Өсіңкілік қатарлар туралы түсінік және оның түрлері


ӨСІҢКІЛІК ҚАТАРЛАР ТУРАЛЫ ТҮСІНІК ЖӘНЕ
ОНЫҢ ТҮРЛЕРІ
Жоспар
КІРІСПЕ . . . 3
1. 1. 1. ӨСІҢКІЛІК ҚАТАРЛАР ТУРАЛЫ ТҮСІНІК ЖӘНЕ
ОНЫҢ ТҮРЛЕРІ . . . 4
2. 2. 1. ӨСІҢКІЛІК ҚАТАРЛАРДЫ НЕГІЗГІ
КӨРСЕТКІШТЕРІ БОЙЫНША ЕСЕПТЕУ ТӘСІЛДЕРІ . . . 10
3. 3. 1. Динамикалық қатардың талдау әдістері . . . 18
ҚОРЫТЫНДЫ . . . 22
ҚОЛДАНЫЛҒАН ӘДЕБИЕТТЕР ТІЗІМІ . . . 23
КІРІСПЕ
Статистика - бұл жан-жақты да, күрделі қоғамдық ғылым. Оның өзі бірнеше бөлімдерге бөлінеді. Оған жататындар мыналар: статистиканың жалпы теориясы, ол статистиканың жалпы принциптері мен әдістерін қарастырады; әлуметтік-экономикалық статистика - мұнда халық шаруашылығы көрсеткіштерінің жүйесін, оның құрылымы мен пропорциясын, қоғамдық ұдайы өндіріс салалары мен элементтердің өзара байланысын зерттейді: салалық статистикалар - өнеркәсіп, ауыл шаруашылығы, құрылыс, көлік, байланыс, сауда, қаржы, еңбек, демография және т. б. болып бөлінеді. Соңғы кезде өмір салтын, әлеуметтік қарым-қатынастың әр алуан саласын сипаттайтын және оның көрсеткішер жүйесін зерттейтін әлеуметтік статистика қалыптасты. Осы аталғандардың ішіндегі негізгі бір бөлігі болып саналатыны - статистиканың жалпы теориясы.
Қоғамдық құбылыстар мен процестер әрқашанда даму үстінде болады, сол себепті әрдайым өзгеріп отырады. Мысалы, халықтың саны мен онын, құрамы, өндірілген өнімнің көлемі, еңбек өнімділігі, орташа еңбекақы мөлшері және т. б. кәрсеткіштер уақытқа байланысты өзгермелі болады. Сондықтан статистиканың алдына қойған басты міндетгерінің бірі -республика өміріндегі құбылыстар мен процестердің уақытқа сәйкес өзгеруін зерттеу болып табылады. Оны динамикалық қатарлардың көрсеткіштеріне талдау жасау арқылы жүзеге асырылады.
Әлеуметтік-экономикалық құбылыстардың динамикасын зерттеу, талдау барысында бірнеше статисгикалық, көрсеткіштер колданылады. Олардың көпшілігі нақты (абсолюттік) немесе қатысты шамамен беріледі және осы көрсеткіштер арқылы белгілі бір уақыт аралығында болған жағдайларға қорытынды жасауға толық мүмкіндік туады.
Мақсаты: ЖШС "ҚазГерМұнай" біріккен кәсіпорнының жағдайын, берілген мәліметтер бойынша өзгеруін (динамикасын) динамикалық қатардың әдістерін қолдану негізінде талдау жасау.
1. 1. ӨСІҢКІЛІК ҚАТАРЛАР ТУРАЛЫ ТҮСІНІК ЖӘНЕ
ОНЫҢ ТҮРЛЕРІ
Қоғамдық құбылыстар мен процестер әрқашан да даму үстінде болады, сол себепті әрдайым өзгеріп отырады. Мысалы, халықтың саны мен оның құрамы, өндірілген өнімнің көлемі, еңбек өнімділігі, орташа еңбекақы мөлшері және т. б. көрсеткіштер уақытқа байланысты өзгермелі болады. Сондықтан статистиканың алдына қойған басты міндеттерінің бірі - республика өміріндегі құбылыстар мен процестердің уақытқа сәйкес өзгеруін зерттеу болып табылады. Оны өсіңкілік қатарлырдың көрсеткіштеріне талдау жасау арқылы жүзеге асырылады.
