«Құбыр ішінде құбыр» типті жылуалмастырғыш есебі

 
    
Қазақстан Республикасы Білім және Ғылым Министрлігі
Шәкәрім атындағы Семей Мемлекеттік Университеті
Инженерлік-технологиялық факультет
«Техникалық физика және
жылуэнергетика» кафедрасы
Курстық жұмыс
(жұмыстың аталуы)
Жылу динамикасы және жылумасса алмасу
(пән аты)
«Құбыр ішінде құбыр» жылуалмастырғышының жылулық есебі
(жұмыс тақырыбы)
Орындаған: Калиева Ұ. Б. Тексерген:
Студент Жетекші: Мухамедов Н. Е
(жетекшінің аты-жөні)
(қолы) (студенттін аты - жөні) (қолы) (күні)
(баға) (күні)
Комиссия
(қолы) (Аты- жөні)
(қолы) (Аты- жөні. )
Семей
2013
Мазмұны
1 Курстық жұмыстың берілгені 3
2 Кіріспе 4 3 «Құбыр ішінде құбыр» типті жылуалмастырғыш есебі 13
3. 1 Қондырғының жылулық есебі 13
3. 2 Құрастыру есебі 20
3. 3 Гидравикалық есеп 21
3. 4 Механикалық есеп 22
4 Қорытынды 24
5 Қолданылған әдебиеттер 25
Берілгені
«Құбыр ішінде құбыр» типті жылуалмастыру қондырғысында ыстық жылутасымалдағыш (су) ішкі құбырмен қозғалады, ал суық жылутасымалдағыш (су) құбыр аралығындағы шеңберлі арнамен қозғалады. кіре берістегі өлшемдері тұрақты.
температураларының өзгеру қатынасы жылу беру бетінің барлық нүктелерінде тұрақты.
 1. 1 кесте - «Құбыр ішінде құбыр» типті жылуалмастыру қондырғысы үшін
  , D, d
 
  c
 
 , d
 
  іш
 
 мәндері.
 , D, d
 
  c
 
 , d
 
  іш
 
 мәндері.
Ыстық жылутасымалдағыштың температура
сы
Ыстық
жылутасымалдағыштың шығыны
G 1 , кг/сағ
Суық жылутасымал
дағыштың
температура
сы
Сыртқы құбырдың ішкі
диаметрі
D, мм
Ішкі
құбырдың сыртқы
диаметрі
d с , мм
Ішкі
құбырдың
ішкі
диаметрі
d іш , мм
Кіре беріс
t , 1 , 0 С
Шыға беріс
t ,, 1 , 0 С
Кіре
беріс
t , 1 , 0 С
Шыға беріс
t ,, 1 , 0 С
1. 2 кесте - қозғалыс сұлбасы, құбыр материалы және l -дың мәні
қозғалыс схемасы
секциясының ұзындығы
l , м
Құбыр
материалы
Кіріспе
Жылуалмасу үрдістері қазіргі күннің техникасында үлкен рөл атқарады. Жылуалмасу процестеріне қыздыру, булану, суыту және конденсация жатады. Жылутасымалдағыш ретінде газдар, бу және сұйықтықтар қолданылады.
Вентиляция және қыздыру қондырғыларына ыстық жылуалмастырғыш ретінде ыстық су кең қолданыс тапты. Ыстық су арнайы су қыздыру қоймаларында, өндірістік технологиялық аграгаттарында, немесе ЖЭС - дегі су қыздыру қондырғыларында дайындалады. Ыстық суды жылутасымалдағыш ретінде құбыр арқылы алыс қашықтықтарға тасылмалдауға болады. Жақсы изоляцияланған құбырларда судың температурасы 1 0 С - қа ғана төмендейді. Судың жылутасымалдағыш ретіндегі артықшылығы бұл оның жылуалмасу коэффицентінің жоғарылығы.
Бірақ жылу жүйелеріндегі ыстық су өндірістік жылутасымалдағыштарда аз қолданылады, өйткені жылу беру мерзімінде (қыста), оның температурасы тұрақсыз 70 - 130 0 С - ға дейін өзгеріп отырады, ал жазда жылу жүйелері мүлдем жұмыс атқармайды.
Жоғары температуралы жылутасымалдағыштарға қойылатын негізгі талаптар: атмосфералық қысымда жоғары қайнау температурасына ие болу, жоғары жылуалмасу интенсивтілігі, қату температурасының төмендігі, коррозиялық активтілігінің аз болуы, токсикацияның аздығы, жарылыс қауіпсіздігі, өртену қауіпсіздігі, термиялық тұрақтылығы және бағасының төменділігі.
Жылуалмасу проесіне екі не одан да көп орта қатысады. Олардың температуралары әр түрлі. Жоғары температуралы орта бұл - жылуалмасу кезінде жылу беретін орта, яғни ыстық жылутасымалдағыш болып табылады. Ал температурасы төмен орта, яғни жылуды қабылдайтын орта бұл - суық жылутасымалдағыш. Жылуалмасу процессінің қозғаушы күші температураларының айырмасы болып табылады.
Жылу баланстары. Жылулық баланстар есебін жүргізу кезіндегі жылусиымдылықтардың шектік мәндерін, энтальпияларын және фазалық, химиялық түрлендірулердің жылуын білу керек.
Шектік сиымдылық - 1 кг затты 1 градусқа суыту не қыздыруға қажетті жылу мөлшері. Жылусиымдылығы температурадан тәуелді болғандықтан, оны нақты жылусиымдылық және орташа жылусиымдылық деп бөледі.
 
