көрсетуге дайын болады. Сұраныс ағынына қызмет көрсету барысында кез- келген қандай да бір уақыт аралығында жалпылай қызмет көрсетуде сұраныстың көбеюіне әкеледі, (олар кезекте тұрады немесе ЖҚКЖ- де сұранысқа қызмет көрсетілмей кетеді) бұл басқа ЖҚКЖ- нің тоқтаусыз жұмыс істеуіне әкеледі.
ЖҚКЖ-мен жұмыс істеу үрдісі дискреттік жағдаймен үзіліссіз уақытта өзіне байланысты анықталады. Соған байланысты ЖҚКЖ-нің жағдайы қандайда бір уақытта болған оқиғаға байланысты өзгеруі мүмкін (жаңадан сұраныс санының өсуінен кезек тосудан жалыққандықтан кезектен шығып кетеді) .
ЖҚКЖ-нің пәнінде математикалық үлгінің орыналасуы берілген жұмыстағы жалпылай қызмет көрсету жүйелерінің байланыс шарттары, әр түрлі белгілермен өте қызықты, арна саны, олардың жұмыс істеуі, жұмыс ережесі, сұраныс оқиғасы.
ЖҚКЖ-нің эффектілік көрсетілімі көзқарас бойынша өзіндік мүмкіндіктермен сұраныс алғанын қалпына келтіру. Осы көрсетілген белгілер әр түрлі шамалардың өзгерісіне әкеледі. Орташа сұраныс саны және қызмет көрсету үшін күтудің орташа уақыты, ықтималдық бойынша кезектегі сұраныс саны жалпылай қызмет көрсету жүйелеріне берілген шарттарымен жұмыс істеу кезінде элемент шешімдері бөлінбейді: мысалға, арна саны олардың өнімділігі жұмыс режимі және т. б.
Жалпы қызмет көрсету жүйелері тип белгілері бойынша бөлінеді. Бірінші бөлік ЖҚКЖ-нің жұмыс істеуі және ЖҚКЖ-де кезекпен жұмыс істеу. ЖҚКЖ-рі сұраныс ағынына қызмет көрсетпеуі сол мезетте әрбір орынның бос болмауынан байланысты қатыспайды. Мысалы, ЖҚКЖ-де қызмет көрсетілмеуі телефон байланысында кездеседі. Сөйлеу үшін сұраныс беріледі, сол мезетте орнынның бос болмауына байланысты байланыс желісі де бос болмайды, ЖҚКЖ-де қызмет көрсетілмей кетеді. ЖҚКЖ-дегі сұранысқа кезекте тұру, әр арна бос болған мезетте кезекке тұрып, қызмет көрсету мүмкіндігін тосады.
Практикада ЖҚКЖ-де кезекке тұру көп көрінеді. Бұл қызмет теориясы «кезек теориясы» деп екінші атпен де аталады. ЖҚКЖ-де кезекте тұру әр түрлі түрге бөлінеді, кезектің қалай ұйымдастырылғанына байланысты шектелген және шектелмеген болып. Шектелген кезектің көптігіне және қызмет көрсетудің күту уақытна байланысты. ЖҚКЖ-рін талдауда қызмет тәртібін есептеу керек, өйткені сұранысқа қызмет кезекпен көрсетіледі немесе кездейсоқ жағдайда қызмет көрсетіледі. Көп жағдайда артықшылық деп аталатын қызмет түрі кездеседі, бұл кейбір сұранысқа кезексіз қызмет көрсетілімі.
1. 4 Жаппай қызмет көрсету жүйелеріндегі кездейсоқ үдерістер
«Кездейсоқ» деген ұғым математика ғылыммен қатар, күнделікті өмірде де ең іргелілердің бірі болуда. Кездейсоқ үдерістерді модельдеу - заманауи математикалық модельдеуде ең қуатты бағыт.
Оқиғаларды үш түрге бөлуге болады: ең анық, мүмкін емес және кездейсоқ оқиғалар. Ең анық оқиға деп оқиға орындалуы міндетті түрде болуы керек, егер белгілі шарттар жиынтығы S орындалса.
Мысалы, ыдыс ішіндегі су қалыпты атмосферадағы қысымда және 20°С температурада сұйық күйде тұра алады. Бұл ең анық оқиға. Бұл мысалдағы атмосфералық қысым және судың 20°С-ғы температурасы белгілі шарттың құрамын S-ті көрсетеді.
Кездейсоқ оқиға деп оқиға болуы да, болмауы да мүмкін.
Мысалы, егер бір күміс ақшаны лақтырып жіберсек, онда елтаңба немесе сыртында жазуы бар беті түсуі мүмкін.
Мүмкін емес оқиға деп оқиға орындалуы мүмкін емес, егер белгілі шарттар жиынтығы S орындалса.
Мысалы, ыдыстағы су қатты түрде сақталады.
Егер біз біртектес кездейсоқ оқиғаны қарастырсақ, онда берілген шарттың жиынтығы S орындалса, онда бірталай біртектес оқиғалар олардың шыққан тектеріне байланысты емес, белгілі заңдылыққа бағынады.