Өсіңкілік қатарлар деп статистикалық көрсеткіштердің, яғни құбылыстардың, процестердің уақытқа қарай өзгеруін сипаттайтын сандық мәндер тізбегін айтады. Әлеуметтік - экономикалық құбылыстардың уақытқа қарай өзгеруін зерттеуде статистикалық өсіңкілік қатардың атқаратын рөлі өте жоғары. Себебі, осы көрсеткіштер арқылы қоғам өміріндегі құбылыстардың даму, өзгеру процесін талдауға, санауға және негізгі бір қортынды жасауға болады. Сонымен, статистика органдарында және мемлекетіміздің басқару орындарында өсіңкілік қатарлар көрсеткіштері кеңінен қолданылады және даму немесе кему процестерінің заңдылығы толығымен зерттеледі.
Өсіңкілік қатарлар негізгі екі бөліктен (элементтен) тұрады. Біріншісі - қатардың дәрежесі, екішісі - уақыт көрсеткіші, белгісі.
Қоғамдық құбылыстар мен процестердің шамасын, мөлшерін сипаттайтын көрсеткіштің белгілі бір уақыттағы әрбір сандық мәнін қатардың дәрежесі деп атайды.
Құбылыстар мен процестер болып өткен уақытының мерзіміне қарай, өсіңкілік қатарлар бір мезгілді және уақыт аралықты болып екі түрге бөлінеді.
Бір мезгілді өсіңкілік қатардың нақты сандық шамалары құбылыстың белгілі бір сәттегі, яғни тәуліктің, айдың, жылдың басында немесе аяғында болған жағдайын сипаттайды. Мысалы, әр айдың басындағы жұмысшылардың орташа тізімдік саны төменгідей (адам санымен) дейік:
І/І І/ІІ І/ІІІ І/ІV
2180 2190 2198 2178 және т. б.
Бұл берілген көрсеткіштер бір мезгілді өсіңкілік қатар болып саналады және осы арқылы белгілі бір қортынды жасауға болмайды. Себебі әр айдың бірінші жұлдызындағы көрсеткіштер тек сол күнгі жағдайды ғана көрсетеді де, ал келесі күндері ол санның шамасы өзгеріп кетеді. Сондықтан мезгілдік қатардың көрсеткіштерін бір-біріне өзара қосуға болмайды, ал егер қосатын болсақ, онда оның ешқандай да экономикалық мәні болмайды. Егер осы көрсеткіштерді бір-бірінен алатын болсақ, онда қалдықтың әр айдың аяғына азайғандығын немесе көбейгендігін көрсететін белгілі бір экономикалық мәні бар сандық көсеткіштер алынады. Мысалы, екі ай аралығында, яғни қаңтар мен ақпан айларындағы жұмысшылардың орташа тізімдік саны 10 адамға көбейген (2190-2180=10) .
Уақыт аралықта өсіңкілік қатарлар деп құбылыс мөлшерінің белгілі бір уақыт (тәулік, ай, тоқсан және жыл) ішінде қандай шамада болғанын сипаттайтын көрсеткіштерді айтады. Оған мысал ретінде 1. 1. -кестенің көрсеткіштерін келтірійік:
1. 1. -кесте
Қазақстан бойынша мұнай өндіру,
Мың тонна
Уақыт аралықта өсіңкілік қатардың көрсеткіштерін бір-біріне қосып, ұзақ уақыт аралығындағы қортынды көрсеткіштерді есептеуге болады, оны статистикада “жинақталған жиынтық” деп атайды.
Өсіңкілік қатарлар уақыт мерзіміне және онда көрсетілген көрсеткіштерге байланысты толық және толық емес болып екіге бөлінеді.
Егер өсіңкілік қатардың көрсеткіштері уақыт мерзіміне қарай бірінен соң бірі үзіліссіз келетін болса, онда ол толық өсіңкілік қатарға жатқызылады. Бұған мысал ретінде 1. 1. - кестеде келтірілген көрсеткіштерді алуға болады.
Егер өсіңкілік қатардың көрсеткіщтері уақыт мерзіміне қарай әр түрлі аралықта берілсе, яғни әр түрлі уақыт мөлшері арқылы сипатталатын болса, онда оны толық емес өсіңкілік қатарлар деп атайды. Бұған мысал ретінде 1. 2. -кестедегі 1985-1990 жылдар аралығындағы көрсеткіштерді айтуға болады.
Экономикалық құбылыстардың өзгеру процестерін зерттеу, талдау және есептеу кезінде бірнеше статистикалық көрсеткіштер қолданылады. Бұл көрсеткіштер нақты (абсолютті), қатысты және орташа шамалармен сипатталады.
Осыған орай өсіңкілік қатарлар нақты (абсолютті), қатысты және орташа шамалар болып үшке бөлінеді.
Нақты (абсолютті) шамалар өсіңкілік қатардың дәрежесі ретінде әрбір уақыт мерзіміне байланысты оның қалай өзгергендігін көрсетеді. Нақты шамалы өсіңкілік қатарға мысал ретінде жоғарыда көрсетілген көрсеткіштерді алуға болады.
Қатысты шамалы өсіңкілік қатар екі уақыттың нақты шамаларын бір-бірімен салыстыру арқылы пайда болады, яғни әлеуметтік - экономикалық құбылыстардың уақытқа қарай өзгеруін сипаттайтын сандар тізбегін айқындайды. Ал ол өсу, кему қарқыны ретінде процентпен өлшенеді. Қатысты шамалы өсіңкілік қатарды көрсету үшін 1. 2. -кестенің көрсеткіштерін келтірейік:
1. 2. -кесте
Алматы облысы бойынша өнеркәсіп өнімдерін өндіру
өнеркәсіп өнімдері
(1985-жылмен
салыстырғанда,
процент есебімен)
Берілген көрсеткіштерден соңғы жылдары Алматы облысы бойынша өнеркәсіп өнімдерін өндірудің күрт төмендеп кеткендігі жөнінде қысқаша қорытынды жасауға болады. Себебі шикізаттар мен құрал - жабдықтардың, қосалқы бөлшектердің жетіспеушілігіне, электр қуатының қымбаттауына, тағы да сол сияқты көптеген жағдайларға байланысты бірталай өнеркәсіп орындары толығымен жұмысын тоқтатқан, я болмаса аз мөлшерде өнім шығаруға көшкен.
Орташа шамалы өсіңкілік қатарлар деп қоғамдық құбылыстар мен процестердің белгілі бір белгісі бойынша уақыт мөлшеріне қарай сандық көрсеткіштерінің орташа өзгеруін сипаттауды айтады. Бұған мысал ретінде республика бойынша бір сиырдан сауылған сүттің орташа мөлшері туралы көрсеткіштерді алуға болады (1. 3. -кесте) :
1. 3. -кесте
Республика бойынша бір сиырдан сауылған сүттің орташа
мөлшері
Бір сиырдан
орташа сауылған сүт, кг есебімен
Демек, осы берілген көрсеткіштерді біртектес жиынтық бірліктерінің орта есеппен алынатын белгісінің осы уақыт ішіндегі барлық бірліктерге тән орташа мөлшері деп түсінейік, ал бұл мәліметтер түрлі себептерге байланысты әрқашан өзгеріп отырады.
Өсіңкілік қатарларды зерттеу және талдау кезінде оның
дұрыс кұрылғандығын, сандық көрсеткіштерінің (дәрежелерініңің) дәлдікті, нақтылықты көрсететіндігін білу кейбір шарттардың орындалуын талап етеді. Соның ішіндегі ең негізгісі болып саиалатыны - өсіңкілік катарлар дәрежелерінің. бір-бірімен салыстырмалы болуы. Себебі өсіңкілік қатарларды қарастырған кезде үзақ уақыт араларындағы көрсеткіштер алы-иады және оларға әр түрлі себеатердің әсер етуіне байланысты көптеген өзгерістердің болуы мүмкін. Мұндай жағдайда өсіңкілік қатарлар көрсеткіштерін бір-бірімен салыстыруға келмейді. Ал оның себебі мыналар: аумақтың езгеруі, әр турлі өлшем бірліктерінің қолданылуы, зерітелінетін
зерзат көлемдерінің, мәлшерлерінің қамтылу дәрежелерінің әр түрлі болуы, есептеу әдістемелерін колданудағы өзгешеліктер және т. б.
