Ұдайы өндіріс


Мазмұны
Кіріспе . . . 6
І. Қоғамдағы ұдайы өндіріс теориясы.
1. 1 Қоғамдағы ұдайы өндіріс құрылымы . . . 7
1. 2 Қоғамдық ұдайы өндірістің экономикадағы құрылымдық
өзгерістері . . . . 9
ІІ. Ұдайы өндіріс теориясының кибернетикалық тәсілдері.
2. 1Жай үдайы өндіріс тәсімі . . . 11
2. 2Кеңейтілген ұдайы өндіріс тәсімі . . . 15
ІІІ. Қоғамдағы ұдайы өндірісті талдау.
3. 1Ұлғаймалы ұдайы өндірістің типі мен көрсеткіштері . . . 22
3. 2Комуналдық меншік ұдайы өндіріс процесі жүйесінде . . . 24
3. 3Жай ұдайы өндіріс кезіндегі өткерілу шарттары . . . 29
Қорытынды . . . 33
Әдебиеттер . . . 35
Кіріспе.
Қоғамдық ұдайы өндірістің пропорциялары өндірістің әр қилы элементтері мен бөліктерінің қалыптасқан арақатынасы және ұдайы өндірістік процестің жеке фаза-ларының, факторларының, салаларының т. б. арасындағы өзара байланыс пен өзара тәуелділікті сипаттайды.
Қоғамдық ұдайы өндіріс пропорцияларының құрылуы объективті экономикллық заңдар ықпалымен қалыптасатын күрделі әрі қайшылықты экономикалық процесс. Оны орнату, ұстау, өзгерту шаруашылык тетігінің тиімді қызмет етуге әсерлі ықпал етеді және өз кезегінде сол елдің әлеуметтік-экономикалық хал ахуалына, өндіргіш күштерінің даму дәрежесіне, ғылыми техиикалык прогресс қарқыны мен ауқымына тәуелді.
Экономикалық процестердің арасындағы байланыс белгілі бір сандық пропорциялар арқылы көрсетуге қарай былайша бөлінеді.
1. Жалпы экономикалық қоғіамдық ұдайы өңдірістің макро құрылымының элемеітерінің арасындағы сандық арақатыныс (мысалы, тұтыну мен қор жинау, жалпы ұлттық өнім мен ұлттық табыс, өндіріс құрал жабдықтары өндіріс пен тұтыну заттары, өндіріс т. б. арасындағы) ;
2. Салааралық - қоғамдық өндірістің әр килы салаларының сандық арақатынысы (мысалы, -неркәсіп пен ауыл шаруашылығы материалдық емес, өндіруші және өңдеуші өнеркәсіп т. б. арасындағы) ;
3. Ішкі салааралыққа - сала мен өндіріс ішіндегі сандық арақатынас (мысалы, шойын мен болат, мақта-мата өндірісі т. б ),
4. Мемлекетаралыққа- ұлттық шаруашылықтар мен әр қилы елдердің жекелеген өндіріс салаларының сандық арақатынасы.
Ұлттық экономиканың құрылымы жалпы өнімнің ұлттық салалық құрылымы арқылы көрініс алады. АҚШ экономикасының салалық құрылымын мысалға келтірейік.
І. Қоғамдағы ұдайы өндіріс теориясы.
1. 1 Қоғамдағы ұдайы өндіріс құрылымы.
Ғылым мен техниканы ауыл шаруашылығына кеңінен енгізу, осының негізінде еңбектің қоғамдасуының өсуі ауыл шаруашылығындағы мен өнеркәсіп арасындағы өндірістік байланысты ұлғайтты, сайып келгенде, аграрлық-өнеркәсіп кешенінің (А. Ө. К. ) құрылуын тездетті. Соңғысы экономиканың үш саласының өндірістік-техникалық және ұйымдық шаруашылық бірлігін көрсетеді: ауыл шаруашылығы үшін өндіріс құрал-жабдықтарын өндіру саласы, ауыл шаруашылығы өндірісінің өзі, ауыл шаруашылығы өнімдерін өңдеу мен оны түпкі тұтынушыларға сату саласы. Аграрлы өнеркәсіп кешенін құру ауыл шаруашылығы өндірісін өнеркәсіптің индустриалды өндірісінің бір саласына айнал-дыру деген сөз.
