Электр тізбектеріндегі резонанс


Инженерлік экономикалық кафедрасы
“Электр тізбектеріндегі резонанс”
Орындаған:
Тексерген
Кіріспе . . . 3
- Параллель контурдағы резонанс . . . 4
- Активті және реактивті кедергіліерді параллель қосқанда байқалатын токтардың резонансы . . . 5
Курстық жұмысымның есебі . . . 8
Қорытынды . . . 13
Кіріспе
Электр энергиясын қолдану бізге барлық іс-әрекеттерді жақсартуға өнеркәсіпке жаңа автоматтандырылған технологиялық процесстер енгізіп жаңа мүмкіншіліктерді берді. Ауыл шаруашылығында жаңа қажеттіліктерде құрылған технологиялар нақты өнім түрін жылдам және жеңіл түрде тудыратын болды. Электр энериясы өмірдің барлық салаларында соншалықты кең таралуының басты себебінің бірі - электромагниттік энергияны өте аз шығынмен алыс қашықтыққа беру және оны энергияның басқа да түрлеріне: механикалық, жарық, жылу, химиялық және т. б. түрлендіру ыңғайлы.
“ Электротехниканың теориялық негіздері ” курсының пәні деп, тізбектер мен өрістердегі өтетін электромагниттік процестерді сандық және сапалық жағынан оқып үйренуді айтады. Физика және жоғары математика курстарына негізделген бұл курс, осы заманғы электротехникалық құрылымдардың әртүрлі кең кластарына қолданылатын инженерлік есптеулер және талдау әдістеріне толы болады. Сонымен қатар ЭТН өндіріске қажетті болашақ мамндардың электротехника мен радиотехникадан ғылыми көзқарастарының қалыптасып жетілуінде аса маңызды рөл атқарады және бұл курсқа арнай электротехникалық және радиотехникалық пәндер негізделеді.
ЭТН курсында электрлік және магниттік құбылыстарды екі тәсілмен сипаттап жазу қолданады. Оның бірі тізбектер теориясы, ал екіншісі өріс теориясы.
Тізбектер теориясында нақты электротехникалық құрылымдарды жобамен идеялизацияланған схемалармен ауыстыру қолданылады. Бұл схема анықталуға тиісті кернеулер және токтары бар тізбектің бөліктерінен тұрады. Инженерлік практикада, тізбектер теориясы аралық токтар арасындағыкернеуді есептеуге жүгінбей-ақ, қарастырылып отырған тізбектің бөлігінің ұштарының арасындағы кернеуді тікелей дәл анықтауға мүмкіндікбереді. Токтарды өткігіштің қимасының әр түрлі нүктелеріндегі оның тығыздықтарын ещқандай есептеусіз-ақ анықтайды.
Өріс теориясы кеңістік пен уақыттағы нүктеден нүктеге дейінгі электрлік және магниттік шамалардың өзгерісін зерттейді. Ол электрлік және магниттік өрістердің кернеуліктерін электр энергиясының сәуле шығарумен, көлемдік зарядтың таралуы, токтардың тығыздықтары және т. б. зерттеумен шұғылданады.
Электр тізбегі деп - электр тогын тудыратын құралдар мен обьектілер жиыны, ЭҚК тогы және кернеуі туралы түсінік көрсететін электромагниттік процесстер. Тұрақты ток тізбегін, қазіргі техникадағы өз бағытын өзгертпейтін яғни ЭҚК көз полярлығы әр уақытта тұрақты тізбегін айтамыз.
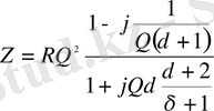
1. Параллель контурдағы резонанс
Екі тармақты параллельді тізбекті қарастырайық: біреуінің параметрлері - r 1 кедергісі және l индуктивтілігі, ал екіншісінікі - r 2 кедергісі және C сыйымдылығы (1-сурет) .