Аумақтың өзгеруіне байланысты өсіңкілік қатарлар көрсеткіштерін бір-бірімен салыстыруға болмайды. Олардың салыстырмалы болуы үшін алдыңгы, яғни базалық уақыттағы катарлар дәрежесі аумақтың өзгергеннен кейінгі жаңа шекарасы бойынша қайта есептелініп, бір жүйеге келтірілуі тиіс. Мысалы, бір обылыстан екінші облысқа аудан немесе елді мекен берілетін болса, онда екі облыстың барлық статистикалық кәрсеткіштері жаңа шекара бойынша қайта есептеледі.
Кейбір жағдайда біртектес өсіңкілік қатарлардын дәрежесі әр түрлі өлшем бірліктерімеи берілуіне байланысты, олардың көрсеткіштерін бір-бірімен салыстыруға келмейді. Мысалы, бір сиырдан орташа сауылған сүт бірде литрмен, бірде киломен беріледі делік. Мұндай жағдайда барлық уақыттағы катарлар дәрежесін кайта есептеу арқылы салыстыруға келетіндей етіп, бір өлшем бірлігіпе айналдырылады.
Өсіңкілік катарлар дәрежесін дұрыс қүру үшін ондагы көрсетілетін көрсеткіштердің уақытына қарай белгі-бірліктерінің бірдей болуы қажет. Мысалы, жоғары оқу орындарында оқитын студенттердін. сандық көрсеткіштерінің өсіңкілігін зерттеу керек болатын болса, онда бірінші жылы күндізгі бөлімде оқитындардың сандық мәнін алып, екінші жылы барлық бөлімдерде оқитын студеттердің сандық көрсеткіштерін алып, бір-бірімен салыстыруға болмайды. Демек бұл кәрсеткіштердің салыстырмалы болуы үішн барлық аралықтары қамтылу к Ө р, сеткіштерінің толықтығы бірдей болуы тиіс. Тек сонда ғана қатар дәрежелерін салыстыруға болады.
Өсіңкілік қатарлар көрсеткіштерін бір-бірімен салыстыруға келмейтіндігі сол, ондағы берілген сандық мәндер түрлі әдістер арқылы есептелуі мумкін. Мысалы, бір жұмысшының белгілі бір уақыт ішінде өндірген өнімі бойынша иемесе жалпы жұмыскерлерге есептеу арқылы еңбек өнімділігін анықтауға болады. Бірақ, мұнда есептеу тәсілі әр түрлі. Біріншіде - тек жүмыс істеген жұмысшылар ғана алынса, екіншісінде - барлық жұмыскерлер түгелдей қамтылған. Демек, есептеу әдістемелері әрқайсысыида әр түрлі. Сондықтан Бұл көрсеткіштердің өзара салыстырмалы болуы үшін, есептеу әдістері біртектес болуы қажет және сонда ғана есептелінген мәліметтер салыстырмалы түрге айналады.
Кейбір жағдайға байланысты біртектес өсіңкілік қатардың көрсеткіштері уақыт мезгіліне немесе кезеңіне қарай екі катарда берілуі мүмкін және оларды бір-бірімен салыстыруға болмайды. Сондықтан бұлардың салыстырмалы болуы үшін, барлық уақыт ішіндегі керсеткіштерді есептеу арқылы бір қатарға тіземіз (келтіреміз) . Ол үшін үздіксіздендіру деп аталатын статистикалық тәсілді қолданамыз және оған мысал ретінде . 1. 4-кестенің көрсеткіштерін келтіреміз:
1. 4-кесте. Қазақстан Республикасы бойынша тауар айналымы, млн. тг.