Екінші. Салалық өзгерістерді сипаттайтын бір ерекше жағдай өндіруші өнеркәсіп үлесінің азаюы. Оны былайша түсіндіруге болады. Біріншіден, өндіру жағдайының нашарлауы, екіншіден шикізатты өңдеу дәрежесінің өсуі, үшіншіден, композициялық жаңа материалдарды игеру, төртіншіден, табиғат шикізаттарының баламасын өңдіретін салалардың дамуы. Бесіншіден, өндіріс процесінде энергияны, шикізатты, материалдарды тұтынудың төмендеуі.
Үшінші, 60-жылдардан бері өнеркәсіптің үлес салмағының біртіндеп азаюы. Бұл, бір жағынан, өнеркәсіп салаларының экономикалық өсуімен, әсіресе, ғылыми сыйымды , ал екінші жағынан, өнеркәсіп өндірісінің базалық дәстүрлі салаларының экономикалық маңыздылығының төмендеуімен байланысты.
Төртінші. Материалдық өндірістің тиімділігінің өсуі өндірістік емес саланың рөлі артты. Мысалы, соғыстан кеиін жылдарда АҚШ-тың ұлттық өнімінде үлесі 1, 3 есе артты. Өндірістік емес салада негізгі капиталды жинақтау процесі активті сипат алуда. Өндірістік емес сала қоғамдық өндірістің жеке дара саласына айналады.
Ұдайы өндіріс процесінің түпкі нәтижесі тұтыну. Ол өндірістік және жеке тұтыну болып бөлінетініде белгілі. Коммуналдық құрылым деңгейіндегі қоғамдық игіліктерді тұтыну өндірістің жеке факторын дамытатынын ескерсек, оның өзі жанама түрдегі өндірістік тұтынуға айналады. Жергілікті кажеттіліктерді қанағаттандыратын игіліктерді өндіруде қолданылатын өндіріс құрал-жабдықтарын тұтынуды, оның көлемі мен сипатын берілген аумақтық құрылымның өндіріс процесін ұйымдастырушы жергілікті атқарушы және өкілетті органдар анықтайды. Бұл жерде ескеретін бір жайт - ол тұтынуды қамтамасыз ететін шаруашылық субъектілері коммуналдық меншіктен тыс басқа меншік нышандарында да болуы ықтимал. Жергілікті басқару органдары ондай субъектілердің шығынын әртүрлі салықтар мен алымдарға жеңілдік беру, жер салығын азайту сияқты шаралар арқылы өтеуге мүмкіндігі бар. Бұл арада ондай субъектілердің қызметкерлерінің территориялық құрылымның басқа тұрғындарымен бірге коммуналдық меншіктің түпкі объектісі болып табылатын түпкі игіліктерді тұтынатынында есептен шығармау керек. Тұтыну бойынша субъектілік-объектілік қатынастарды есепке алу нарықтық экономика жағдайында табиғи туындайтын мемлекеттік, ұжымдық, жеке мүдделердің қайшылығын коммуналдық құрылым деңгейінде бәсеңдетуге және үйлестіруге қолайлы ортаны қалыптастыруға мүмкіндік берер еді.
Айырбас процесінде әлеуметтік институттар қатыса алмайтын жағдай орын алуы мүмкін, олар тек қана жергілікті қоғамдастық тұрғындары атынан тапсырыс беруші және сатып алушы бола алады. Осыған байланысты коммуналдық меншік субъектілерінде алынатын игіліктерді төлеудің шамасы мен көлемі бойынша проблемалар туындайды. Тұрғындар әлеуметтік институттардың араласуынсыз игіліктерді өндірушілерден тікелей сатып ала-алмайтын болғандықтан, ондай инститтуттар өндірушілерді таңдауда белгілі бір монополиялық үстемдікке, яғни игіліктің бағасын белгілеуде де артықшылыққа ие болады. Мұндай жағдайда негізгі субъектілік өкілеттігі бар жергілікті өзін-өзі басқару органдары тарапынан тұрғындар үшін тиімсіз баға жолсыздығына жол берілуі мүмкін.
1. 2 Қоғамдық ұдайы өндірістің экономикадағы құрылымдық өзгерістері .