Мұндағы Q - температура t 1 - ден t 2 - ге дейін өзгергендегі 1 кг затқа берілетін жылу мөлшері.
 Шектік энтальпия
 
  і
 
 - 1 кг затты 0
 
   0
  
  С
 
 - дан қажетті температураға дейін қыздыруға кететін жылу мөлшері. Энтальпия
 
  і
 
 - мен өлшенеді, ал техникалық жүйедегі өлшем бірлігі ккал/кг.
 - мен өлшенеді, ал техникалық жүйедегі өлшем бірлігі ккал/кг.
 
  Физикалық және химиялық түрлендірулердің шектік жылуы
 
 - бірлік массалы зат түрленгенде, не агрегаттық күйін өзгерткенде бөлінетін немесе жұтылатын жылу мөлшері. Ол
 - бірлік массалы зат түрленгенде, не агрегаттық күйін өзгерткенде бөлінетін немесе жұтылатын жылу мөлшері. Ол
  - мен өлшенеді, ал техникалық жүйедегі өлшем бірлігі
 
  ккал/кг
 
 .
 - мен өлшенеді, ал техникалық жүйедегі өлшем бірлігі
 
  ккал/кг
 
 .
Жылу балансын құрастырудың «ішкі» әдісі (жылу сиымдылық мәндерін қолдану арқылы) . Егер жылуалмасу процесі кезінде фазалық немесе химиялық түрлену нәтижесінен жылудың қосымша жұтылуы не бөлінуі жүрмесе, сонымен қатар қоршаған ортаға қатысты жылу болмаса, онда бірлік уақыт ішінде бір ортадан екінші ортаға өтетін жылу мөлшері - жылу ағыны не жылулық жүктелу болып табылады. Ол
 
(2. 3)
Егер жылуалмасу процессі бірінші ортада жүрсе, онда жылу балансының тендеуі келесідей болады:
 
Жылулық балансты құрудың «сыртқы» әдісі (шектік энтальпия шамаларын қолдану арқылы) .
Мұнда жылу балансы келесі сәйкестікпен құрастырылады. Орталардың 1 сағатта қондырғыға әкелетін жылу мөлгшері, қондырғыдан орталар арқылы бөлінетін жылу мөлшеріне тең екендігін ескере отырып келесіні аламыз:
 (2. 5)
 (2. 5)
 Мұндағы
 
