Фазалық роторлы асинхронды қозғалтқыштар 16 вариант


Кіріспе
Айналу магнит өрісі өзі айналғанда роторды өзімен бірге айналдырады. Бірақта, айналу магнит өрісінің жылдамдығы ротордың жылдамдығына тең емес. Сондықтан, мынадай электр қозғалтқыштары - асинхронды электр қозғалтқыштары деп аталады.
Асинхронды машина- бұл айнымалы токтың коллекторсыз машинасы. Оның қалыптасқан режимінде магнит өрісі энергияны түрлендіру процесіне араласады және оның роторы әр түрлі жылдамдықпен айналады.
Барлық ішінде ең көп тарағаны аиснхронды қозғалтқыштар болп табылады. Техникалық және өте жоғары болғандықтан, электрқозғалтқыштың мұндай түрі, өндірісте және тұрмыста ең көп қолданыс тауып отыр. Асинхронды электр қозғалтқыштар конструкциясы жағынан қарапайым, бағасы қымбат емес және өзіне қызмет етуге жоғары білімді маманды қажет етпейді. Өнеркәсіпте шығаратын асинхронды қозғалтқыштардың жұмыс кернеуі 127 В-тан 10 кВ-ке дейін, ал қуаты ваттың үлесінен бірнеше мың киловатқа дейін жетеді.
Айнымал тоқтың электр энергиясын механикалық энергияға түрлендіретін асинхронды қозғалтқыштардан басқа да жиілікті түрлендіретін, кернеуді реттейтін және фаза реттегіш асинхронды машиналары бар.
Асинхронды машиналар генератор режимінде де жұмыс істей алады. Алайда, асинхронды генераторларды электр энергиясының көзі ретінде қолданбайды, себебі олардың магнит өрісінқоздыратын өздерінің көздері жоқ болғандықтан, олар көрсеткіштері өте жоғары (синхронды) генераторлармен параллель жұмыс істей алады.
Қуаты аз асинхронды маиналарды генератор есебінде біліктің айналу жиілігін өлшеу үшін (тахогенератор) пайдаланылады.
Берілгені:
Номиналды қуат:
Орындалуы : жабық (IP 44) ;
Желінің сызықты керенеуі:
Статордың орамасының қосылу түрі: Δ;
Синхронды айналу жиілігі,
Ротор орамасы: фазалық;
Фазалық кернеу:
Желінің жиілігі:
- Электромагниттік жүктемелерді және негізгі параметрлерді таңдау.
Асинхронды қозғалтқышты есептеуді негізгі параметрлерді анықтаудан бастайды: статордың ішкі диаметрі D және магнитөткізгіштің ұзындығы l δ .
Статордың ішкі диаметрі өлшемдік өзарақатынастық өлшемдермен тығыз байланысты, ол полюс сандарына 2р, статордың сыртқы диаметріне D а , сонымен қатар айналу осінің биіктігіне h тәуелді болады .
Осыған байланысты негізгі өлшемдерді келесідей тізбектілікте жасайды:
1. 1 Полюс сандары
1. 2 Айналу осінің биіктігін P 2н және 2p мәндері арқылы және қозғалтқыштың орындалуына байланысты анықтайды h=132 мм.
1. 3 Ары қарай статордың штапқа кететін минималды қалдықтарды ескере отырып, темір өзекшесінің сыртқы диаметрін таңдай отырып анықтаймыз. h=160 мм, сонда D а =0, 272-0, 285м, есептеу үшін D а =0, 272м.
1. 4 Асинхронды қозғалтқыштарды жобалау кезінде, темірөзекшенің ішкі диаметрін D сыртық диаметр қатынасы арқылы анықтаймыз
бұл жерден
K
D
коэффициентін
аламыз.
1. 5 Ары қарай полюстік бөлінуді табамыз τ, м :
1. 6 Асинхронды қозғалтқыштың есептелген қуатын P / , (кВА) берілген номиналды қуат арқылы анықтаймыз:
1. 7 В δ және А ұсынылған мәндері суреттерінде көрсетілген. Әрбір суретте осы мәндердің жіберілетін немесе рұқсат етілген облыстары берілген.