Ұлттық экономиканың салалық құрылымы негізгі салалар арасында еңбекті бөлудің сандық пропорцияларымен сипатталады. Жалпы ұлттық өнімнің салалық құрылымындағы сиақты, жұмыс пен қамту саласында да осы заңдылықтар байқалады, ауыл шаруашылығында қызмет ететіндер үлесі күрт қысқарады да, өнеркәсіп өндірісіндегі еңбек ететіндер үлесі артады (бұл үсітіміздегі 100 жыл-дықтың 60-жылдарына дейін орын алды, кейіннен төмендеді) . Еңбекті бөлудегі сандық пропорциялардың елеулісі, қызмет көрсету саласындағы жұмыс істеушілердің үлесінің артуымен баиланысты 80-жылдардың орта шенінде да-мыған елдердің копшілігінде бұл керсеткіш дәрежесі 60 процентке жетті және одан да асып түсті.
Сонымен, макроэкономикалық дәрежеде құрылымдық өзгерістерді қарастырудан мынадай заңдылықтар туындайды: екінші дүниежүзілік соғысқа дейін еңбек өнімділігі өңдеуші өнеркәсіп саласында жоғары қарқынмен өсті. Бұл болса, ауыл шаруашылығы мен еңбек өнімділігінің басқа материалдық салалармен салыстырғанда жоғары қарқынмен дамуына негіз қалады. Қазіргі жағдайда, ма-териалдық өндіріс салаларының интенсивті даму жолына көшуімен байланысты, өндірістік емес салада еңбек өнімділігінің қарқындырақ өсуіне жол ашылды, яғни өндірістік емес саланың ұлғаюы, тек материалдық саладағы еңбек өнімділігінің өсуі есебінен емес, ол саланың жанды және затқа айналған еңбегін үнемдеу есебінен де мүмкін болады. Осының бәрі ұлттық экономиканың тиімділігін көтерудің қажетті шарты.
Ұдайы өндіріс процесінің бөлу кезеңінде коммуналдық меншікте тұрған игіліктерді бөлу және ұдайы өндіру шартының ұстанымдарын айқындау қажет. Коммуналдық меншік игіліктерінің ерекшеліктеріне қарай олардың елеулі бөлігі жергілікті қауымдастық мүддесіне сәйкес қажеттілік бойынша бөлінеді. Бірақ субъектілердің тұрған жеріне және әлеуметтік - кәсіби статустарының ерекшеліктеріне қарай коммуналдық меншік игіліктерін тұтынуда теңсіздік орын алады.
Бөлу кезеңінде «субъектілік-объектілік» қатынастар барынша күрделенеді. Оның негізінде бөлудің екі деңгейі жатыр. Біріншіден, меншіктің әртүрлі нысанындағы тауар өндіруші субъектілер өздерінің жеке бастарының мүдделерін басшылыққа ала отырып өндірілген өнімдерін бөледі. Екіншіден, жергілікті коммуналдық институттар айырбас кезеңінде игіліктерді сатып алады, кейін оларды өздерінің ұстанымдарына орай бөледі. Осыған байланысты қайшылықтар орын алуы мүмкін. Айталық, бөлу принципі бойынша жергілікті басқару органдары мен тұрғындардың арасындағы келіспеушілік немесе тұрғындардың жеңілдік алу құқы бар және коммуналдық құрылымның қалған топтарының мүдделерінің сәйкес болмауы сияқты құбылыстар. Мұндай қайшылықтарды шешу қоғамдық өзін-өзі басқаруды дамытуды, тұрғындар тарапынан коммунальдық құрылымның билік органдарының үстінен бақылауды күшейтуді талап етеді.
Ұдайы өндіріс процесінде «субъектілік-субъектілік» қатынастарға байланысты проблемалар айырбас кезеңінде көрініс табады. Айталық, айырбас кезеңінде коммуналдық деңгейдегі «қоғамдық игіліктер» тауар нышанында болмайды, олар түтынушыларға тауар-ақша қатынасының араласуынсыз жетеді. Әрине, бұдан ондай игіліктер тегін таратылады деген пікір тумауы керек. Оларды төлеу, белгілі бір территориялық қоғамдастық тұрғындарынан алынатын салықтар, басқада ақшалай міндеттемелер арқылы жүзеге асырылады. Себебі қандайда бір болмасын игілікті өндіру құндық сипатта болады және жергілікті шаруашылықта қолданылатын өндіріс құрал-жабдықтары мен жұмыс күшінің тауарлы нышанында көрінеді. Нәтижесінде айырбас саласында қоғамдық игіліктерді иемдену қатынасы тауарлы. Құндық нышанда болмайды, ал оларды өндіруде қолданылатын өндіріс факторлары құндық сипатта болады. Мұндай сәйкессіздікті жергілікті әлеуметтік институттардың рөлімен түсіндіруге болады, себебі олар, бұл процестерді өткізуге делдал бола отырып, тұтынылуға тиісті ұстаныммен сипатталатын қоғамдық игіліктерді өздерінің мүддесіне икемдейді.