Ескі бағамен
Жаңа бағамен
Үздіксіздендірілген
қатар
420, 0
506, 5
450, 0
542, 7
480, 0
578, 9
506, 0
610, 0
610, 0
-
650, 0
650, 0
-
690, 0
690, 0
1990-1992-жылдардағы мәліметтерді жаңа баға бойынша есептеу үшін үздіксіздендіру тәсілін қолданамыз. Ол үшін 1993-жылға жаңа және ескі баға қатынасын анықтаймы:
Енді осы табылған процентті ескі бағадағы көрсеткіштерге көбейту арқылы 1990-1992-жылдардың мәліметтерін жаңа баға бойынша есептейміз және ол төмендегідей:
1990-жыл үшін:
млн. теңге
1991-жыл үшін:
млн. теңге
1992-жыл үшін:
млн. теңге
Демек, үздіксіздендіру тәсілі арқылы өсіңкілік қатарлардың жаңа бағадағы көрсеткіштері бір жүйеге келтірілді және ол кестенің үшінші жолында көрсетілген. Енді осы керсеткіштерді салыстыру арқылы тиянақты, ұғымды түрде түжырымды корытынды жасауга толық мүмкіндік болады.
2. ӨСІҢКІЛІК ҚАТАРЛАРДЫ НЕГІЗГІ
КӨРСЕТКІШТЕРІ БОЙЫНША
ЕСЕПТЕУ ТӘСІЛДЕРІ
Әлеуметгік-экономикалық құбылыстардың өсіңкілігін зерттеу, талдау барысында бірнеше статистикалық көрсеткіштер қолданылады. Олардың көпшілігі нақты (абсолюттік) немесе катысты шамамен беріледі және осы көрсеткіштер арқылы белгілі бір уақьіт аралығында болған жағдайларға корытынды жасауға толық мүмкіндік туады.
Статистикада өсіңкілік қатарлар көрсеткіштерін есептеуде мынадай негізгі түрлері қолданылады : нақты (абсолюттік) өсім, өсу қарқыны, өсім қарқыны, бір процент өсімнің нақты (абсолюттік) мәні . Бұлардың. барлығын есептеу өсіңкілік қатардағы көрсеткіш дәрежелерін бір-бірімен салыстыру нәтижесінде негізделген. Ол үщін ағымдағы кезеңнің нақты (абсолюттік) шамасын салыстыратын бір тұрақты уақттың немесе өткен жылғы уақыттың көрсеткіштері алынуы тиіс.
Осыған орай салыстырылатын уақыттың дәрежесін ағымдағы деп, ал онымен салыстыратын уақыттың дәрежесін базалық деп атайды. Базалық дәрежеге ағымдағы уақыттың алдында тұрған қатардың шамасы немесе сол қатардағы бастапқы бір түрақты мәні алынады.
Өсіңкілік қатардың көрсеткіштерін екі түрлі тәсілмен есептеуге болады. Біріншіден, ағымдағы катардың әрбір дәрежесін оның алдыңғы уакыттағы шамасымен салыстыртан болса, онда өсіңкіліктің көрсеткіштері тізбектелген тәсілмен есептелінген болып саналады. Екшшіден, әрбір қатардың мәнін белгілі бір тұрақты базалық уақыттың шамасымен салыстырсақ, онда оны тұрақты тәсілмен есептелінген деп атайды. Осы айтылғанды іс жүзінде талдау үшін . І-суретке көңіл бөлейік:
тұрақты тәсіл
тізбектелген тәсіл
1-сурет. Өсіңкілік қатардың көрсеткіштерін тұрақты және тізбектелген тәсілмен есептеу үлгісі
Осы көрсетілген тәсілдердің қайсысын қолдану екендігін анықтау алдағы тұрған талдаудың міндетімен тығыз байланыста болады. Олай болса, осы айтылғандарымызды толық дәлелдеу үшін Қазақстан бойынша көмір өндірудің өсіңкілік қатарына таддау жасайық және оның көрсеткіштері
2. 1. -кестеде (шартты түрде) келтірілген:
2. 1. -кесте
Қазақстан бойынша көмір өндіру, млн. тонна
Енді осы берілген мысал бойынша жоғарыда айтылған өсіңкіліктің негізгі керсеткіштерін екі тәсіл арқылы есептейік.
