Биологиялық мембраналардың қызметі


БИОЛОГИЯЛЫҚ МЕМБРАНАЛАРДЫҢ ҚЫЗМЕТІ
Өздігінен өмір сүретін, дамитын және көбейетін элементар тірі жүйе - тірі жасуша, ол барлық жануарлар мен өсімдіктердің негізі. Жасушаның жасушалык. органеллдің өмір сүруінін. басты шарттары мыналар:
Біріншіден - қоршаған ортамен салыстырғанда автономдығы, яғни жасушаныңзаттары коршаған ортаныңзаттарымен араласпауы керек, жасушада және оның жеке бөліктерінде өтетін химиялык реакцияның өзін-өзі автономды баскару мүмкіншілігі сақталуы қажет.
Екіншіден - қоршаған ортамен байланыс. Жасуша мен қоршаған ортаның арасындағы байланыс энергия мен зат алмасуының реттел-ген түрде үздіксіз жүруі;
Үшіншіден - қоршаған ортадан оқшаулануы және сол ортамен -тірі ұйым-дасу қызметінің басты шарты. Сондықтан жасушаның өмір сүруінің басты шарты, ол биологиялық мембраналар.
Биологиялық мембраналардың мынадай негізгі үш кызметі бар: бөгеттік (барьерлік), матрицалық және механикалық.
1. Бөгеттік (барьерлік) кызметі мынада: қоршаған орта мен жасу-шаның арасында таңдамалы (селективті), кезекпен, белсенді және ен-жар зат алмасу процестері жүреді. Тандамалы дейтін себебі биологиялық мембрана аркылы заттың бір тобы тасымалданса, баска топқа жататын заттар тасымалданбайды; кезекпен дейтін себебі тасымалда-натын заттар жасушанын. жүмысына сәйкес мембранадан кезектесіп ретімен өтеді; белсенді дейтін себебі заттар таралымы (концентрациясы) аз жерден таралымы көп жерге қарай тасымалданады; енжар дейтін себебі тасымалдану заттаралымы көп жерден таралымы аз жерге карай жүреді.
2. Матрицалық - мембранадағы акуыздардың орналасуын, олардың бағытын және өзара ұтымды әсерлесуін қамтамасыз етеді.
3. Механикалық - жасушалар және жасуша ішіндегі құрылымдар берік болып өзін-өзі басқарады.
Сонымен қатар биологиялык мембраналар тағы да мынадай қызметтер атқарады:
- энергетикалық- митохондрийдіңішкі мембраналарында АТФ-ті синтездеу және хлоропласт мембранасында фотосинтездеу;
- биопотенциалдарды өндіру және оларды тарату;
- рецепторлық (механикалык, акустикалық, иіс сезу, көру, химия-лық, жылу рецепциясы) және т. б. қызметтер.
Тіршілікті камтамасыз етуде мембрананыңауданының ролі аса зор. Қалыпты жағдайда барлык мембраналардың аудандарының қосынды-сы ондаған мың шаршы метрге жетеді.
Көпшілік аурулар мембрана кызметінің калыпты күйден патоло-гиялық күйге ауысуынан болады. Оған мысал ретінде канцерогенді, артериосклерозді, вирустықжәне инфекциялықауруларды, улануды, ультракүлгін сәулемен күюді және т. б. айтуға болады. Емдеу жүмысы - мембрана жұмысын калпына келтіру мақсатында жүргізіледі.
(Қазіргі кезде жасушалар құрылымының қызметін камтамасыз етуде мембрананың маңызы аса зор екені дәлелденді. Мембрана цитоплазманы түгел қоршап, оны қоршаған ортадан бөліп тұрады. Заттың жасушаға өтуі немесе жасушадан шығуы мембрананың қасиетіне тығыз байланысты, Сонымен қатар, сыртқы қабын қүрайды. Ол оргонойдтар: ядролар, митохондрий, лизосом, Гольджи аппараты және эндоплазматикалык ретикулум.