ІІ. Ұдайы өндіріс теориясының кибернетикалық тәсілдері
2. 1Жай үдайы өндіріс тәсімі
Ұдайы өндіріс тәсімінің кибернетикалық талдамы мен түсіндіруін қарайық. Ең алдымен біз халық шаруашылығын бөлінбейтін бүгін деп көрсетіп, содан кейін ондағы екі бөлімшені ескереміз және, ең соңында, бұл мөселені, шаруашылық салаға бөлінеді деп, жалпы түрде қарастырамыз.
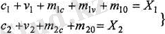
X жалпы табысының күндық шамасы үш қосылғыш ретінде анықталуы мүмкін
(1)
мұнда
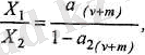
мұнда с~Х~ өнімін жасауға қажетті өндіріс құрал -жабдықгарының шығыны, v +т -нақты еңбек шығыны.
(2)
Өндіріс құрал -жабдықгары мен нақты еңбектің шығын коэффициентін еңгіземіз:
Онда 1-ден аламыз
немесе
бұдан
Құн жасау үрдісін сипаттайтын (З) -формуладан көрінетіні бұл үрдісте кейбір кері байланыс орын алады (1-сурет)
1-суреттен нақты еңбек ү+т Х өніміне түрленетіні шығады, әрі бұл 1 символымен белгіленетін тепе-тең түрлендіру. Реттелетін жүйеге үйлесімдік а с операторымен реттегіш қосылған сияқты; оның бар болуы өндіріс құрал-жабдығына шығынды өтеуге X өнімнің бөлігі кететіндігімен түсіндіріледі.
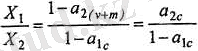
Шаруашылық екі бөлімшеден тұрсын делік:
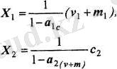
1 бөлімше (өндіріс -құрал жабдығын өндіру) және 2 бөлімше (тұтыну заттарын өндіру) . Жеке бөлімшелердің жалпы өнім көлемін анықтайтын формулалар мыналар :
(4)
мұнда а 1с -1~бөлімшедегі өвдіріс кұрал-жабдығы шығыны коэффициенті, а 2(v+m) 2-бөлімшедегі нақты еңбек шығыны коэффициенті.
Жай ұдайы өндіріс үрдісінің тепе-тендік шарты белгілі:
![]()
Бұл 2-бөлімшесінің 1-шіден алатын өндіріс құрал-жабдығының кұны, яғни V1 +т г , 2-бөлімшеден 1-ге берілетін (с2) тұтыну заттарының кұнына тең болуы керек.
(4) -ден:
![]()
(5) -ті ескеріп және
![]()
өрнегінен
шығады.
Бұдан
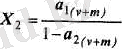
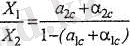
Бұл тәсімге келесі экономикалық пайымдау беруге болады.
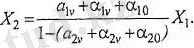
Біз Х 2 тұтыну заттарын өңдіргіміз келеді делік және жайұдайы өндіріс үрдісін қолдау үшін өндіріс құрал -жабдығының қандай мөлшері қажеттігі туралы мәселе қоямыз. Х 2 тұтыну заттарын өндіру үшін с 2 =а 2 сХ 2 өндіріс құрал -жабдығына ие болу керек, мұндағы а 2 с 2-бөлімшедегі өңдіріс құрал-жабдығына шығынның коэффициенті. Алайда с 2 = а 2с Х 2 өндіріс кұрал -жабдығын өндіру үшін тағы да белгілі мөлшерде өңдіріс құрал-жабдығы қажет. Сондықтан а \ с = V" операторымен кері байланыс қосамыз.