Нақты (абсолютгік) өсім . Бұл өсіңкілік қатардың жай түрі болып саналады. Мұнда өсіңкілік қатарда көрсетілген көрсеткіш дәрежелерінің белгілі бір уақыт аралығындағы нақты (абсолюттік) өсу немесе кему жылдамдығының мөлшерін анықтау үшін есептеледі. Нақты (абсолюттік) өсімнің, шамасы салыстырылып отырған көрсеткіш дәрежелерінің айырмасына тең болады жане оның мәні оң не теріс шамаға немесе нөлге тең болуы да мүмкін.
Егер әр уақыттың дәрежесінен белгілі бір тұрақты базалық уақыттың дәрежесін шегеретін болсақ, онда нақты (абсолюттік) өсім тұрақты тәсілмен есептелінеді. Ал ол мына формула бойынша табылады:
∆н =Уі - Уо,
мұнда ∆ н - нақты (абсолютті) өсім;
У 0 - тұрақты базалық уақыттын дәрежесі;
Уі - ағымдағы уақыттың дәрежесі;
і - қатардың реттік нөмірі.
Егер уақыттың дәрежесінен өзінің алдында түрған уақыт дәрежесін шегеретін болсақ, онда тізбекті тәсілмен есептелтен нақты (абсолюттік) өсім анықталады және оған мына формуланы қолданамыз:
∆н =Уі - Уі-1,
мұнда Уі - ағымдағы уақыттың дәрежесі;
Уі-1 - ағымдағы уақыттың алдында тұрған дәрежесі.
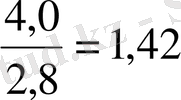
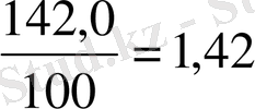
Енді осы келтірілген формулаларды қолдана отырып, жоғарыдағы мысалдан нақты (абсолюттік) өсімнің екі тәсілмен есептегенде төмендегідей көрсеткіштері алынады:
а) тұрақты тәсіл, млн. тонна
1991-ж. 142, 0 - 138, 0 = 4, 0
1992-ж. 146, 0 - 138, 0 = 8, 0
1993-ж. 148, 0 - 138, 0 = 10, 0
1994-ж. 151, 0 - 138, 0 = 13, 0
1995-ж. 154, 0 - 138, 0 = 16, 0
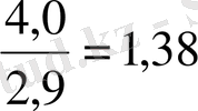
ә) тізбектелген тәсіл, млн. тонна
142, 0 - 138. 0 = 4. 0
146, 0 - 142, 0 = 4, 0
148. 0 - 146, 0 = 2, 0
151, 0 -. 148. 0 = 3, 0
154, 0 - 151, 0 = 3, 0
Осы келтірілген уақыт ішіндегі (1990-1995) нақты (абсолюттік) өсімнің шамасы соңғы уақыт дәрежесін бастапқы уақыт дәрежесін шегергенге тең болады, яғни А ң = У п - У1 = 154, 0 - 138, 0 = 16, 0 млн. тн., ал егер нақты (абсолюттік) өсім тізбектелген тәсілмен есептелсе, онда оны осы барлық уақыттағы өсімнің қосындысьна тең болады:
∆н = ∑∆н = 4 + 4 +2 + 3 + 3 = 16 млн. тонна.
Сонымен нақты (абсолюттік) өсім өсіңкілік қатарлар дәрежесінің әрбір кейінгі уақыттың алдыңғы уакыттан сандық шамасы бойынша қаншаға азайғанын немесе көбейгенін көрсетеді.
Өсіңкілік дәрежелерін зерттеу кезінде нақты (абсолюттік) өсімнен басқа қорытындылауды көрсеткіш ретінде, яғни қоғамдық құбылыстар мен процестердің өзгеру жылдамдығын сипаттайтын салыстырмалы шамалар да қолданылады. Оған жататындар: өсу мен өсім қарқыны .
Өсу қарқыны . Бұл көрсеткіш әрбір ағымдары уақыт дәрежесінің алдынғы уақыт дережесімен салыстырғанда қанша көп, не аз екенін сипаттайды, яғни осы екі уақыт көрсеткіштерінің бір-біріне қатысты шамасы арқылы есептелінеді. Өсу қарқыны коэфициентпен немесе процентпен өлшенеді.