  і
  
   1
  
  , і
  
   2
  
 және
  
 - қондырғыға әкелетін және қондырғыдан шығарылатын заттардың энтальпиялары.
 - қондырғыға әкелетін және қондырғыдан шығарылатын заттардың энтальпиялары.
(2. 5) теңдеуінен бір ортадан екінші ортаға берілген жылу мөлшерін энтальпиялар айырмасы арқылы анықтауға болады.
 (2. 6)
 (2. 6)
Жылуалмастырғышта фазалық немесе химиялық түрлендірулер жүрген кездегі, бір ортадан екінші ортаға берілген жылу мөлшері:
 (2. 7)
 (2. 7)
Жылуберудің кинетикасы. Жылуберу механизмінің үш түрін ажыратады; жылуөткізгіштік, конвекция, сәулелендіру.
Жылуөткізу арқылы жылуды беру жылуберудің бағытына сәйкес массалық қозғалысы жоқ ортадағы жылу энергиясының берілуін айтады.
Мұнда жылу атомдар мен молекулалардың тербелуінің энергиясы ретінде беріледі. Бұл энергия азаю бағытында көршілес атомдармен молекулаларға беріледі.
  Жылуөткізу коэффициенті
 
 - ұзындығы 1
 
  м
 
 - ге тең, температулар айырмасы 1 градус болатын дененің бірлік ауданынан бірлік уақыт ішіндегі жылу мөлшерімен жылу беру жылдамдығын анықтайды.
  - ның ең үлкен мәніне металлдар ие болады (бірнеше жүз
 
  Вт/м град
 
 ) .
 - ның ең үлкен мәніне металлдар ие болады (бірнеше жүз
 
  Вт/м град
 
 ) .
  - ның аз мәніне қатты денелер мен бейметаллдар сәйкес келеді. Ал сұйықтардың жылу өтімділігі қатты денелерге қарағанда да аз, ал жылу өткізу коэффициенті одан да төмен.
 - ның аз мәніне қатты денелер мен бейметаллдар сәйкес келеді. Ал сұйықтардың жылу өтімділігі қатты денелерге қарағанда да аз, ал жылу өткізу коэффициенті одан да төмен.
Конвекция арқылы жылу өткізу . Бұл әдіс - орталардың сәйкес орын ауыстырулары бойынша жылуды өткізу әдісі. Ортадан қабырғаға, не қабырғадан ортаға жылудың өтуі жылу берілу деп аталады. Берілген жылу мөлшері Ньютонның заңы арқылы анықталады:
 (2. 8)
 (2. 8)
Мұндағы:
 - жылу беру коэффиценті;
 - жылу беру коэффиценті;
  .
 .
Ортаның турбулентті қозғалыс кезіндегі жылуберу коэффициенті. Ағынның негізгі өзегіндегі t 1 температурасына иемденетін және қозғалысы турбуленттік сипаттамаға сәйкес орта, температурасы t қ болатын қабырға бойымен қозғалғанда өз жылуын қабырғаға береді. Қабырғада әрқашан да жұқа шектік қабат болады. Мұнда ламинарлық ағыс орын табады. Бұл ламинарлық қабатта жылу берудің негізгі кедергісі шоғырланған. Фуры заңына сәйкес:
 (2. 9)
 (2. 9)
(2. 11) мен (2. 12) теңдеуін сәйкестендірсен, онда:
 (2. 10)
 (2. 10)
 - шамасын берілген қабаттың қалындығы деп айтады.
 - шамасын берілген қабаттың қалындығы деп айтады.
 - келесі негізгі факторларға тәуелді:
 - келесі негізгі факторларға тәуелді:
1. Ағындық ортаның физикалық қасиеттерінен: жылу өткізгіштік, жылу сиымдылық, тұтқырлық, тығыздық.
2. Жылу қабылдаушы беттердің сұйық немесе газбен шайылуының гидравликалық шарттарынан: берілген бетке сәйкес ағындық ортаның бағыты мен жылдамдығы.
3. Ағынды шектейтін кеңістіктік өлшемдері: диаметр, ұзындық, беттік бұдырлығы.
Осылайша жылу беру коэффициенті көптеген шамалардың функциясы болып табылады:
 