(7) -ге ұқсас алатынымыз:
![]()
бұдан
Х г өндіріс құрал-жабдығын өндіру жоспарлансын және бұл жосларды орындау үшін тұтыну заттарының қандай саны қажеттігін тағайындау қажет. Х1 өндіріс құрал-жабдығын өндіру үшін V, +т1-а1 (v+m) х1 тұтыну заттарының мөлшеріне ие болу керек. Бірақ өз кезегімен, бұл тұтыну заттарын шығару үшін тұтыну заттарының қосымша саны қажет. Сол себепті реттеу жүйесінде кері байланыс және 2-бөлімшедегі нақты еңбек шығыны коэффициентіне тең
операторымен реттеуші жүйе пайда болады. Бағаға байланысты туындайтын тұрғындардың шығынын өтеу үшін мемлекеттік немесе жергілікті бюджет тарапынан дотация берілуі қажет (осыған байланысты кейбір шараларды жұмысымыздың өткен тарауларында көрсеткен болатынбыз) .
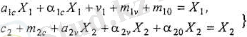
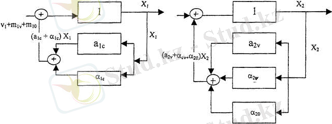
2. 2Кеңейтілген ұдайы өндіріс тәсімі
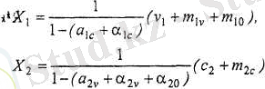
Маркстің кеңейтілген ұдайы өндіріс тәсімі мына түрде берілген:
Бұл формулалардың бірінші бөлігіндегі т с және т2у , өндіріс құрал-жабдығының санын ұлғайтуға және өндіріске қосымша жұмыс кұшін тартуға бағышталған 1-бөлімшенің қосымша өнімі құнының бөліктерін белгілейді . Ал т1о- 1- бөлімшенің өндіріс шеңберінде тұтынылатын қосымша өнім құнының бөлігі (өндірістік емес тұтыну) . т іс , т 2у және т 20 шамалары осыған ұқсас анықталады.
(9) -формуланың сол жағын мына түрде топтау ыңғайлы:
![]()
Бірінші формуладағы с1+т10 қосындыеы 1-бөлімшенің өңдіріс құрал-жабдығындағы жалпы қажетсінуді белгілейді, ал v1+m1v+m10- қосындысы 1 -бөлімшенің тұтыну заттарына жалпы қажетсінуі.
Кеңейтілген ұдайы өндіріс тепе -теңдігінің шарты:
![]()
ол 2-бөлімшенің өндіріс құрал-жабдығына қажетсінуі с г +т 2сі 1-бөлімшенің тұтыну заттарыңдағы жұмыспен қамтылған жұмыскерлер үшін және жұмыс күшінің өнімі v1+т1 и , сонымен қатар өндірістік емес шеңбердегі түгынудағы т 10 қосымша өнім бөлігіне тең болады .
(9а) формуласына 1 бөлімшедегі өндіріс құрал-жабдығы шығын коэффициенті , 1 бөлімшедегі өндіріс құрал-жабдығының қорланым коэффициентін 2-бөлімшедегі нақты еңбек шығыны коэффициентін өзгермелі капитал
қорланымының коэффициентін (яғни жұмыс күшінің өсіміне деген тұтыну заттары) және 2-бөлімшедегі қосымша өнімнің өндірістік емес тұтыну мөлшерін қою арқылы былай жазуға болады:
![]()
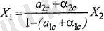
Осыдан алатынымыз:
10- ересек және
өрнегінен
шағады
Бұдан
Мынаныанықтау қиын емес
Жай ұдайы өндіріс формуласы кеңейтілген ұдайы өндіріс формуласының жеке жағдайы екенің байқаймыз. Ол үшін және формулаларындағы қорланым коэфиценттеін нөлге теңестіру жеткілікті. Көпсалалы ұдайы өндіріс тәсімі
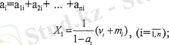
N саланы шаруашылық жағдайдағы ұдайы өндіріс үрдісінің кибернетикалық талдамын жасаймыз. Өнімнің шығын-шығарылым кестесі (салааралық ағындар кестесі) мына түрге ие:
Бұл кестеде жеке салалардын жалпы өнімдерінің құны; і саласынан j саласына өндіріс құрал-жабдықтарынын салааралық ағынының құндық шамалары; жеке салалардың түпкілі өнімдері; жұмыс күшінің шығыны; шаруашылықтын жеке салаларында өнделген қосымша өнімнің құны.
Салааралық ағындар кестесі негізінде кестенің жолдарын қосу арқылы өнімнің үлестеруінің келесі баланстық теңдеуін аламыз:
![]()
және кестенің бағаны бойынша қосып өнім шығындарының баланстық теңдеуін аламыз:
екенін аламыз, яғни Маркс тәсіміндегі сияқты тендік аламыз.