η = 84%;
cosφ 1 = 0, 74;
К Е = 0, 92;
В δ = 0, 88 Тл;
А 1 = 28 А/м.
.
1. 8 Полюстік қайта жабдықтау α δ және өрістің формасының k В коэффициенттерін төмендегідей аламыз:
.
1. 9 Екіқабатты орамалар үшін үлкен полюсті болған кезде
К
ор1
=0, 95…0, 96
. Орташа мәнін аламыз
.
1. 10. Қозғалтқыштың бұрыштық синхронды жиілігі Ω, рад/сек :
бұл жердегі n 1 - синхронды айналу жиілігі, айн⁄мин;
f 1 - желінің жилігі, Гц .
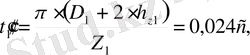
1. 11. Магнитөткізгіштің есептелген ұзындығы
,
м
:
1. 12 Негізгі параметрлерді D және l δ таңдау критериі ретінде, алынады. Егер λ өте үлкен болса айналу осінің h стандартты үлкен биіктік ретіне дейін, есептеуді қайталау керек, ал егер λ тым кішкентай мәнде болса, айналу осінің h стандартты кішкентай биіктік ретіне дейін есептеу керек. Осымен негізгі параметрлерді таңдау аяқталады.
1. 13 Магниттік тізбектен басқа l δ статордың болат темірөзекшесінің ұзындығын және толық конструктивтік ұзындықтарын (l 1 және l бол1 ) , ротордың (l 2 и l ст2 ) есептеу керек . Егер асинхронды ұзындықтары 250 … 300 мм аспаса, онда оларда ауа алмасу радиалды каналдар жасалмайды. Ондай констркуция үшін:
Ұзын машиналарда темірөзекшелерді бөлек пакеттер ретінде жасады, оларды өзара ауа алмасу каналдарымен бөледі.
1. 14. пакеттер арасындағы радиалды ауа каналының араларындағы стандартты ені b k =0, 01м. Пакеттер саны n пак және олардың ұзындықтары l пак төмендегідей қатынаспен байланысты
.
Осы кездегі радиалды каналдардың сандары, 1. 5 кестесінен анықталады:
1. 15. қозғалтқыштың статорының темірөзекшесінің ұзындығы
м
1. 16 статордың темірөзекшесінің конструктивті ұзындығы
- Статордың паза сандарын анықтаужәне статордың орамаларын санау.
Фаза орамаларының орама сандары, негізгі өлшемдерді анықтау кезінде анықталған, ауа саңылауындағы сызықтық жүктеме
және индукциялардың
жуықталып таңдалған мәндері, олардың есептелген мәндеріне жуықтай сәйкес келулері керек, ал статордың паза сандары орамаларлдың катушкалары біркелкі орналасуларын қамтамасыз ету керек.
2. 1 Статордың орамаларының типтері 2 кестедерн таңдалады. Айнымалы тоқ машиналарының статорының пазалары 3. 1 және 3. 2 суреттерінде келтірілген.
2. 2 Статордың паза сандары :

бұл жердегі m 1 - статордың орамаларының фаза сандары ( m 1 =3 ) ;
q 1 - фазаға және полюстерге кететін паза сандары
2. 3 Статордың тістік бөлінуі
, мм:

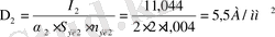
2. 4 Статордың орамасының номиналды фазалық тоғы
, А:

бұл жердегі m 1 - статордың фаза сандары, U 1ф - фазалық кернеу.
2. 5 Пазаға кететін эффектілі өткізгіштер саны:
бұл жердегі а - параллель тармақ саны .
2. 6 Статордың орамасындағы фазалардың орам сандары:

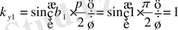
2. 7 Екіқабатты орама әдетте паза бойынша қысқартылып, тоқыма түрде орындалады:

2. 8 Статор орамаларының ең маңызды параметрі, ол орамалық коэффицицент:

бұл жердегі ораманы қысқарту коэффициенті
;
2. 9 Магнит ағыны Ф, Вб:
2. 10 Ауа саңылауындағы магнит индукциясының нақтыланған мәні
, Тл:
2. 11 Сызықтық жүктеменің нақтыланған мәні А, А/м:
Нақтыланған мәндер жуықталып алынған мәндерден, тек 10 % айырмашылықта болу керек.