Түзу, тегіс және ұзын құбырлардағы турбуленттік ағыс кезінде жылу беруді сипаттайтын ұқсас критерийлер арасындағы функцияналды байланыс өлшемдер анализінің әдісі арқылы шығарылады.
(2. 11)
немесе қысқаша:
(2. 12)
Мұндағы: А, а және е - кейбір сандық мәндер.
Өлшемсіз комплекстер келесі атауларға ие:
 - жылуберу коэффициентін ескеретін Нуссельт критериі;
 - жылуберу коэффициентін ескеретін Нуссельт критериі;
 - ағынның гидравликаның сипаттамасын анықтайтын Рейнольдс критериі;
 - ағынның гидравликаның сипаттамасын анықтайтын Рейнольдс критериі;
 - ортаның физикалық қасиеттерін сипаттайтын Прандтль критериі.
 - ортаның физикалық қасиеттерін сипаттайтын Прандтль критериі.
А, а және е тәжірибелік зерттеулер негізінде анықталады.
Жылу беру коэффициенті. Химиялық технологияларда бір сұйық ортадан екінші сұйық ортаға қабырға арқылы жылу берілу кенінен кездеседі. Бір ортадан екінші ортаға жылу берілу үш сатыдан құралады және де тұрақталған процесс үшін жылу таралу бағытында жылулық ағын тұрақты болады.
Бірінші ортадан қабырғаға өтетін жылулық ағын:
(2. 13)
Қабырғадан өткен кезде:
 (2. 14)
 (2. 14)
Бір қабырғадан екінші қабырғаға өткен кезде:
 (2. 15)
 (2. 15)
Үш теңдеуден қорытқы шешімі:
 (2. 16)
 (2. 16)
Алдынғы теңдеуден:
 (2. 17)
 (2. 17)
К - жылу беру коэффициенті; СИ бірліктер жүйесінде
 
 өлшенеді.
 өлшенеді.
Температуралардың орташа айырмасы. Көп жағдайларда жылу беру процесі кезінде орта температуралары өтіп жататын жылу алмасу процесінен өзгеріске ұшырайды, сондықтан жылу алмасу бетінде (t 1 - t 2 ) температуралар айырмасы да өзгереді. Сондықтан қондырғы ұзындығы бойынша температуралардың орташа айырмасын есептейді, бірақ өзгеру сызықсыз болғандықтан, температуралардың орташа логарифмдік айырмасын анықтайды.
 (2. 18)
 (2. 18)
Кері ағыс кезінде жылу беру беті аз болк керек, ал тура ағыс кезінде керісінше болады.
Кері ағыс үшін орташа температура келесідей есептеледі:
 