Мембрана арқылы енжар (пассивті) зат тасымалдау
Жасушаның екі жағындағы зат таралымының (концентрациясының) өзгерісі (градиенті) енжар зат тасымалдаудың негізгі механизмі болады да, ол диффузия күбылысымен түсіндіріледі.
Диффузия деп молекулалардың хаостық жылулық қозғалысының әсерінен заттың таралымы көп орыннан таралымы аз орынына қарай өздігінен өтуін айтады.
Диффузия процесінің математикалық жолымен сипаттаған ғалым
Фик болған. Фик заңы бойынша
диффузия жылдамдығы сол заттың
таралымының әзгерісіне (градиентіне) және диффузия өтетін
S ауданына тура пропорционал:
Диффузия жылдамдығы деп уакыт бірлігінде белгілі бір ауданнан ететін зат мөлшерін айтады. Минус (-) таңбасы диффузия заттыңтаралымы кеп орнынан таралымы аз орнына қарай өтетінін көрсетеді. Диффузия коэффициенті деп сол заттың таралымының өзгерісі бірге тең болғанда диффузия жолындағы аудан бетінен уакыт бірлігінде отетін заттың массасын айтады. А. Эйшптейн диффузия коэффициентінің температураға тәуелділігін анықтады, ол мынаған тең:
M=U m -RT
Олай болса тендеуді былай жазуға болады.
Мұндағы
U
m
-
диффузияға қатынасатын молекулалардың қозғалғыштығы (жылдамдығы) . тендеуді былай жазайық:
шамасын тасымалданатын заттың ағынының тығыздығы деп белгілейік те тендеуді былай жазамыз:
Жасуша мембранасындағы заттың таралымын анықтау қиын болғандықтан, диффузия процесін Р-заттың өтімділік коэффициентімен сипаттайды. Ол үшін мембрананың ішкі және сыртқы беттеріндегі заттың таралымын С. және С 0 деп белгілейік. Молекулалардың таралымының өзгерісін былай жазайық:
Мұндағы І - мембрананың қалыңдығы. Осыны ескеріп (6) тендеуді былай жазамыз:
Сонымен қатар мембранамен қоршаған ортаның арасындағы заттың таралу коэффициентін (к) ескеріп (9) тендеуді былай жазамыз:
у = Р өткізгіштік коэффициенті. Осы тендеу биологиялық мембранадан диффузия нәтижесінде өтетін зат ағыныныңтығыздығының теңдеуі болады:
Мұндағы Р - өткізгіштік коэффициенті, ол Д - диффузия коэффициентіне үқсас. Бірак диффузия коэффициенті заттың табиғатына және температурасына ғана тәуелді болса, еткізгіштік коэффициенті сонымен қатар мембрананың касиетіне тәуелді болады.
Жасушалар термодинамикалык жүйе болғандықтан, стационарлы (тұрақты) және өтпелі күйде болуы мүмкін. Жасуша стационарлық күйде болғанда тең уакыт аралығында сыртына карай өтетін диффу-зия, оның ішіне карай өтетін диффузияға тең болады. Ол таралым өзгерісін теңестіріп түратын метаболикалык процестің роліне байланысты болады. Мысалы, жасушаға келген фосфор анионын нуклеотидтер мен нуклиен кышқылымен, нуклепротеидтермен және фосфолипидтермен қосқанда жасушадағы неорганикалык фосфаттың таралымы азаяды, . Осы косылыс анионының таралымынын, өзгерісін жасуша мен қоршаған ортаның арасында түрақты етіп ұстайды. Осы тұрақтылык диффузиялык зат жасушаның ішіне карай өткенде ғана емес, ол алмасу өнімдерінің жасушадан сыртқа қарай өтетін диффузияға да тән процесс.