Оң жақтары теңестірсек, Маркс келтірген ұдайы өндіріс үрдісінің тепе-тендік теңдеуіне ұқсас салааралық ағывдардың тепе-тендік тендеулері шығады.
![]()
Одан әрі ықшамдау үшін өндіріс құрал-жабдықтары шығынының коэффициентін енгіземіз
![]()
және (15) шығын балансын жазамыз
Бұдан
деп белгілесек, онда
Өнімді үлестірудің баланстық теңдеуі оларға шығын коэффициенттерін қойғаннан кейін мына түрге келеді:
немесе
Өнімді үлестіру мен шығынның баланстық теңдеуінің матрицалық нысаны
Шығындар коэффициенттерін пайдаланып, салааралық ағындар кестесін былай жазуға болады:
теңдеулер жүйесінен:
мұнда
А - өндіріс құрал-жабдықгарының шығын коэффициенттерінің матрицасы,
х - жалпы өнімдер векторы,
у - түпкілікті өнімдер векторы, яғни
Мұндағы 1- бірлік матрица. (1-А) матрицасы салааралық баланс теориясында Леонтьев матрицасы деп аталады.
- өнім үшін шығындары балансының теңдеуі үшін
x-Ax+(v+m)
немесе
x-(I-A) +(v+m)
I-A-(I-A) екенің байқаймыз
ІІІ. Қоғамдағы ұдайы өндірісті талдау.
3. 1Ұлғаймалы ұдайы өндірістің типі мен көрсеткіштері
Жай және ұлғаймалы ұдайы ондірісті қарастыра отырып мынаны байқаймыз: экономиканың кез-келген түрінде ұлғаймалы ұдайы өндіріс процесі артығырақ кездеседі. Мұнда өндіріс үлкен ауқымда және сапалық жаңа түрде тұрақты жаңара түседі. Ұлғаймалы ұдайы өндіріс екі типте болады: экстенсивті және интенсивті. Экстенсивті ұлғаймалы ұдайы өндіріс бұрынғы техникалық негіздегі өндіріске қосымша еңбек пен материалдык. - заттай ресурстарды қосу арқылы жүзеге асады, бірақ жұмыскерлердің біліктілік деңгейі бұрынғыша қалады.
Өндіріс ауқымын қарқындату жұмыс істейтіндер санының осу, жұмыс күшін ұлғайту, жаңа жерді игеру есебінен жүзеге асады және косымша шикізат пен материалды қолдануды қажет етеді. Бұл ұдайы өндірістін қорды сыйымдау және ресурсты сыйымдау түрі болып табылады. Ол қоғамдағы ресурстардың шектеулігін үнемі алдыңға тартады, сондықтан оны қолданудың келешегі жоқ десе болады.
Ұлғаймалы ұдайы өндірістің интенсивті түрі принципті тұрғыдан мүлде өзгеше болмақ. Экстенсивтіге қарағанда, интенсивті түрінде өндіріс өте тиімдірек, техникалық жағынан жетілген өндіріс құрал-жабдығымен және кәдімгедей білікті кадрларды қолдану арқасында жүзеге асады. Бұл кезде өндіріс көлемінің өсуі ресурстың ұлғайуын талап етпейді.
Нақты өмірде интенсивті және экстенсивті факторлар бірін-бірі толықтыра отырып үнемі белгілі үйлестікте болады.
Интенсивті ұлғаймалы ұдайы өндірісте өте өнімде техника мен технология қолданылады, сондықтан жұмыс күшіне деген тұтыныс қысқарады, бірақ оның біліктілік деңгейі мен сапасына талап күшейеді.
АҚШ-да жеке кәсіпорындардың жұмыскерлер біліктілігін котеру мен оқытуға жыл сайынғы шығыны 30 млрд. долл. асады және бұл жоғарғы білімге кететін барлық федералдық шығындармен парапар. Нәтижесіндс азақ жұмысшылармен өскен өнімді арты ғырақ өндіру жүзеге асады.
Ұдайы өндірістің интенсивті жолы жұмыс күшінің бір болігін босатады, сейтіп олар халық шаруашылығының басқа саласында колданыс табады.