1-сурет
Мұндай тізбекті көбінесе параллельді контур деп атайды. Резонанс байқалады, егер кіретін өткізгіштікте
реактивті құраушысы
(1)
және
- тармақтың реактивті өткізгіштері.
b 2 = -b 1 болғанда фаза бойынша қарама-қарсы тоқтардың реактивті құраушылары тең. Сондықтан қарастырып отырған тізбектегі резонанс тоқтар резонансы атына ие болды.
Тізбектің параметрі және жиілігі арқылы көрсетілген b 1 және b 2 мәндерін (1) -ге қойсақ, мынаны аламыз:
(2)
( w, L, C, r 1 , r 2 ) мөлшерлерінің бәреуін өзгертумен қалған төрт тұрақтыға резонанс әрқашан жетпеуі мүмкін. Егер өзгеретін мөлшердің мәні теңдеуден анықталғанда комплексті болса, резонанс болмайды.
w -ға байланысты теңдеуді шешіп, резонанстың бұрыштық жиілігінің келесі мәндерін табамыз:
(3) 5. 14
Егер r 1 және r 2 кедергілері ρ-ден үлкен не кіші болса, резонанс болуы мүмкін.
r
1
= r
2
≠ ρ
болғанда резонанс жиілігі
.
r
1
= r
2
= ρ
болғанда резонанс жиілігі
кез-келген мәнді қабылдайды.
Радиотехника мен электробайланысты аз жоғалтуы бар контурлар жиі қолданылады, яғни мұнда r 1 және r 2 ρ -ға қарағанда кіші. Мұндай жағдайда резонанс жиілігін мына формуламен анықтауға болады:
2. Активті және реактивті кедергіліерді параллель қосқанда байқалатын токтардың резонансы
Токтардың резонансын зерттеудің ыңғайлы жолы R, L және C -элементтері параллель қосылған электр тізбегін қарастыру (2-сурет) . Мұндай тізбектің өткізгіштік комплексі
(4)
а) ә)
2-сурет 3-сурет
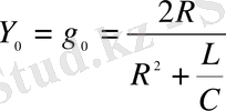
Резонанстық тізбектің төзімділігі
Тізбектің қысқыштарына U -кернеуі берілген жағдайда қоректендіру көзімен келетін ток мынаған тең болады:
Токтардың резонансы кезінде жұмсалатын токтың, керенулердің резонансы кезіндегі токпен салыстырғандағы ерекшелігі, оның шамасы минимал болады, демек
Мұны тікелей Ом заңынан да шығарып алуға болады:
,
себебі: b L =b C .
Енді I 0 мен I -дің қатынасын анықтайық, сонда
Токтардың резонансы болған жағдайда 2-суреттегі схемадағы индуктивтік және сыйымдылық элементтеріндегі токтар шама жағынан бір-біріне тең болғанмен таңбалары қарама-қарсы болады:
Бұл алынған өрнек, қарастырылып отырған тізбектің төзімділігінің, L және С -тағы токтардың I 0 -тогына қатынасының еселі екенін көрсетеді.
Q >1 артық болғанда, бұл токтар I 0 -ден артып кетеді.
Егер параллель тербелмелі контур ішкі кедергісі R i болатын ток көзінен қоректенсе, және R -кедергісіне параллель қосылатын R i -кедергісі неғұрлым аз болса, онда соғұрлым төзімділікте аз, ал контурдың өткізу жолағы енді болады. Сондықтан, тізбектік тербелмелі контурдағы өткізгіштік жолағын қысқарту жөніндегі көзқараспен қарағанда, ішкі кедергісі өте үлкен ток көзінен тұратын, параллель тербелмелі контур тиімді.
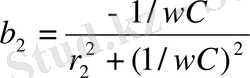
2-суреттегі схема (идеал деп алынған) L және С- тармақтарындағы активтік шығынды еске алмайды. Сондықтан L және С -тармақтарындағы активтік кедергіні ескеретін бұдан басқа схеманы қарастырамыз (3, а және ә) .
3, а-суретіндегі схема үшін токтар резонансының шартын реактивтік өткізгіштердің тепе-теңдігі түрінде қараймыз:
, (5)
осыдан
. (6)
Егер (6) теңдеуіндегі түбір астындағы өрнек оң таңбалы болса, яғни
және
шамаларының таңбалары бірдей болса, онда осы жағдайда резонанс құбылысы байқалуы мүмкін. Егер
болса, онда тізбек кез-келген жиілікте резонанстық режимде болады.
4-суретте 3, а-суретіндегі тізбектегі токтардың резонансы кезіндегі векторлық диаграмма көрсетілген. Индуктивтік және реактивтік тармақтардағы токтар активтік
және реактивтік
құраушыларының қосындыларынан тұрады. Демек,
.
4-сурет
R
1
және
R
2
-кедергілері неғұрлым кедергілері неғұрлым
және
-дан кіші болған сайын
мен
-ның арасындағы фазалық ығысу 180
0
-ге жақын болады. Бұл кезде тармақтардағы токтар, тербеліс контурын тұйықтайтындай, бір ғана контурлық токты түзеді
.
Резонанс кезінде барлық тізбекте тек қана активтік өткізгіштік болады
,
бұдан (5) өрнегін ескергенде
.
Аз шығынды тербелмелі контур үшін
пен салыстырғанда
қосылғышын ескермеуге болады және
деп есептейміз. Бұл жағдайда тербелмелі контурдың өткізгіштігі практикада кеңінен пайдаланатын радиотехникалық есепті шығаруға қажетті өрнекке жақындайды.
.
болғанда, ол (6) өрнегіне сәйкес
және
.
Сонымен қатар, егер
болса, онда кез-келген жиілікте (мұндай тізбектегі резонансты “байыпсыз” резонанс деп атайды)
-шамасына тең болады.
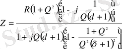
Резонанс жағдайында тізбектің екі параллель тармақтарында (3-сурет)
шарты орындалады. Ол үшін (5) теңдігінің екі жағын да
-қа көбейтсе жеткілікті.
Жоғарыда біз, R, L және С параллель қосылған схемада (2-сурет), резонанстық жиілікте, тізбектің толық өткізгіштігі минималь болады дегенбіз.
3, ә-суретіндегі схема үшін жиілік w -ны немесе индуктивтік L -ді өзгерткеннен тізбектің минималь толық өткізгіштігіне, сол сияқты минималь жалпы тогына, резонанстық жиілікте жетуге болмайтындығын оңай көрсетуге болады. Ал сыйымдылық С айнымалы параметр болған жағдайда, тізбектің толық өткізгіштігі мен жалпы тогының минималь болуы, токтардың резонансы кезінде байқалады.
3, а-суретіндегі параллель тербелмелі контурдың төзімділігі мынадай болады:
,
бірақ,
,
осыдан
,
мұндағы резонанстың жиілік w 0 жоғарыда келтірілген (6) өрнегі арқылы анықталады.
Көбіне тармақтағы сыйымдылық пен R 2 -кедергіні ескермейді. Сонда теңдеу әжептәуір ықшамдалады.
Осы жағдайды қарастырайық (3, ә-сурет) .
(6) өрнегіне сәйкес осындай контурдың резонанстық жиілігі
, (7)
ал тізбектің төзімділігі жоғарыда алынған өрнекке сәйкес
(8)
Егер
<0. 1 болса, онда резонанстық жиіліктердің айырымы 1% -дан аспайды. Сонымен қатар, (7) өрнегіне қарағанда, 3, ә суретіндегі схемадағы токтардың резонансының байқалуы тек
<1 -ден болғанда өтеді.
Тербелмелі контурдың жалпы кедергісі (3, ә-суреті) :
.
(7) және (8) қатыстарының негізінде мынаны алуға болады:
Қатыстарды еске ала отырып
;
.
Тербелмелі контурдың кедергісі үшін өрнек аламыз:
(9)
Резонанстық жиілікте (
δ=0
)
.
Q 2 -шамасы бірмен салыстырғанда жеткілікті мөлшерде үлкен болса, онда (9) өрнегі ықшамдалады:
Резонанс режиміне жақын жағдайда, δ бірден өлшеусіз кіші болғанда, алынған өрнек жуықталып былай жазылады:
Тербелмелі контурдың өте жоғары төзімділігінде
Сонда тармақтардағы токтар мынадай болады:
(10)
Мұндағы I -тізбекке кіретін ток.
Тізбектің қысқыштарындағы U -кернеуі I -тогымен төмендегідей байланыста болады:
2-суреттегі схемада резонанс кезінде тізбектің қысқыштарындағы лездік қуат R -кедергісіне жұмсалатын лездік қуатқа тең болады. Ал 3-суреттегі схемадағы екі параллель тармақты тізбектің қысқыштарындағы лездік қуат оның тармақтарындағы кедергілерге жұмсалатын лездік қуаттан айрықша болады. Мысалы, тізбекке кіретін ток, нөлдік мән арқылы өткенде, тізбектің қысқыштарындағы лездік қуат нөлге тең; бұл кезде тармақтағы токтар нөлден айрықша, тізбектегі жалпы токпен салыстырғанда фазалары ығысқан болады, сондықтан да тармақтардағы кедергілерді жұмсалатын лездік қуатта нөлге тең болмайды. Мұның түсіндірілуі былай: 3, а-суреттеріндегі реактивтік элементтердің жинаған энергиясы уақыт өткен сайын периодты түрде жылулық энергияға айналады (тармақтардың кедергісінде), сонан соң энергия көзінің есебінен қайтадан толықтырылады.
Қорыта келгенде біз, жоғарыда айтылғандардан мынадай дербес жағдайға көңіл аударуымызға тура келеді:
1)
болғанда (6) өрнегін біз жалпы түрде былай жазамыз:
, мұндағы
; демек, бұл тізбектегі
w
-резонанстық жиілігінің
L
және
С
тізбектей немесе параллель қосылғандағы
w
0
-резонанстық жиілігінен айырмашылығы болады;
2)
болғанда, жиілік
;
3)
болғанда,
, яғни резонанс кез-келген жиілікте болады;
4)
немесе
болғанда, резонанстың жиілігі минималь болады, бұл тізбекте резонанстың болуы мүмкін емес деген сөз.
Мысал
3, а-суретіндегі схемада R 1 =30 Ом; wL=40 Ом; R 2 =0; w=10 3 рад/с. Схемадағы конденсатордың сыйымдылығы қандай болғанда, токтардың резонансы байқалады?
Шешуі: (5) өрнегіне сүйеніп, мынадай теңдік жазамыз
Есептің қойылымы
- Іс жүргізу
- Автоматтандыру, Техника
- Алғашқы әскери дайындық
- Астрономия
- Ауыл шаруашылығы
- Банк ісі
- Бизнесті бағалау
- Биология
- Бухгалтерлік іс
- Валеология
- Ветеринария
- География
- Геология, Геофизика, Геодезия
- Дін
- Ет, сүт, шарап өнімдері
- Жалпы тарих
- Жер кадастрі, Жылжымайтын мүлік
- Журналистика
- Информатика
- Кеден ісі
- Маркетинг
- Математика, Геометрия
- Медицина
- Мемлекеттік басқару
- Менеджмент
- Мұнай, Газ
- Мұрағат ісі
- Мәдениеттану
- ОБЖ (Основы безопасности жизнедеятельности)
- Педагогика
- Полиграфия
- Психология
- Салық
- Саясаттану
- Сақтандыру
- Сертификаттау, стандарттау
- Социология, Демография
- Спорт
- Статистика
- Тілтану, Филология
- Тарихи тұлғалар
- Тау-кен ісі
- Транспорт
- Туризм
- Физика
- Философия
- Халықаралық қатынастар
- Химия
- Экология, Қоршаған ортаны қорғау
- Экономика
- Экономикалық география
- Электротехника
- Қазақстан тарихы
- Қаржы
- Құрылыс
- Құқық, Криминалистика
- Әдебиет
- Өнер, музыка
- Өнеркәсіп, Өндіріс
Қазақ тілінде жазылған рефераттар, курстық жұмыстар, дипломдық жұмыстар бойынша біздің қор #1 болып табылады.

Ақпарат
Қосымша
Email: info@stud.kz