 - түзету коэффиценті, ол әрқашан да 1 ден кіші.
 - түзету коэффиценті, ол әрқашан да 1 ден кіші.
«Құбыр ішінде құбыр» типті жылуалмастырғыштар
Жылуалмастырғыш қондырғылар деп - бір денеден екінші денеге жылуды беретін қондырғыларды айтады, яғни жылуалмастырғыштар деп - температурасы жоғары ортадан температурасы төмен ортаға жылу беретін қондырғылар.
«Құбыр ішінде құбыр» типті жылуалмастырғыштар бірінің ішінде бірі орналасқан құбырлардан тұрады, яғни ішкі құбыр мен сыртқы құбырдан құралады. Бір орта ішкі құбырмен жүреді, екіншісі - шеңберлі каналмен қозғалады. Ішкі құбырлар доғалар арқылы тізбектеліп жалғанған, ал сыртқы құбырлар - құбыршалармен жалғанған. Жылу беру бетінің үлкен аумағын алу үшін құбырларды параллель не тізбектеп жалғайды. Мұндай жалғау коллектор арқылы жүзеге асады.
 «Құбыр ішінде құбыр» типті
  және
 және
  - нің үлкен мәндерін алуға болады. Ал мұндай кемшілігі бұл - жылу алмасуға керексіз сыртқы құбырларға кететін шығындарда болатын бірлік жылу беру коэффициентіне кететін металдың үлкен шығыны болып табылады. Бұл қондырғының бағасының қымбаттауына әсер етеді.
 - нің үлкен мәндерін алуға болады. Ал мұндай кемшілігі бұл - жылу алмасуға керексіз сыртқы құбырларға кететін шығындарда болатын бірлік жылу беру коэффициентіне кететін металдың үлкен шығыны болып табылады. Бұл қондырғының бағасының қымбаттауына әсер етеді.
Жылуалмастырғыштардың қозғалыс схемасына байланысты жылу алмастыру қондырғыларының классификациясын жасайды. қарапайым қозғалыс схемалары - бұл кері ағыс, тура ағыс, қиылысқан ағыс. Көп жағдайда жылуалмастыру қондырғыларын олардың жұмыс атқару саласы бойынша ажыратады. Негізгі типтердің өз атаулары бар: бу қазандықтары, бу генераторлары, конденсатор, градирнялар, регенераторлар, рекупираторлар, қыздырғыштар, тоңазытқыштар.
Жылуалмастыру қондырғысының типі мен конструкциясын тандау кезінде келесі факторларды білу керек:
- берілген жылу мөлшері;
- термодинамикалық өлшемдер (t, p, V) ;
- физика - химиялық қасиеттері (тығыздық, тұтқырлық) ;
- конструкциялық материалы, химиялық агрессивтігі;
- қондырғының жұмысы, ондағы жүретін процесстер;
- қысымынан пайда болатын кернеу;
- конструкторлық ерекшелігі: құрылымның қарапайымдылығы, салмағының аздығы, ПӘК - ң жоғарылығы.
- өнімнің өзіндік құны;
«Құбыр ішінде құбыр» типті жылуалмастырғыштардың артықшылығы - бұл олардың үлкен жылдамдығы негізінде жылуберу коэффициентінің жоғары болуы. Ал кемшілігі бұл - құбыр аралық кеңістікті тазартудағы қиыншылықтар, қондырғының салмағы, сонымен қатар оның жоғарғы металлосиымдылығы болып табылады.
«Құбыр ішінде құбыр» типті жылуалмастырғыштар тамақ өндірісінің өнеркәсіптерінде кең қолданыс тапты. Қазіргі кезде МЕСТ 9930-78 бойынша «Құбыр ішінде құбыр» типті жылуалмастырғыштардың келесі типтерін жасайды:
- көлемі кіші ажыратылмайтын, бір ағынды;
- кіші көлемді, ажыратылатын, бір және екі ағынды;
- ажыратылатын бір ағынды;
- ажыратылмайтын бір ағынды;
- ажыратылатын көп ағынды;
2 суретте ажыратылмайтын бір ағынды «құбыр ішінде құбыр» типті жылуалмастырғыш көрсетілген. Ол тізбектеп жалғанған секциялардан тұрады, оның әрқайсысы бірінің ішінде бірі орналасқан, әр түрлі диаметрлі құбырлардан тұрады. Бұл жылуалмастырғыштар үлкен қысымды болып табылады және де қарапайым құрылымды болып келеді.
 
 
1 - корпус; 2 - линзалы компенсатор; 3 - жылуалмасудың құбырлы беті,
4 - құбыраралық кеңістікке жылутасымалдағышты жалғайтын құбырша; 5 - қыздыру құбырларының ішінде ағатын жылуалмастырғышты шығаратын құбырша; 6 - келесі элементтің құбыраралық кеңістігіне жылуалмастырғышты өткізетін құбырша; 7 - жылутасымалдағышты келесі элементке өткізетін құбырша; 8 - құбырларға жылутасымалдағышты өткізетін құбырша; 9 - құбыраралық кеңістіктен жылутасымалдағышты шығаратын құбырша.
  3 «Құбыр ішінде құбыр» типті жылуалмастыру қондырғысының жылулық есебі
 
3. 1 Қондырғының жылулық есебі
3. 1. 1 Ыстық жылуалмастырғыштың орташа температурасын t 1 , 0 С келесі формуламен анықтаймыз:
 
 
3. 1. 2 Суық жылутасымалдағыштың орташа температурасын t 2 , 0 С келесі формуламен анықтаймыз:
 