Оқиға анық болжап болмайтын болғанда, кездейсоқ деп аталады. Кездейсоқтық біздің әлемізде жиі кездеседі және көп жағдайда өмірімізде кері рөл атқарады. Бірақ, кездейсоқтық пайдалы болатын жағдайлар да кездеседі.
Ізделіп жатқан шаманың нәтижесі көптеген факторларға, модельдер мен өлшемдерге байланысты болатын күрделі есептеулерде маңызды цифрлардың кездейсоқ мәндерінің есебінен есептеулердің көлемін қысқартуға болады. Эволюция теориясынан кездейсоқтық өзін конструктивтік, оң фактор ретінде көрсететінін байқауға болады. Жекелеп айтқанда, табиғи іріктеу даму үдерісінде ағзаның ең тиімді қасиеттерімен дарақтарды іріктеп отырып, сынамалар мен қателердің әдісін жүзеге асыратындай болады. Әрі қарай кездейсоқтық қауымдалыстың сыртқы ортаның өзгеруіне реакциясының икемділігін қамтамасыз етіп оның нәтижелілігінің көпшілігінде білінеді.
Баяндалғанның дәлелдігінде кездейсоқтықтықты сынау мен қателіктер арқылы, кездейсоқ ізденіс жолымен есеп шығару әдістерінің негізіне алу маңыздылығы бар.
Ұқсастық модельдеу мысалы - «Өмір» ойынын келтіргенде, іс мәні бойынша біз стохастикалық моделіне ие болдық. Осы параграфта осындай модельдеудің әдістемесін аса нақты талқылаймыз.
Сонымен, модельдің функционалында кейбір кірісін параметрлердің мәндері тек мүмкіндік мағынасында анықталған. Бұл жағдайда модельмен жұмыс атқарудың стилі біршама өзгереді.
Мәселені байыпты қарағанда, қолданылуда «ықтималдылықты бөлу», «ақиқаттық», «статистикалық таңдама», «кездейсоқ үдеріс» және т. б. деген сөздер пайда болады.
Кездейсоқ үдерістердің компьютерлік математикалық модельдеуінде берілген бөлу заңды қанағаттандыратын, кездейсоқ сандар деп аталатын, жиынтықтарынсыз іс бітпейді. Іс жүзінде осы сандарды компьютер белгілі алгоритм бойынша тудырады, яғни олар дәл кездейсоқ болмайды. Өйткені тура сондай параметрлермен бағдарламаны қайта қосқан кезде дәйектілігі қайталанылады; осындай сандарды «жалған кездейсоқ» деп атайды.
Біріншіден, қандай да бір кесіндіде тең ықтимал бөлінген сандардың генерациясын қарастырамыз. Көптеген бағдарламалар - кездейсоқ сандарының генераторлары - алғашқы сан кейінгі санды табу үшін пайдаланылатын дәйектілікті береді. Олардың алғашқысы - бастапқы мән. Кездейсоқ сандарының барлық генераторлары кезең деп аталатын мүшелердің қайндай да бір көлемінен қайталанылатын дәйектілікті береді, бұл мәшинелік сөздің соңғы ұзындығымен байланысты. Ең қарапайым және ең көп таралған әдіс - шегерімдердің әдісі немесе x n кезекті кездейсоқ сан «кескінделуімен» анықталатын бағыттық конгруэнттік әдіс
- Іс жүргізу
- Автоматтандыру, Техника
- Алғашқы әскери дайындық
- Астрономия
- Ауыл шаруашылығы
- Банк ісі
- Бизнесті бағалау
- Биология
- Бухгалтерлік іс
- Валеология
- Ветеринария
- География
- Геология, Геофизика, Геодезия
- Дін
- Ет, сүт, шарап өнімдері
- Жалпы тарих
- Жер кадастрі, Жылжымайтын мүлік
- Журналистика
- Информатика
- Кеден ісі
- Маркетинг
- Математика, Геометрия
- Медицина
- Мемлекеттік басқару
- Менеджмент
- Мұнай, Газ
- Мұрағат ісі
- Мәдениеттану
- ОБЖ (Основы безопасности жизнедеятельности)
- Педагогика
- Полиграфия
- Психология
- Салық
- Саясаттану
- Сақтандыру
- Сертификаттау, стандарттау
- Социология, Демография
- Спорт
- Статистика
- Тілтану, Филология
- Тарихи тұлғалар
- Тау-кен ісі
- Транспорт
- Туризм
- Физика
- Философия
- Халықаралық қатынастар
- Химия
- Экология, Қоршаған ортаны қорғау
- Экономика
- Экономикалық география
- Электротехника
- Қазақстан тарихы
- Қаржы
- Құрылыс
- Құқық, Криминалистика
- Әдебиет
- Өнер, музыка
- Өнеркәсіп, Өндіріс
Қазақ тілінде жазылған рефераттар, курстық жұмыстар, дипломдық жұмыстар бойынша біздің қор #1 болып табылады.

Ақпарат
Қосымша
Email: info@stud.kz