Нақты (абсолюттік) өсім сияқты өсу қарқыны да тұрақты және тізбектелген тәсілмен есептеледі. Егер өсіңкілік қатарда әрбір уақыт дәрежесін тұрақты бір базалық уақыт дәрежесіне бөлетін болсақ, онда оны тұрақты өсу қарқынының коэффициенті деп атайды және ол мынадай формула арқылы есептеледі:
Кө =
мұнда К ө - өсу қарқынының коэффициенті;
У 0 - тұрақты базалық уақыттың дәрежесі;
Уі - ағымдағы уақыттың дәрежесі.
Егер өсіңкілік қатардың әрбір уақьттағы дәрежесін өзінің, алдында тұрған уақыт дәрежесіне бөлетін болсақ, онда өсу қарқынынын коэффиценті тізбектелген тәсілмен есептелген болып саналады және оны мына формула бойынша есептеледі.
Кө =
Мұнда Уi-ағымдағы уақыттың дәрежесі;
Уi-1-ағымдағы уақыттың алдында тұрған дәрежесі.
Сонымен, жоғарыда келтірілген мысалдың мәліметтері қолданыла отырып өсу қарқыны екі тәсілмен есептеледі және ол төмендегідей болып келеді:
а) тұрақты тәсіл б) тізбектелген тәсіл
1991-ж. 142 / 138 = 1. 029 142 / 138 = 1. 029
1992-ж. 146 / 138 = 1, 058 146 / 142 = 1, 028
1993-ж. 148 / 138 = 1, 072 148 / 146 = 1, 014
1994-ж. 151 / 138 = 1, 094 151 / 148 = 1, 020
1995-ж. 154 / 138 =1, 116 154 / 151 = 1, 020
Осы екі тәсілмен есептелінген коэффициенттердің арасында мынадай байланыс бар:
1) тізбектеліп есептелінген коэффициенттердің көбейтіндісі тұрақты коэффициентке тең болады:
Кө 1991 * Кө 1992 * Кө 1993 * Кө 1994 * Кө 1995 = Кө 1990-1995 = 1, 029 * 1, 028 * 1, 014
* 1, 020 * 1, 020 = 1, 116;
2) тұрақты екі коэффициенттің бір-біріне қатынасы тізбектелген
коэффициентке тең болады.
Кө 1990-1995 : Кө 1990-1994 = Кө 1995 = 1. 116 : 1, 094 = 1. 020.
Өсу қарқынының коэффициенттін (Кө ) 100-ге көбейіп, оның процентін (Өқ) есептеуге болады. Ол мына формула арқылы көрсетіледі:
Өқ = Кө * 100 =
- тұрақты тәсіл;
Өқ = Кө * 100 =
- тізбектелген тәсіл.
Төменде өсу қарқыны процент есебімен берілген:
а) тұрақты тәсіл, % ә) тізбектелген тәсіл, %
1991-ж. 1, 029*100 = 102. 9 1. 029*100 = 102. 9
1992-ж. 1, 058*100 = 105, 8 1, 028*100 = 102, 8
1993-ж. 1, 072*100 = 107, 2 1, 014*100 = 101, 4
1994-ж. 1, 094*100 = 109, 4 1, 020*100 = 102, 0
1995-ж. 1, 016*100 = 111, 6 1, 020*100 = 102, 0
Өсім қарқыны. Өсіңкілік қатардың бұл көрсеткіші нақты (абсолюттік) өсімнің салыстырмалы шамасын көрсетеді. Бұл көрсеткіш коэффициент немесе процент өлшемдерімен өлшенеді және оны анықтау үшін нақты (абсолюттік) өсімнің шамасын базалық ретінде алынған уақыт дәрежесіне бөлу керек. Бұл көрсеткіш те екі тәсілмен есептелінеді. Егер өсім карқыны тұрақты базалық уақыт дәрежесі арқылы есептелсе, онда оны тұрақты өсім қарқыны, ал егер базалық уақыт дәрежесі өзгермелі болса, онда оны тізбектелген өсім карқыны деп атаймыз. Өсім қарқынын есептеу үшін төмендегі формулалар қолданылады:
∆ө =
- тұрақты тәсіл;
∆ө =
- тізбектелген тәсіл,
мұнда ∆ө - өсім қарқыны;
У 0 - тұрақты базалық уақыттың дәрежесі;
Уі-1 - ағымдағы уақыттың алдыңда тұратын дәрежесі.