Егер диффузияланатын заттың молекулалары басқа молекулалар-мен кешен жасамай қозғалса, ондай диффузияны қарапайым диффузия дейді. Одан басқа жеңілденген және алмасу диффузиясы бар.
Глюкозаның, глицериннің, аминқышқылының және т. б. заттардың молекулаларының таралымы белгілі бір шамаға жеткенде олардың жасушаға карай өту жылдамдығы қарапайым диффузияға карағанда үлкен болады. Бұдан осы диффузия қарапайым емес, жеңілденген диффузия болатынын байқау қиын емес. Жеңілденген диффузия тасымалдағыш молекулалардың қатынасуымен болады. Тасымалдағыш заттың X молекуласы тасымалданатын заттың А молекуласымен қосы-лып бір кешен АХ құрайды. АХ кешені жасушаға карай диффузияла-нады (15, д-сурет) . Жасушада А молекулалары босайды, ал Х-қосалқы заттын. молекуласы бастапқы орнына кайта оралып, басқа молекуламен қосылады. Мембрананың ішкі және сырткы қабаттарында A заттың молекулаларынын. таралуы теңескен кезде зат тасымалдану процесі тоқтайды.
Жеңілденген диффузия козғалыстағы тасымалдағыш молекулалардың әсерінен ғана емес, сол сиякты «жылжымайтын» молекулалардың әсерінен де болады. Тасымалдағыштар мембрананың ішінде саңылау жасай жайылады. Тасымалданатын заттың молекуласы (А) бір буыннан екінші буынға карай сатылай қозғалады ( сурет) .
Жеңілденген диффузияның бір түрі - алмасу диффузиясы. Алмасу диффузиясында қосалқы зат диффузияланатын затпен қосылып мембрананың екінші бетіне қарай өтеді. Екінші бетке келгенде тасы-малданатын зат босайды, оның орнына сол заттың баска молекуласы қосылып кері қарай тасымалданады. Сонымен заттың тасымалдануы тұйықталған болып, мембрананың бетіндегі молекулалардың таралы-мы өзгермейді.
Қорыта айтқанда, жеңілденген диффузиянын қарапайым диффузиядан мынандай айырмашылығы бар:
а) тасымалдағыштың көмегімен заттарды тасымалдау жылдам өтеді;
ә) жеңілденген диффузияның каныкқыштық касиеті бар: мембрананың бір бетіндегі заттың таралымы қанша көп болғанымен екінші бетіне сол заттың молекулалары белгілі бір шамада ғана өте алады;
б) жеңілденген диффузияда тасымалданатын заттар арасында бәсекелік болады: бір заттын молекулалары басқа заттың молекулала-рына қарағанда көп тасымалданады;
в) жеңілденген диффузияны тоқтатын заттар бар, олар тасымал-даушының молекулаларымен берік кешен құрайды.
ИФФУЗИЯЛЫҚ, МЕМБРАНАЛЫҚ ЖӘНЕ ФАЗАЛЫҚ ПОТЕНЦИАЛДАР
Биоэлектрлік потенциялдардың пайда болуы жасушалардын ішіндегі жәнеоларды қоршаған ортадағы иондардыңтаралымының әртүрлі болуына байланысты. Сонымен қатар жасушалардың түрліше ион-дарды өткізгіштік касиеттерінің түрліше болуына да байланысты. Осындай потенциалдарға диффузиялык, мембраналық және фазалық потенциалдар жатады.
Диффузиялық потенциалдар екі сүйықтың шекарасындағы иондардың қозғалыс жылдамдығына тәуелді болады.