2. 12 Статордың орамасындағы ток тығыздығының мәні (жуықталған) сәйкесінше 2 кестеден алынады. J 1 = 5, 5 А/мм 2 .
2. 13 Фазаның эффектілі өткізгіштерінің қималары (жуықталған)
,
мм:
2
2. 14 Пазаларға тізбектік орамаларды технологиялық түрде салу үшін,
олардың орамалық өткізгіштерінің диаметрлері 1, 4-1, 8мм аспау керек
(өткізгіштің максималды қимасына сәйкес
мм
2
) .
Егер
, онда эффектілік өткізгішті бірнеше элементар өткізгіштерден орындайды
- n
эл1
.
Эффектілі түрдегі элементар өткізгіштердің саны
Элементар өткізгіштің қимасы (жуықтағанда) :
1 Қосымша кестесінен қимасы жуық түрде келетін стандартты өткізгіш алынады. Осымен, элементар өткізгіштің қимасы және оның диаметрі толықтай таңдалып бітеді.
Оқшауланған өткізгіштің диаметрінің орташа мәні-
Оқшауланбаған өткізгіштің көлденең қималық ауданы-
1, 785
Оқшауланбаған өткізгіштің номиналды диаметрі-
2. 15 Статордың орамасындағы ток тығыздығы (нақтыланған мәні) :
- Статордың пазаларының өлшемдерін есептеу.
3. 1 Бірінші тістердегі ұсынылған индукция В z1 , мм мәндері бойынша, тістің ені анықталады b z1, мм:
мұнда
= 0, 97. H=132-250 мм
= 1, 84 Тл.
3. 2 Статордың жармасының биіктігі
, м:
мұнда
= 1, 6 Тл.
3. 3 Тістің биіктігі
, м:
3. 4 Паза биіктігі
=
.
3. 5 Шлицтың ені b ш1 орамдардың пазаларына, бір-бір өткізгіштен келетіндей болу керек. Осыдан шлиц ені шығады
бұл жердегі
d
окш1
- оқшауланған өткізгіштің диаметрі
(мм)
.
3. 6 Клиннің биіктігі орта қуатты машиналарда, ал үлкен машиналарда
.
3. 7 Штамптағы пазаның ең кішкентай ені
, м:
,
.
3. 8 Штамптағы пазаның ең үлкен ені
, м:
,
.
мұнда
= 0, 25 мм.
Шлицтің биіктігі
. Бұрышы
β=45
0
-ке тең болғанда айналуосінің биіктігі
h ≤250 мм.
3. 9 Жарықтағы пазалардың көлденең қималық ауданы, темірөзекшелердің беттерін шихталау және жинау арқылы анықталады
,
мм
2
:
мұнда:Δh П = 0, 0001 м.
Δb П = 0, 0001 м.
3. 10 Статор орамасының оқшаулау классын таңдамыз: егер биіктігі
h=50
132мм
қозғалтқыштарға
F
оқшаулау классы ұсынылады.
3. 11 Пазаларда орын алатын орамалардың көлденең қималық ауданы
,
мм
:
=0, 4 мм - оқшауламаның қалыңдығы
3. 12 Пазаны толтыру коэффициенті:
.
3. 13 Алынған толтыру коэффициентінің мәні ұсынылған шектерден
аспау керек
.
Егер бұл коэффициент K тол1 ұсынылған шектерден асып кетсе, онда бірнеше амалдар арқылы оны түзетуге болады.
3. 14 Пазаның өлшемдерін толықтай анықтағаннан кейін тістердегі индукцияларды қайтадан санап шығу қажет:
3. 15 статор ярмасындағы индукция, (Тл)
,
.
4. Фазалық ротордың орамаларын, паза сандарын және темір өзекшенің
өлшемдерін есептеу.