Енді осы формулаларды жоғарыда (2. 1. - кестеде) берілген есептелінген көрсеткіштерге қолдану арқылы өсім қарқынын екі әдіс бойынша есептейміз:
а) тұрақты тәсіл, % ә) тізбектелген тәсіл, %
1991-ж.
1992-ж.
1993-ж.
1994-ж.
1995-ж.
Егер өсу қарқынының көрсеткіштері есептелініп берілген болса, онда өсім қарқынын анықтау және жұмыс көлемін азайтып, есептеуді жеңілдету үшін өсу қарқынын 1 (бірді) немесе 100 (жүзді) шегеру арқылы да табуға болады. Ол мына формулалар бойынша іске асады:
∆ө = Кө - 1 немесе ∆ө = Өқ - 100,
мұнда К ө - өсу қарқыны (коэффициент есебімен) ;
Ө қ - өсу қарқыны (процент есебімен) .
Мысалы, 1985 жылы 1994-жылымен салыстырғанда көмір өндірудің 2, 0%-ке (∆ө = Өқ - 100 = 102, 0 - 100 = 2, 0) өскендігін көруге болады.
Бір процент өсімнің нақты (абсолюттік) мәні . Бұл көрсеткіштің экономикада атқаратын рөлі өте жоғары. Себебі мұнда өсімнің әрбір процентінің нақты (абсолюттік) мәні қаншаға және қалай өзгергені көрсетіледі. Оны есептеу үшін әр уақыттағы нақты (абсолюттік) өсімнің шамасын, сол кездегі өсім қарқынына бөледі және оның мәні тізбектелген тәсіл арқылы мына формула бойынша есептеледі:
A%
немесе А% =
,
мұнда A% - бір процент өсімнің нақты (абсолюттік) мәні;
∆н - өсім қарқыны;
Уi-1 - ағымдағы уақыттың алдында тұрған дәрежесі.
Енді осы көрсетілген формулалар бойынша бір процент өсімнің нақты (абсолюттік) мәнін есептейміз:
A%
А% =
Equation. 3
1991-ж.
млн. т.
млн. т.
1992-ж.
млн. т.
млн. т.
- Іс жүргізу
- Автоматтандыру, Техника
- Алғашқы әскери дайындық
- Астрономия
- Ауыл шаруашылығы
- Банк ісі
- Бизнесті бағалау
- Биология
- Бухгалтерлік іс
- Валеология
- Ветеринария
- География
- Геология, Геофизика, Геодезия
- Дін
- Ет, сүт, шарап өнімдері
- Жалпы тарих
- Жер кадастрі, Жылжымайтын мүлік
- Журналистика
- Информатика
- Кеден ісі
- Маркетинг
- Математика, Геометрия
- Медицина
- Мемлекеттік басқару
- Менеджмент
- Мұнай, Газ
- Мұрағат ісі
- Мәдениеттану
- ОБЖ (Основы безопасности жизнедеятельности)
- Педагогика
- Полиграфия
- Психология
- Салық
- Саясаттану
- Сақтандыру
- Сертификаттау, стандарттау
- Социология, Демография
- Спорт
- Статистика
- Тілтану, Филология
- Тарихи тұлғалар
- Тау-кен ісі
- Транспорт
- Туризм
- Физика
- Философия
- Халықаралық қатынастар
- Химия
- Экология, Қоршаған ортаны қорғау
- Экономика
- Экономикалық география
- Электротехника
- Қазақстан тарихы
- Қаржы
- Құрылыс
- Құқық, Криминалистика
- Әдебиет
- Өнер, музыка
- Өнеркәсіп, Өндіріс
Қазақ тілінде жазылған рефераттар, курстық жұмыстар, дипломдық жұмыстар бойынша біздің қор #1 болып табылады.

Ақпарат
Қосымша
Email: info@stud.kz