Ортасы кеуек затпен бөлінген, ішіне су күйылған ыдыстын, (сурет) сол жағына тұз қышқылын (HC1) құйғанда оның таралымы ыдыстың сол жағында көп болып, он, жағында аз болады. Соның нәтижесінде сутегі мен хлордың иондары ыдыстың сол жағынан оң жағына карай, диффузиялык қүбылысқа сәйкес өте бастайды. Иондардың диффузиялык жылдамдығы олардың қозғалғыштық қасиетіне байланысты. Біздің қарастырып отырған мысалда сутегі иондарынын, қозғалғыштығы хлор иондарынын. козғалғыштығынан үлкен. Олай болса, ыдыстың екінші жағына алдымен сутегі иондары, одан кейін хлор иондары өтеді. Сондықтан ыдыстың оң жағында сутегі иондарының, оң жағында хлор иондарының таралымы көп болады. Сутегі иондары оң, хлор иондары теріс зарядты болғандықтан ыдыстың оң жағында оң заряд, сол жағында теріс заряд жинақталады.
Пайда болған потенциалдардың электр өрісі диффузиялык күшке карама-қарсы болғандыктан «тез» қозғалатын иондардың жылдамдығы азайып, «баяу» қозғалатын иондардың жылдамдығы артады. Иондар диффузиясынын. жылдамдығы теңескенде диффузиялық потенциал-дар айырымы максималды мәніне жетеді. Диффузиялық потенциал-дар айырымын (Д(р) Гендерсон тендеуімен анықтауға болады:
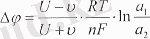
Мұндағы U - катиондардын, козғалгыштығы; и - аниондардың қоз-ғалғыштығы; R - универсал газтүрақтысы; Т~ абеолюттемпература; п - иондардың валенттілігі; Ғ - Фарадей саны; а { - диффузиямен багыттас козғалған иондардың белсенділігі; а 2 - диффузия бағытына қарсы бағытталған иондардың белсенділігі. Иондар бір-бірімен әсерлеседі. Сонымен қатар олар зарядталған басқа молекулалар тобымен де әсерлеседі. Сондықтан иондардың белсенділігі олардың абсолюттаралымынан кем болады.
Гендерсон теңдеуінен мынадай қорытынды жасауға болады: диффузиялык потенциалдар айырымы катион мен анионның қозғалғыштарының айырмасына және сол учаскедегі иондардың белсенділігіне тәуелді екен. Егер катион мен анионның козғалғыштығы тең болса және коспа заттың таралымы ыдыстың екі жағында тең болса, онда диффузиялық потенциал нөлге тең болады.
Биологиялык объектілерде алдымен диффузиялық п. отенциал пайда болады. Олар әсіресе мехаиикалық зақымдалған жасушаларда көп болады. Мұндай жасушаларда диффузия кұбылысы закымдалған учаскеден закьшдалмаған учаскеге қарай өтеді.
Мембраналық потенциалды диффузиялық потенциалдың бір түрі деп қарастыруға болады. Диффузиялык потенциалды қарастырғанда ыдыстың ішіндегі бөлгіштен ( сурет) катион да, анион да өтеді деп қарастырсақ, енді сол бөлгіштен ( сурет) тек қана катиондар ғана өтеді деп қарастырайық. Ондай мембрананың сол жағында теріс ион-дар саны көп болады. Сондыктан оларды катион алмастырғыш мемб-рана дейді. Тәжірибенің шарты бойынша ыдыстың оң жағына тек сутегінің иондары өтеді де, хлор иондары ыдыстың сол жағында қала-ды. Сутегі иондарының диффузиясы шексіз болмайды. Себебі олар хлор иондарымен өзара тартылыста болады. Диффузия күші мен электр өрісінің күші теңескенде мембранада қос электрлік қабат пайда бо-лып, иондар диффузиясы тоқтайды. Егер v ~ 0 болса, онда 1-тендеу Нернст теңдеуіне айналады, яғни
Бұдан мынадай корытынды жасауға болады: мембраналық потенциал температураға және диффузияға қатынасатын иондар таралымы-нын өзгерісіне тәуелді екен. Тендеудегі R және F тұрақты коэффициенттер екенін ескеріп, сол тендеуді натурал логарифм түрінен ондық логарифм түрінде аударып былай жазуға болады:
Осы тендеуді мембраналық потенциалдарды іс жүзінде анықтауға колдануға болады.
