Таспалы конвейердің жетегін жобалау


Жұмыс түрі: Курстық жұмыс
Тегін: Антиплагиат
Көлемі: 21 бет
Таңдаулыға:
ҚАЗАҚСТАН РЕСПУБЛИКАСЫНЫҢ БІЛІМ ЖӘНЕ ҒЫЛЫМ МИНИСТРЛІГІ
Құрылым жасау және машина бөлшектері кафедрасы
Курстық жобаға
ТҮСІНІКТЕМЕ ЖАЗБА
Тақырыбы: « Таспалы конвейердің жетегін жобалау »
Жетекші:
Студент:
Мамандығы:
Тобы:
МАЗМҰНЫ
Кіріспе . . . 3
- Жетектің кинематикалық есебі. . . 4Электроқозғалтқышты таңдау . . . 4Жалпы ПӘК табу . . . 4Электроқозғалтқыштың қуатын анықтау . . . 4
1. 2 Жалпы беріліс санын анықтау, сатыға бөлу . . . 4
1. 3 Біліктердегі әсер ететін қуатты, айналу жылдамдығын, күш моментін анықтау . . . 5
1. 3. 1 Әр біліктегі қуатты анықтау . . . 5
1. 3. 2 Әр біліктің айналу жиілігін анықтау . . . 5
1. 3. 3 Әр білікке әсер ететін күш моменттері. 6
2 Тісті берілістерді есептеу . . . 8
2. 1 Тісті берілістер туралы жалпы мәлімет . . . 8
2. 2 Тісті дөңгелектердің материалы мен тістерді шынықтыру тәсілдерін таңдау . . . 8
2. 3 Мүмкіндік кернеуді есептеу . . . 9
2. 3. 1 Жанасу беріктігіне есептеу . . . 9
2. 3. 2 Майысу беріктігіне есептеу . . . 9
2. 4 Екі сатылы цилиндрлі тісті берілістің негізгі параметрлерін анықтау . . . 10
2. 4. 1 Ось аралық ара қашықтықты табу(бірінші және екінші білік) . . . 10
2. 4. 2 Ілінісу модулін анықтау . . . 10
2. 4. 3 Тісті дөңгелектің тістер саны . . . 11
2. 4. 5 Ілінісудегі күштерді анықтау . . . 12
2. 5 Тексеру есебі . . . 13
3 Жетек біліктерінің негізгі геометриялық параметрлері . . . 19
3. 1 Шапшаң білік . . . 19
- Аралық білік . . . 19
- Баяу білік
4 Жетек білігіне орналастырылатын мойынтіректерді жобалау . . . 21
4. 1 Жалпы сипаттама.
5 Жетек білігіне орналастырылатын жалғастырғыштарды жобалау . . 23
Қорытынды . . . 24
Пайдаланылған әдебиттер тізімі . . . 25
КІРІСПЕ
Жобалау дегеніміз - өнімнің жалпы құрылысын жасау. Құрылымдау - бұл барлық сұрақтардың шешіміне жету үшін принципиалды схеманы нағыз құрылымға айналдыру үшін ары-қарайғы бөлшектеп жобалау. Курстық жобаның негізгі мақсаты алған теориялық білімді жүйелеу, бекітіп, кеңейту, сонымен қатар студенттердің есептеме -графикалық қабілеттерін дамыту. Студенттерді типтік бөлшектер мен түзілімдердің құрылымдарымен таныстыру және инженерлік-техникалық есептерді өз бетімен шығарып үйренуге баулу, жалпы ұсыныстағы деталдар мен механиздерді есептеп оны жобалауға үйрету. Жобалау мен құрылымдаудың әр түрлі сатысындағы құрылымдық құжаттарды жасау техникасы мен таныстыру. Қабылданған техникалық шешімді өз бетімен қорғауға баулу.
Мен бұл жобаны жасау барысында, әр жобалатын деталдарды ұсынылу мен талаптарына анализ жасап, кинематикалық есеп жүргізіп, түзілім буынына түсетін күштерді анықтадым, құрылымның беріктікке төзімділігін есептедім. Осы жұмыстарды атқара отырып, мен қолданыстағы стандарттар мен нормаларды құрылым үшін, деталдің өлшемдері үшін ең тиімділерін таңдауды үйреніп, әдебиеттермен жұмыс істеу қабілеттерімді шыңдадым.
1 Жетектің кинематикалық есебі
- Электроқозғалтқышты таңдауЖалпы ПӘК табу
![]()
(1)
Мұндағы,
берілістер мен қондырғылардың жалпы саны.