 
3. 1. 3 Жылуалмастыру қондырғысының жылулық жүктелуін Q, В анықтаймыз:
 
 Мұндағы
  -
 -
  температурасындағы ыстық жылуалмастырғыштың орташа массалы - изобаралы жылусиымдылығы,
 температурасындағы ыстық жылуалмастырғыштың орташа массалы - изобаралы жылусиымдылығы,
  . Сонда жүктелу:
 . Сонда жүктелу:
 
Жылу балансының теңдеуінен суық жылутасымалдағыштың шығынын G 2 келесі формуламен анықтаймыз:
 
 Мұндағы
  -
 -
  температурасындағы суық жылутасымалдағыштың орташа массалы - изобаралы жылусиымдылығы,
 температурасындағы суық жылутасымалдағыштың орташа массалы - изобаралы жылусиымдылығы,
  . Сонда жылутасымалдағыштың шығыны:
 . Сонда жылутасымалдағыштың шығыны:
 
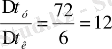
3. 1. 4 орташа температураларының айырымын анықтаймыз. Ол үшін жылуалмастыру қондырғысының ұштарындағы температуралар айырымын есептейміз. Тура ағыс үшін температуралар айырымы келесі формуламен есептеледі:
 
 
 
 
Содан соң температуралар айырымының үлкен мәнінің кіші мәніне қатынасын анықтаймыз:
 
 
 >2, болғандықтан, температуралардың орташа айырымын, жоғарыда табылған температуралардың орталогарифмдік мәнін есептеу арқылы табамыз:
 >2, болғандықтан, температуралардың орташа айырымын, жоғарыда табылған температуралардың орталогарифмдік мәнін есептеу арқылы табамыз:
 
 
3. 1. 5 қозғалыс жылдамдықтарын анықтаймыз. Ыстық жылуалмастырғыштың қозғалыс жылдамдығы W 1 , м/с, келесі формуламен анықталады:
 
 Мұндағы
  -
 -
  температурасындағы ыстық тығыздығы,
 температурасындағы ыстық тығыздығы,
  
 
Суық жылутасымалдағыштың қозғалыс жылдамдығы W 2 , м/с, келесі формуламен анықталады:
 
 Мұндағы
  -
 -
  температурасындағы суық жылутасымалдағыштың тығыздығы,
 температурасындағы суық жылутасымалдағыштың тығыздығы,
  . Сонда суық жылутасымалдағыштың қозғалыс жылдамдығы:
 . Сонда суық жылутасымалдағыштың қозғалыс жылдамдығы:
 
3. 1. 6 Ыстық жылутасымалдағыш үшін Рейнольдс критериін анықтаймыз:
 
 Мұндағы
  -
 -
  температурасындағы ыстық жылутасымалдағыштың кинематикалық тұтқырлығының коэффициенті,
 температурасындағы ыстық жылутасымалдағыштың кинематикалық тұтқырлығының коэффициенті,
  
 
Ыстық жылутасымалдағыштың ағыс режимін анықтаймыз. Re 1 >1 болғандықтан, ыстық жылутасымалдағыштың ағыс режимі турбулентті болып табылады.
Ыстық жылутасымалдағыштан құбыр қабырғасына жылу беру коэффициентін анықтау үшін қабырға температурасын білу керек. Есеп басында бұл мән белгісіз болғандықтан, әзірше біз бұл температураны ыстық және суық жылутасымалдағыштар температураларының орташа мәндерінің арифметикалық ортасы сияқты аламыз:
 
 
 Бұл температурадағы Прандтль критериі
  
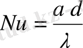
3. 1. 7 Қозғалыс ағысының режиміне байланысты Нуссельт критериін анықтаймыз. Анықтауыш температура ретінде ыстық жылутасымалдағыштың температурасын аламыз, ал анықтауыш өлшем ретінде ішкі диаметр қабылданады.
 температурасындағы ыстық жылутасымалдағыштың Прандтль критериі
 температурасындағы ыстық жылутасымалдағыштың Прандтль критериі
  .
 .
Турбулентті режим үшін Нуссельт критериі келесі формуламен анықталады:
 