бұл жерде ауалық саңылау:
4. 2 Ротордың темірөзекшесінің ішкі диаметрі (біліктің диаметрі) , м
4. 3 Темірөзекшенің конструктивтік ұзындығы және ұзындығы, м
,
.
4. 4. Статордың орамасының фаза сандары:
4. 5 Ротор фазасының және полюстердің пазалары:
4. 6 Ротордың паза сандары:
4. 7 Биіктігі
мм
қозғалтқыштарда жұмсақ секциялы тоқымалықекіқабатты орама қолданылады, оларды шеңберлік өткізгіштерден жасап, жартылай жабық трапециялық пазаларға салады (4. 1а суретті қара) . Егер
мм
қатаң , ол тік бұрышты жартылай жабық пазаларға төселеді
(4. 1б суретті қара) .
4. 8 Ораманың орам сандары (жуықталған) .
,
мұнда
,
,
.
Пазаларға кететін эффектілі өткізгіштер саны:
Параллель тармақ саны а 2 =2 .
Орамалардың нақтыланған орам сандары:
ЭҚК-нің нақтыланған мәні Е 2
4. 9 Ротор орамасындағы ток :
4. 10 Эффектілі өткізгіштің қимасы (жуықталған), мм :
Ашық қозғалтқыштар үшін (қорғау дәрежесі
IP44
)
4. 11 Тізбектік орамалардағы эффектілі өткізгіштердегі саны
Число элементарных проводников в эффективном:
,
.
Оқшауланбаған өткізгіштің көлденең қималық ауданы-
1, 685
4. 12 Ротор орамасындағы тоқ (нақтыланған мәні) А/мм 2 :
5. Ротордың пазаларының өлшемдерін есептеу.
а) Тізбектік орамалы ротордың жартылай жабық трапециалықөлшемдерін, тура статордыкіндей есептейміз (4. 1а суретті қара)
5. 1 Ротордың тістерінің ені, м :
5. 3 Пазаның минималды ені:
,
5. 4 Шлицтың ені
және оның биіктігі
(
м
) -3. 5 пунктінен 1 индексін 2 индексіне ауыстыру арқылы анықталады.
h ш2 = 0, 0008 (м) ; β =45 0 .
5. 5 Клиндық бөліктің биіктігі:
м.
5. 6 Максималды пазаның ені:
5. 7 Пазаның көлденең қималық ауданы және пазаны толтыру коэффициенттері 3. 9
.
Пазалық изоляцияның көлденеі қималық ауданы (мм)
Пазаның көлденең қималық ауданы, орамдары бойынша (мм)
Пазаның толтыру коэффициенттері
5. 8 статор ярмасындағы индукция, (Тл) ;
,
.
6. Магнит тізбегін есептеу.
6. 1 Екі полюсті магнит тізбегінің МҚК
барлық участкілердің магнит тізбегінің қосындысымен анықталады:
.
6. 2 Екі полюске берілетін ауа саңылауының магнитті кернеуі:
,
бұл жердегі
ауа саңылауының коэффициценті;
,
,
.
6. 3 Статордың тістік қабатының магнитті кернеуі ( А ) :
,
.
Статордың тістеріндегі магнит өрісі 2013
келесідей анықталады:
а) таңдалған болат маркасы үшін, трапециялық пазаларға, курстық жұмыстың бірінші бөліміндегі 3. 14 тармақшада есептелген индукцияға
А
қосымшасы бойынша (Айналу осінің биіктігі
мм
2013
болат маркасы алынады
,
ал
-
2312
болат) ;
6. 4 Ротор тістік қабатының магниттік кернеулігі ( А ) :
,
А/м-
трапециялық пазалар үшін, курстық жұмыстыңбірінші бөліміндегі 5. 1 тармақшасындағы индукция С қосымшасы арқылы таңдалады;
6. 5 Статор ярмасының магниттік кернеулілігі:
,
.
=826
А/м
курстық жұмыстың бірінші бөліміндегі 3. 21 үшін,
Д
қосымшасы арқылы таңдалады.
6. 6 Ротор ярмасының магнитті кернеулілігі ( А ) :
,
.
А/м
курстық жұмыстың бірінші бөліміндегі 5. 14 үшін,
Д
қосымшасы арқылы таңдалады.
6. 7 Магнит тізбегінің, магнит кернеулілігінің қосындысы 1. 1 тармақшасы арқылы анықталады.
6. 8 Қозғалтқыштың магнит тізбегінің қанығу коэффициенті
, (
)
6. 9 Магниттеуші тоқ ( А ) :
ал, процент бойынша статордың номиналды тоғынан
7. Статордың және ротордың орамаларының активті және индуктивті
кедергілері.
Статор орамасының кедергісі
7. 1 Статордың тістік бөлінуінің орташа мәні ( м ) :
.
7. 2 Статордың катушкасының немесе секциясының орташа ені( м ) :
бұл жердегі у ор1 - статордың орама адымының орташа мәні (екіқабатты орама үшін у ор1 =у 1 (курстық жұмыстың бірінші бөліміндегі 2. 7 тармақша) .
7. 3 Жұмсақ катушкалы орамалар үшін, статордың жақтық бөлігінің орташа ұзындығы
,
7. 4 Статордың орамасының, орама санының орташа ( м ) :
.
7. 5 Статордың орамасының жақтық бөлігінің ұзындығы ( м ) : -жұмсақ катушкалы орамалар үшін
;
7. 6 115 0 С ( F оқшаулама классы үшін) жұмыс температурасына келтірілген, статордың орамасының активті кедергісі, Ом:
,
бұл жердегі
115
0
С
кезіндегі мыстың меншікті кедергісі.
7. 7 Ол да салыстармалы бірлікте (с. б. )
о. е.,
бұл жердегі
- фазалық тоқ және кернеу номиналды мәндері.
7. 8 Статордың орамасының тарау индуктивті кедергісі үш бөліктен тұрады: пазалық тарқау, дифференциалды тарқау және жақтық бөліктің тарқауы.
және
,
;
.
7. 9 Статордың дифференциалды тарқауының өткізгіштік коэффициенті
,
, мұнда
и
график бойынша анықталады.
7. 10 Статордың жақтық бөлігінің өтімділік коэффициценті:
.
7. 11 Статордың орамасының тарқауының магнит :
.
7. 12 Статордың орамасының фазалық тарқауының индуктивті кедергісі( Ом ) :
.
7. 13 Индуктивті кедергі салыстырмалы бірлікте:
.
Ротордың орамасының кедергісі
7. 14 Ротордың тістік бөлінуінің орташа мәні ( м ) :
.
7. 15 Ротордың орамасының катушкасының орташа ені ( м ) :
,
мұнда
7. 16 Катушканың жақтық бөлігінің орташа ұзындығы ( м ) :
,
.
7. 17 Ротордың орамасының орам санының орташа ұзындығы( м ) :
.
7. 18 Ротордың орамасының жақтық бөлігінің шығуы ( м ) :
.
7. 19 Ротордың фазасының орамасының активті кедергісі ( Ом ) :
.
7. 20 Статор орамасына ротор орамасын кедергісін келтіру
коэффициценті:
.
7. 21 Статорға келтірілетін, ротор орамасының активті кедергісі ( Ом ) :
, салыстырмалы бірлікте
.
7. 22 Трапециалық паза кезінде, ротордың пазалық тарқауыың магнитөткізігіштік коэффициценті (2. 2, а суретті қара)
,
,
, мұнда
и
.
7. 23 Ротордың дифференциалды, тарқау өтімділік коэффициценті:
,
.
мұнда
и
-график бойынша анықталады.
7. 24 Ротордың жақтық бөлігінің, тарқау өтімділік коэффициценті:
.
7. 25 Ротор орамасының, тарқау өтімділік коэффициценті:
.
7. 26 Ротор фаза орамасының индуктивті кедергісі ( Ом ) :
.
7. 27 Ротор фаза орамасының келтірілген индуктивті кедергісі ( Ом ) :
.
7. 28 Ротор фаза орамасының келтірілген индуктивті кедергісі (с. б. )
.
8. Болаттағы, механикалық және қосымша шығындар.
Болаттағы (магнитті шығындар) және механикалық шығындар жүктемегетәуелді емес, сондықтан олар тұрақты шығандар және жұмыс сипаттамаларын есептеуден бұрын анықталады.
8. 1 Трапециалық паза болғандағы, статордың болат тістерінің есептелетін массасы ( кг ) :
8. 2 Статордың тістеріндегі магнитті шығындары ( Вт ) :
а) 2013 маркалы болаты үшін
;
Трапециялық паза үшін-
8. 3 Статордың жармасының болат массасы:
8. 4 Статор жармасындағы магниттік шығындар ( Вт ) :
а) 2013 маркалы болаты үшін
;
8. 5 Болаттағы қосымша шығындарды қосатын, статордың өзекшесіндегі қосындылық магниттік шығындары ( Вт ) :
8. 6 1COI салқындату амалы кезіндегі, радиалды канал болмағандағы, радиалды ауаалмасытыру жүйелі, IP23 қорғау дәрежесіндегі механикалықшығындар ( Вт ) :
,
8. 7 Номиналы жүктеме болғандағы қосымша шығындар эмпериалық формула бойынша анықталады ( Вт ) (қосымша шығындар дегеніміз ағыннан және өткізгіштердегі тоқтардың ығысуынан пайда болатын шығындар)
9. Асинхронды қозғалтқыштың жұмыс сипаттамалары.
9. 1 Ротордың және статордың орамасының өзара индукция кедергісі( Ом ) :
.
9. 2 Параметірлерді Т -тәріздес сұлбадан Г - тәріздес сұлбаға келтіру коэффициценті:
.
9. 3 S=0 кезіндегі бос жүріс тоғының активті құрамы:
.
9. 4 S=0 кезіндегі бос жүріс тоғының реактивті құрамы:
.
9. 5 Жұмыс испаттамаларын есептеудің формулалары 3-ші кестесінде келтірілген.
Есептеу келесідей сырғанау ретімен жасалады
, мұнда
.
Алайда номиналды сырғанау келесідей болады
.



4. 1 Ротор темірөзекшесінің сыртқы диаметрі, м :

,
, мұнда
=
1, 75 Тл.
5. 2 Ротордың жуықталған паза биіктігі h < 200 мм эмпирикалық формуламен анықталады:
,
- Іс жүргізу
- Автоматтандыру, Техника
- Алғашқы әскери дайындық
- Астрономия
- Ауыл шаруашылығы
- Банк ісі
- Бизнесті бағалау
- Биология
- Бухгалтерлік іс
- Валеология
- Ветеринария
- География
- Геология, Геофизика, Геодезия
- Дін
- Ет, сүт, шарап өнімдері
- Жалпы тарих
- Жер кадастрі, Жылжымайтын мүлік
- Журналистика
- Информатика
- Кеден ісі
- Маркетинг
- Математика, Геометрия
- Медицина
- Мемлекеттік басқару
- Менеджмент
- Мұнай, Газ
- Мұрағат ісі
- Мәдениеттану
- ОБЖ (Основы безопасности жизнедеятельности)
- Педагогика
- Полиграфия
- Психология
- Салық
- Саясаттану
- Сақтандыру
- Сертификаттау, стандарттау
- Социология, Демография
- Спорт
- Статистика
- Тілтану, Филология
- Тарихи тұлғалар
- Тау-кен ісі
- Транспорт
- Туризм
- Физика
- Философия
- Халықаралық қатынастар
- Химия
- Экология, Қоршаған ортаны қорғау
- Экономика
- Экономикалық география
- Электротехника
- Қазақстан тарихы
- Қаржы
- Құрылыс
- Құқық, Криминалистика
- Әдебиет
- Өнер, музыка
- Өнеркәсіп, Өндіріс
Қазақ тілінде жазылған рефераттар, курстық жұмыстар, дипломдық жұмыстар бойынша біздің қор #1 болып табылады.

Ақпарат
Қосымша
Email: info@stud.kz