Сондықтан да ұдайы өндірістің интенсивті жолы тауар мен қызмет көрсету өндірісі саласының және материалдық емес игіліктер (білім, денсаулық сақтау, мәдениет және т. б. ) саласының ашылуына кең мүмкіндіктер жасайды. Қоғамдык өндірісті интенсификациялау материалдык өндіріс пен қызмет көрсету саласымен шектелмей, сонымен қатар материалдық емес игіліктер мен кызмет көрсету саласын да қамтиды. Бір сезбен айтар болсақ, интенсификация кең мағынада кешенді сипатқа ие болады және қоғамдық ұдайы өндірістің барлық фазаларына: өндіріс, бөліс, айырбас, тұтынысқа таратылады.
Интенсификацияның ірі резервтері - өндірістік тұтыну және өндірістік емес сала мен тұрмыста ресурстарды үнемдеу болмақ. Ұдайы өндірістің интенсивті типы көптеген түрлер мен бағыттарда жүзеге асады. Оларды қамтамасыз ету үшін мыналар қажет:
- техниканы жаңалау мен өндірісті модернизациялау;
- ресурстарды дұрыс қолдану және үнемдеу;
- өндірістің салалық құрылымындағы прогрессивтік қозғалыстар;
- кадр біліктілігін көтеру және оны үнемдеу;
- еңбек тәртіптілігін күшейту, еңбекке мотивацияны күшейту;
- табиғатты қорғау шаралары;
Игіліктің жоғары пайдалылығы, егер әлеуметтік институттар мен заң тарапынан бөгет болмаса, объектінің нарықтық айналысқа өтуіне кепілдік береді.
Жалпы, коммуналдық меншікті қоғамдық ұдайы өндіріс процесі кезеңдеріндегі экономикалық қатынастар тұрғысынан талдау оны экономикалық категория ретінде мойындауға, оның саяси-экономикалық табиғатын ашуға негіз болды.
3. 2Комуналдық меншік ұдайы өндіріс процесі жүйесінде
Коммуналдық меншік жалпы-халықтық немесе қоғамдық меншіктің құрамдас бөлігі ретінде аймақтық ұдайы өндіріс жүйесінде, сонымен бірге жалпы макроэкономикалық құрылым деңгейінде де әрекет етеді. Дегенмен коммуналдық меншіктің басты ерекшелігі, оның жергілікті шаруашылықтың жұмыс істеунің экономикалық негізі, коммуналдық құрылым деңгейіндегі ұдайы өндірістік қатынастардың объектісі ретінде болуы. Осы тұрғыдан алғанда коммуналдық меншік белгілі бір әкімшілік-аумақтық құрылым деңгейіндегі объектілерді бірлесе иемдену, пайдалану және иелік етуге байланысты, бір жағынан, жергілікті құрылымның экономикалық субъектілерінің арасындағы, екінші жағынан, сол субъектілердің мемлекеттік деңгей-дегі субъектілермен қатынасын сипаттайды.
... жалғасы- Іс жүргізу
- Автоматтандыру, Техника
- Алғашқы әскери дайындық
- Астрономия
- Ауыл шаруашылығы
- Банк ісі
- Бизнесті бағалау
- Биология
- Бухгалтерлік іс
- Валеология
- Ветеринария
- География
- Геология, Геофизика, Геодезия
- Дін
- Ет, сүт, шарап өнімдері
- Жалпы тарих
- Жер кадастрі, Жылжымайтын мүлік
- Журналистика
- Информатика
- Кеден ісі
- Маркетинг
- Математика, Геометрия
- Медицина
- Мемлекеттік басқару
- Менеджмент
- Мұнай, Газ
- Мұрағат ісі
- Мәдениеттану
- ОБЖ (Основы безопасности жизнедеятельности)
- Педагогика
- Полиграфия
- Психология
- Салық
- Саясаттану
- Сақтандыру
- Сертификаттау, стандарттау
- Социология, Демография
- Спорт
- Статистика
- Тілтану, Филология
- Тарихи тұлғалар
- Тау-кен ісі
- Транспорт
- Туризм
- Физика
- Философия
- Халықаралық қатынастар
- Химия
- Экология, Қоршаған ортаны қорғау
- Экономика
- Экономикалық география
- Электротехника
- Қазақстан тарихы
- Қаржы
- Құрылыс
- Құқық, Криминалистика
- Әдебиет
- Өнер, музыка
- Өнеркәсіп, Өндіріс
Қазақ тілінде жазылған рефераттар, курстық жұмыстар, дипломдық жұмыстар бойынша біздің қор #1 болып табылады.

Ақпарат
Қосымша
Email: info@stud.kz