Берілген схема бойынша
![]()
- формулаға сүйене отырып, келесі нәтижелерді аламыз
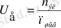
1. 1. 2 Электроқозғалтқыштың қуатын анықтау
(2)
- формула бойынша
Ленталы конвейер шаң-тозаңды ортада жұмыс істегендіктен,
P=11 кВТ-қа тең асинхронды, жабық, желдеткіші бар электроқозғалтқыш таңдалды
1. 2 Жалпы беріліс санын анықтау, сатыға бөлу
(3)
(4)
1. 3 Біліктердегі әсер ететін қуатты, айналу жылдамдығын, күш моментін анықтау
1. 3. 1 Әр біліктегі қуатты анықтау
Әр біліктегі қондырғылар мен берілістерді анықтаймыз
1. 3. 2 Әр біліктің айналу жиілігін анықтау
(5)
(5) формула бойынша айналу жиілігі мыналарға тең:
1. 3. 3 Әр біліктің бұрыштық жылдамдығын анықтау
(6)
(6) формула бойынша бұрыштық жылдамдық
1. 3. 4 Әр білікке әсер ететін күш моменттері
(7)
(7) формула бойынша күш моменттері
Қорытынды кесте
2 Тісті берілістерді есептеу
2. 1 Тісті берілістер туралы жалпы мәлімет
Тісті беріліс өзара ілінісетін екі тісті дөңгелектен тұрады. Кіші тісті дөңгелекті тістегеріш деп, ал үлкен дөңгелекті дөңгелек деп атайды . Тісті берілістердің басқа берілістерден артықшылықтары келесілер:
- жоғары жүктемелі қабілет және соған сәйкес аз габарит;
- жұмыстың үлкен ұзақтұрақтылығы және жұмыс кепілдігі;
- жоғары пайдалы әсер кофициенті;
- беріліс қатынасының тұрақтылығы-сырғанаудың жоқтығы;
- кеңауқымды жылдамдықтар, қуаттар(мыңдаған кВт) мен беріліс саны(бірнеше жүз) диапазонында қолдану мүмкіндігі;
Тісті берілістердің кемшіліктеріне дайындалу дәлдігіне қойылатын талаптар, үлкен жылдамдықта пайда болатын шу, динамкалық жүктемені реттеуге мүмкіндік бермейтін жоғарғы қатаңдық. Бірақ бұл кемшіліктер тісті берілістің жақсы жақтарын басқа берілістерден түсірмейді, сондықтан тісті берілістер машинажасау мен приборжасаудың барлық салаларында кеңауқымды өріс алып отыр.
2. 2 Тісті дөңгелектердің материалы мен тістерді шынықтыру тәсілдерін таңдау
Азотпен қанықтыру. Беткі қабатты азотпен қанықтыру 70HRC дейінгі өте жоғары қаттылықты қамтамасыз етеді және қабат беттерінің тозуға төзімділігін арттырады. Қабат қалыңдығы 0, 2 . . . 0, 5 мм болады, жұмыс поцессі өте ұзақ(20-50 сағат), соққысыз жұмыс жасайтын, тезжүргіш нақты берілістер үшін қолданылады.
Болат
тобы
МПа

МПа
S Ғ
МПа


2. 3 Мүмкіндік кернеуді есептеу
2. 3. 1 Жанасу беріктігіне есептеу
- жанасу кернеу
(8)
(9)
;
![]()
2. 3. 2 Майысу беріктігіне есептеу.
(10)
(11)
![]()
![]()
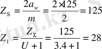
2. 4 Екі сатылы цилиндрлі тісті берілістің негізгі параметрлерін анықтау.
2. 4. 1 Ось аралық ара қашықтықты табу(бірінші және екінші білік) .
(12)
мұндағы, К Н -жүктеме коэффициенті;
=0. 315 (симметриялы), берілістегі тісті дөңгелектің енінің коэффициенті
, рұқсат етілген жанасу кернеуі;
и=4, беріліс саны;
С=270, МЕСТ 21 354-75 бойынша тісті берілістерді беріктікке есептеу әдісінің коэффициенті;
Т 2 = 196. 3 *10 3 Hмм, екінші біліктегі күш моменті;
(12) формула бойынша ось аралық қашықтықты анықтау:
;
Алған мәнді стандарт бойынша бүтін санға дөңгелектеу керек.
![]()
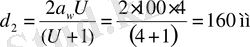
2. 4. 2 Ілінісу модулін анықтау
(13)
мұндағы:
K m =6, 6(тік тісті дөңгелек)
, рұқсат етілген майысу кернеуі;
Т 2 = 196. 3 *10 3 Hмм, екінші біліктегі күш моменті;
=0. 315 (симметриялы), берілістегі тісті дөңгелектің енінің коэффициенті
![]()
, мм -тісті дөңгелектің бөлгіш диаметрі (14)
, мм -тісті дөңгелектің ені (15)
(14) формула бойынша тісті дөңгелектің бөлгіш диаметрі
![]()
(15) формула бойынша тісті дөңгелектің ені
![]()
(13) формула бойынша ілінісу модулін анықтаймыз
![]()
Алған ілінісу модулінің мәнін СТ СЭВ 310-76 бойынша жуық үлкен мәнге дейін дөңгелектейміз
m=1. 25 мм
2. 4. 3 Тісті дөңгелектің тістер саны.
![]()
![]()
(16) , (17) формула бойынша тістер саны
![]()
![]()
![]()
2. 4. 4 Тісті берілістің негізгі геометриялық параметрлері
Тік тісті тістегеріштің бөлгіш диаметрі
(19)
Тік тісті дөңгелектің бөлгіш диаметрі
(21)
Тік тісті тістегеріштің диаметрлері
Тіс төбесі
(22)
Тік тісті тістегеріштің диаметрлері
Тіс ойымы
(23)
Тік тісті дөңгелектің диаметрлері
Тіс төбесі
(24)
Тік тісті дөңгелектің диаметрлері
Тіс ойымы
(25)
Тісті тістегеріштің тәж ені
(26)
Тісті дөңгелектің тәж ені
(27)
2. 4. 5 Ілінісудегі күштерді анықтау
Шеңберлік күш
(28)
Радиалды күш
(29)
=0. 363
(29) формула бойынша
![]()
![]()
2. 5 Тексеру есебі
2. 5. 1 Жанасу кернеуін тексеру
![]()
, ось аралық ара қашықтық;
Т 2 = 196. 3 *10 3 Hмм, екінші біліктегі күш моменті;
К=1, коэффициент;
и=4, беріліс саны;
, Тісті дөңгелектің тәж ені
![]()
2. 6 Ось аралық ара қашықтықты табу
2. 6. 1 Шапшаң және аралық білік ара қашықтығы
(13)
мұндағы, К H =1. 4, жүктеме коэффициенті;
=0. 4 (симметриялы), берілістегі тісті дөңгелектің енінің коэффициенті
, рұқсат етілген жанасу кернеуі;
и=3. 4, беріліс саны;
С=315, МЕСТ 21 354-75 бойынша тісті берілістерді беріктікке есептеу әдісінің коэффициенті;
Т 3 = 636. 9 *10 3 Hмм, үшінші біліктегі күш моменті;
(13) формула бойынша ось аралық қашықтықты анықтау:
![]()
Алған мәнді стандарт бойынша бүтін санға дөңгелектеу керек.
![]()
2. 6. 2 Ілінісу модулін анықтау
(13)
мұндағы:
K m =6, 6(тік тісті дөңгелек)
, рұқсат етілген майысу кернеуі;
Т 3 = 636, 9 *10 3 Hмм, екінші біліктегі күш моменті;
=0, 4 (симметриялы), берілістегі тісті дөңгелектің енінің коэффициенті
![]()
, мм -тісті дөңгелектің бөлгіш диаметрі (14)
, мм -тісті дөңгелектің ені (15)
(14) формула бойынша тісті дөңгелектің бөлгіш диаметрі
![]()
(15) формула бойынша тісті дөңгелектің ені
![]()
(13) формула бойынша ілінісу модулін анықтаймыз
![]()
Алған ілінісу модулінің мәнін СТ СЭВ 310-76 бойынша жуық үлкен мәнге дейін дөңгелектейміз
m=2 мм
2. 6. 3 Тісті дөңгелектің тістер саны.
![]()
![]()
(16) , (17) формула бойынша тістер саны
![]()
![]()
![]()
![]()
2. 6. 4 Тісті берілістің негізгі геометриялық параметрлері
Тік тісті тістегеріштің бөлгіш диаметрі
(20)
Тік тісті дөңгелектің бөлгіш диаметрі
(21)
Тік тісті тістегеріштің диаметрлері
Тіс төбесі
(22)
Тік тісті тістегеріштің диаметрлері
Тіс ойымы
(23)
Тік тісті дөңгелектің диаметрлері
Тіс төбесі
(24)
Тік тісті дөңгелектің диаметрлері
Тіс ойымы
(25)
Тісті тістегеріштің тәж ені
(26)
Тісті дөңгелектің тәж ені
(27)
2. 6. 5 Ілінісудегі күштерді анықтау
Шеңберлік күш
(28)
Радиалды күш
(29)
=0. 363
(29) формула бойынша
![]()
![]()
2. 7 Тексеру есебі
2. 7. 1 Жанасу кернеуін тексеру
![]()
, ось аралық ара қашықтық;
Т 2 = 636, 9*10 3 Hмм, екінші біліктегі күш моменті;
К=1, коэффициент;
и=3, 4, беріліс саны;
, Тісті дөңгелектің тәж ені
![]()
Жобалық есептеу
Бірінші саты

Бөлгіш диаметр, мм
Тістегеріш:
Дөңгелек:
160
42
32
128
36
32
Тістегеріш:
Дөңгелек:
Тістегеріш: b 1
Дөңгелек: b 1
Тістегеріш, d a1
Дөңгелек: d a2
42, 5
162, 5
Тістегеріш, d f1 :
Дөңгелек, d f2 :
37
157
Екінші саты

Бөлгіш диаметр, мм
Тістегеріш:
Дөңгелек:
194
54
28
97
54
50
Тістегеріш:
Дөңгелек:
Тістегеріш: b 1
Дөңгелек: b 2
Тістегеріш, d a1
Дөңгелек: d a2
60
198
Тістегеріш, d f1 :
Дөңгелек, d f2 :
52
190
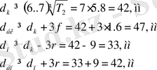
3 Жетек біліктерінің негізгі геометриялық параметрлері
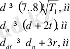
3. 1 Шапшаң білік
![]()
t=2. 2
r=2
f=1
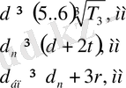
- Аралық білік
![]()
t=2. 8
r=3
f=1, 6
![]()
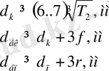
- Баяужүрісті білік
t=3,
r=3, f=2,
![]()
![]()
Алған өлшемдерді стандартты қатарға дейін дөңгелектеу керек.
4 Жетек білігіне орналастырылатын мойынтіректерді жобалау
4. 1 Жалпы сипаттама
Білік тіректерін рационалды конструкциялау және дұрыс таңдалған мойынтірек көлемді дәрежеде бүкіл жобаланып жатқан машинаның сенімді жұмыс жасауын анықтайды, бірақ өте жоғары сапада жобаланған мойынтірек егер оны пайдалану мен жөндеу ережелері сақталмаса істен шығуы мүмкін.
Мойынтірек түзілімінің құрылымы мынадай негізгі факторларға байланысты болады:
- Түзілімнің тағайындалуы( оның жұмыс спецификасының талаптары) ;
- Түзілімге түсетін жүктеменің шамасы, бағыты мен сипаты;
- Мойынтіректің қажетті ұзақтұрақтылығы және оның айналу сақинасының бұрыштық жылдамдығы;
- Сыртқы ортаның жағдайы және температуралық жағдайлар;
- Мойынтіректің машинада орналасуы мен жондеу және бөлектеу жағдайлары;
- Түзілім детальдарды өңдеудің технологиялық өңдеу мүмкіндіктері;
- Іс жүргізу
- Автоматтандыру, Техника
- Алғашқы әскери дайындық
- Астрономия
- Ауыл шаруашылығы
- Банк ісі
- Бизнесті бағалау
- Биология
- Бухгалтерлік іс
- Валеология
- Ветеринария
- География
- Геология, Геофизика, Геодезия
- Дін
- Ет, сүт, шарап өнімдері
- Жалпы тарих
- Жер кадастрі, Жылжымайтын мүлік
- Журналистика
- Информатика
- Кеден ісі
- Маркетинг
- Математика, Геометрия
- Медицина
- Мемлекеттік басқару
- Менеджмент
- Мұнай, Газ
- Мұрағат ісі
- Мәдениеттану
- ОБЖ (Основы безопасности жизнедеятельности)
- Педагогика
- Полиграфия
- Психология
- Салық
- Саясаттану
- Сақтандыру
- Сертификаттау, стандарттау
- Социология, Демография
- Спорт
- Статистика
- Тілтану, Филология
- Тарихи тұлғалар
- Тау-кен ісі
- Транспорт
- Туризм
- Физика
- Философия
- Халықаралық қатынастар
- Химия
- Экология, Қоршаған ортаны қорғау
- Экономика
- Экономикалық география
- Электротехника
- Қазақстан тарихы
- Қаржы
- Құрылыс
- Құқық, Криминалистика
- Әдебиет
- Өнер, музыка
- Өнеркәсіп, Өндіріс
Қазақ тілінде жазылған рефераттар, курстық жұмыстар, дипломдық жұмыстар бойынша біздің қор #1 болып табылады.

Ақпарат
Қосымша
Email: info@stud.kz