Тыныштык потенциалы және әрекет потенциалдары пайда болу табиғатына сәйкес мембраналық потенциалдар тобына жатады.
Фазалық потенциалдар да диффузиялык потенциалдармен тығыз байланысты. Фазалық потенциалдар бір-бірімен араласпайтын, ка-тиондар мен аниондардың сусыз ортада ерігіштігі әртүрлі екі фаза (мы-салы, орта электролиттің судағы ертіндісі болса немесе майлы орта болса) арасында болады. Егер катиондар сусыз ортада аниондарға кара-ганда жақсы еритін болса, онда олар екінші ортаға өтеді де, онда оң заряд жинақталады. Бірінші ортада теріс зарядтар саны көп болып, екі ортаның арасында гіотенциалдар айырымы пайда болады.
ЖАСУШАЛЫҚ МЕМБРАНАНЫҢ ИОНДЫҚ АРНАСЫ
Ходжкин-Хакслидің теориялық моделі бойынша мембрана арқылы иондарды тасымалдауды реттеуге болады. Бірақ липидтердің кос қабатына иондардың өтуі киын. Егер иондартек қана мембрананыңлипидтік фазасы аркылы ғана өтетін болса, онда олардың ағыны өте аз болар еді. Шынында, диэлектриктік тұрақтысы s « 80 ерітіндіден 8 * 1 моль ион мембранаға ету үшін олар W потенцалдых бөгеттен өтуі керек Ол бөгеттің мәні Бор теориясы бойынша мынаған тең:
Мұндағы е - электронның заряды; г ц - ионның радиусы; Z~ электро-лит ионының заряды; N- бір кабаттан екінші кабатка өткен молекулалар саны. Na + MeH К + иондары үшін бөгеттің мәні мынаған тен болады: W « 350 н- 400 кДж/моль.
Температурасы 300°К жылулық тербелістің энергиясы небәрі RT « 2, 4 кДж/моль екен. Осы екі тәнді салыстыра келіп мембранадағы иондарға карсы әсер ететін потенциалдық бәгеттің биіктігі жылулык тербелістің потенциалдық бегетінен 130-160 есеге үлкен екендігін көреміз.
Иондардың ерітіндіден липидтік фазаға өту ықтималдығы
Осының сан мәнін табайык
Олай болса диффузия арқылы липидтердің қос кабатынан ион-дардын тікелей тасымалдану ықтималдылығы өте аз. Осыдан келіп мембранада иондарды тасымалдауға катынасатын тағы да бір орта бо-луы мүмкін деген кағида туыңдайды. Ол орта - иондық арна екен. Иондык арналар мынандай объектілерден бөлініп алынады: жасуша-лардың плазматикалык мембранасынан, синапстан кейінгі бүлшык ет жасушаларынан және т. б. Сонымен катар антибиотиктердің әсерінен пайда болатын иондықарналар бар. Олардың мынандай қасиеттері бар:
а) іріктеушілік (селективтік) ;
б) әр арна жүмысының тәуелсіздігі;
с) иондардың өткізгіштік сипатының дискреттілігі;
д) арналар параметрлерінің мембрана потенциалына тәуелділігі.
Енді осы иондык арналарды жеке-жеке карастырайық.
1. Іріктеушілік (селективтілігі) деп иондык, арна арқылы бір типті ион-дардың өтуін айтады. Мысалы Li + , Na + , K + , Rb + және Cs + үшін малюскалар мынандай нәтиже керсеткен:
Сонымен қатар К + иондары үшін арналардың өткізгіштігі мынандай:
Бұдан, бірінші мысалда Li + мен Na + иондарының өтімділігі жақсы болса, екіншісі мысалда К + иондарының етімділігі басым екенін кереміз. