Трансформатордың параметрлерін есептеу


Мазмұны
Кіріспе
1. 1. Тапсырма
Трансформаторлар
Трансформатордың жұмыс істеу режимі
1. 2. Есептеу жолдары
Қорытынды
Пайдаланылған әдебиеттер
Кіріспе
Электр механикалық түрлендіргіштер өнеркәсіпте, ауыл шаруашылығында, авиацияда, көлікте, әскери істе, тұрмыста және қазірі заманғы автоматты басқару жүйесінде және синхронды байланыс жүйелерінде өте кең қолданыс тапты.
Есептеу - графикалық жұмыс үшін тапсырмаларды құрастырғанда, электр механикалық түрлендіргіштердің әр түрлі үшін жалпы сұрақтарды құрастыру керек. Оларға электрлік машиналардың жұмыс істеу принципі мен құрылысы, қолдану өрісі және айнымалы ток машинасы теориясының жалпы сұрақтары қатысты.
Есептеу-графикалық жұмыс екі бөлімнен тұрады:
а) тапсырмаға сәйкес электрлік машинаның жұмыс істеу принципі және қолдану өрісі;
б) ораманың сұлбасы.
Трансформаторлар
Трансформатор - айнымалы токтың кернеуін жоғарылатуға немесе төмендетуге арналған электр приборы. Үй жағдайында, трансформаторды пайдаланып, электр приборын кернеуі 127 В желілен кернеуі 220 В желіге және керісінше қосуға болады. Егер трансформатор жоғары кернеулі желіге ауыстырылып қосылса, онда оны кернеуі 220 В желіге қосуға болмайды.
Өйткені одан алынатын жоғары кернеу (380 В-тан астам) транформаторлық және ол арқылы қосылған электр приборларының бұзылуына әкеліп соқтыруы мүмкін. Трансформатор таңдаған кезде оның қуаты электр приборларын бір мезгілде қоректендіруге арналған құрал-жабдықтардың жалпы қуатынан кем болмауын есте сақтаған жөн
Әр түрлі құралдар мен қондырғылар тұтынатын кернеу өте кең диапазонда өзгереді. Тіпті бір электр қондырғысы әр түрлі кернеу пайдалануы мүмкін. Қуаттың тұрақты дерлік мәнінде айнымалы ток кернеуінің ток күшімен қатар өзгеруін айнымалы токтың трансформациясы дейді. Айнымалы токтың трансформациясын жүзеге асыратын құрал трансформатор деп аталады. Ол электромагниттік индукция құбылысының негізінде жұмыс істейді. Бұл құралды орыс ғалымы П . Н . Яблочков (1878 ж. ) ойлап тапқан, кейін оны (1882 ж. ) И . Ф . Усагин жетілдірді.
- сурет
Қазіргі трансформаторлар, Фуко тогын азайту үшін оқшауланған пластиналардан құралған тұйық өзекшеден түрады. Өзекше пластиналары трансформаторлық болаттан жасалады, ол өте аз шығынмен оңай қайта магниттеледі. Өзекшеге екі катушка кигізіледі. Бір катушка айнымалы ток тізбегіне қосылады, оны біріний реттік орама (катушка) дейді. Екінші катушкаға тұтынушы, яғни электр қондырғыларын қосады. Оны екінші реттік орама (катушка) деп атайды. Катушкалардың активті кедергілері аз.
Генератор бірінші реттік катушкаға
айнымалы кернеу береді. Оның бойынан жүретін айнымалы ток трансформатордың өзекшесінде айнымалы магнит ағынын тудырады. Олай болса, бірінші реттік катушканың әр орамында өздік индукция ЭҚК-і, ал екінші реттік катушканың әр орамында дол сондай индукциялық ЭҚК-і пайда болады.
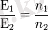
Егер бірінші реттік катушканың орам саны
, ал екінші реттік катушкада
болса,
,
, мұндағы
- бір орамдағы индукциялық ЭҚК. Осы екі өрнектен
шығады. Активті кедергі аз болғандықтан, бірінші реттік катушка үшін
аламыз.
Трансформатордың жұмыс iстеу принципi электромагниттiк индукция құбылысына негiзделген. Бiрiншi реттi орамдар арқылы айнымалы ток өткен кезде ферромагниттiк өзекшеде айнымалы магнит ағыны пайда болады. Бұл магнит ағыны өз кезегiнде екiншi реттi орамдарды да тесiп өтетiн болғандықтан осы орамдарда индукциялық ЭҚК-iн туғызады. Егер екiншi реттi орамдар тұтынушыларға қосылған болса, онда бұл тiзбектен де айнымалы ток өтедi. Ал бұл айнымалы ток өзекшеде қайтадан өзiнiң айнымалы магнит ағынын туғызады. Екiншi орамдардың туғызған магнит ағыны өзекшедегi толық магнит ағынын кемiтедi, бұл өз кезегiнде бiрiншi реттi орамдардағы өздiк индукция ЭҚК-iнiң кемуiне алып келедi.
Өздiк индукция ЭҚК-iнiң кемуiнен бiрiншi реттi тiзбекте ток арта бастайды да, қоректендiрушi кернеудiң мәнi өздiк индукция ЭҚК-iне теңескенде жүйеде тепе-теңдiк орнайды.
Орамдар санының бiр-бiрiне қатынасын
трансформациялау коэффициентi деп атайды. К>1 болғанда трансформаторлар төмендеткiш, ал K<1 болса жоғарылатқыш трансформаторлар болып табылады. Бiрiншi және екiншi орамдардағы ток күшi, кернеу мен орам сандарының арасында мынадай байланыс бар
Энергияның сақталу заңына сәйкес
Р2=P1-Pор-Pөз
мұндағы Р2=I2U2cosφ2 - екiншi тiзбектен тұтынушылар пайдаланатын қуат, Р1 =I1U1cosφ1 - бiрiншi тiзбекке қоректену көзiнен берiлетiн қуат, ал Рор=I12r1+I22r2 - актив кедергiлерi r1 және r2 - ге тең орамдардағы қуат шығыны да, Рөз- ферромагниттiк өзекшенiң магниттелуiмен байланысты қуат шығыны.
Трансформатордың пайдалы әсер коэффициентi (ПӘК)
Бүгiнгi күннiң технологиялары ПӘК-i 97-98% болатын трансформаторлар жасауға мүмкiндiк бередi.
Трансформаторлардың электр энергиясын тасымалдаудағы ролi ерекше. Электр энергиясын қашық аралықтарға тасымалдау күрделi ғылыми-техникалық мәселе болып табылады. Бұл жердегi негiзгi мәселе энергия шығынымен байланысты. Өткiзгiштердiң қызуынан болатын энергия шығыны Джоуль-Ленц заңына сәйкес тiзбектегi ток күшiнiң квадратына пропорционал, яғни Q=I2Rt. Олай болса, тасымалдау кезiндегi бос шығынды азайту үшiн тасымалданатын қуатты кемiтпестен, ток күшiн мүмкiндiгiнше азайту қажет. Оның бiрден-бiр жолы кернеудiң шамасын аса жоғары, жүздеген мың вольтқа көтеру. Жоғарғы вольтты электр тасымалдау жүйелерiнiң болуы осымен байланысты. Электр энергиясын өндiретiн жерде кернеудi трансформаторлардың көмегiмен 400-500 мың вольтқа дейiн жоғарылатады да, тасымалдап жеткiзген соң энергияны тұтынатын жерде керiсiнше өндiрiстiк 220 вольтқа дейiн кемiтедi.
Есептеу жолдары
Берілгендері:
Статор фазасындағы орам саны m=3 .
Фаза және полюске қатысты ойық саны q=2 .
Қысқару коэффициентінің қадамы β=y/τ=1
Параллель орналасқан бұтақтардың саны a=2
Полюстер саны p=2.
Статордағы тістер саны :
... жалғасы- Іс жүргізу
- Автоматтандыру, Техника
- Алғашқы әскери дайындық
- Астрономия
- Ауыл шаруашылығы
- Банк ісі
- Бизнесті бағалау
- Биология
- Бухгалтерлік іс
- Валеология
- Ветеринария
- География
- Геология, Геофизика, Геодезия
- Дін
- Ет, сүт, шарап өнімдері
- Жалпы тарих
- Жер кадастрі, Жылжымайтын мүлік
- Журналистика
- Информатика
- Кеден ісі
- Маркетинг
- Математика, Геометрия
- Медицина
- Мемлекеттік басқару
- Менеджмент
- Мұнай, Газ
- Мұрағат ісі
- Мәдениеттану
- ОБЖ (Основы безопасности жизнедеятельности)
- Педагогика
- Полиграфия
- Психология
- Салық
- Саясаттану
- Сақтандыру
- Сертификаттау, стандарттау
- Социология, Демография
- Спорт
- Статистика
- Тілтану, Филология
- Тарихи тұлғалар
- Тау-кен ісі
- Транспорт
- Туризм
- Физика
- Философия
- Халықаралық қатынастар
- Химия
- Экология, Қоршаған ортаны қорғау
- Экономика
- Экономикалық география
- Электротехника
- Қазақстан тарихы
- Қаржы
- Құрылыс
- Құқық, Криминалистика
- Әдебиет
- Өнер, музыка
- Өнеркәсіп, Өндіріс
Қазақ тілінде жазылған рефераттар, курстық жұмыстар, дипломдық жұмыстар бойынша біздің қор #1 болып табылады.

Ақпарат
Қосымша
Email: info@stud.kz