 
3. 1. 8 Нуссельт критериінің формуласынан ыстық жылутасымалдағыштан құбыр қабырғасына жылу беру коэффицентін анықтаймыз:
 
 
 Мұндағы
  -
 -
  температурасындағы ыстық жылутасымалдағыштың жылу өтімділік коэффиценті,
 температурасындағы ыстық жылутасымалдағыштың жылу өтімділік коэффиценті,
  
 
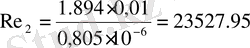
3. 1. 9 Суық жылутасымалдағыш үшін Рейнольдс критериін анықтаймыз:
 
 3. 1. 10 Мұндағы
  -
 -
  температурасындағы суық жылутасымалдағыштың кинематикалық тұтқырлығының коэффиценті,
 температурасындағы суық жылутасымалдағыштың кинематикалық тұтқырлығының коэффиценті,
  . Анықтауыш температура ретінде суық жылутасымалдағыштың температурасын аламыз, ал анықтауыш өлшем ретінде эквивалент диаметрі d
 
  э
 
 қабылданады.
 . Анықтауыш температура ретінде суық жылутасымалдағыштың температурасын аламыз, ал анықтауыш өлшем ретінде эквивалент диаметрі d
 
  э
 
 қабылданады.
 
 
 
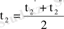
 3. 1. 11 Қабырғадан суық жылутасымалдағышқа жылу беру коэффицентін анықтаймыз. Ол үшін құбыр қабырғасының температурасын білу керек.
  температурадағы суық жылутасымалдағыштың Прандтль критериі:
 температурадағы суық жылутасымалдағыштың Прандтль критериі:
  t
 
  к2
 
 =t
 
  к1
 
 =53, 5
 
  0
 
 C деп аламыз, сонда
 t
 
  к2
 
 =t
 
  к1
 
 =53, 5
 
  0
 
 C деп аламыз, сонда
  
3. 1. 12 Қыздырылатын судың ағыс режимі турбулентті, яғни жылу алмасу қондырғысының шеңберлі каналындағы жылутасымалдағыш қозғалысы кезінде Нуссельт критериін анықтаймыз:
 
 
3. 1. 13 Қабырғадан суық жылутасымалдағышқа жылу беру коэффицентін анықтаймыз:
 
- Іс жүргізу
- Автоматтандыру, Техника
- Алғашқы әскери дайындық
- Астрономия
- Ауыл шаруашылығы
- Банк ісі
- Бизнесті бағалау
- Биология
- Бухгалтерлік іс
- Валеология
- Ветеринария
- География
- Геология, Геофизика, Геодезия
- Дін
- Ет, сүт, шарап өнімдері
- Жалпы тарих
- Жер кадастрі, Жылжымайтын мүлік
- Журналистика
- Информатика
- Кеден ісі
- Маркетинг
- Математика, Геометрия
- Медицина
- Мемлекеттік басқару
- Менеджмент
- Мұнай, Газ
- Мұрағат ісі
- Мәдениеттану
- ОБЖ (Основы безопасности жизнедеятельности)
- Педагогика
- Полиграфия
- Психология
- Салық
- Саясаттану
- Сақтандыру
- Сертификаттау, стандарттау
- Социология, Демография
- Спорт
- Статистика
- Тілтану, Филология
- Тарихи тұлғалар
- Тау-кен ісі
- Транспорт
- Туризм
- Физика
- Философия
- Халықаралық қатынастар
- Химия
- Экология, Қоршаған ортаны қорғау
- Экономика
- Экономикалық география
- Электротехника
- Қазақстан тарихы
- Қаржы
- Құрылыс
- Құқық, Криминалистика
- Әдебиет
- Өнер, музыка
- Өнеркәсіп, Өндіріс
Қазақ тілінде жазылған рефераттар, курстық жұмыстар, дипломдық жұмыстар бойынша біздің қор #1 болып табылады.
 
            
                Ақпарат
Қосымша
Email: info@stud.kz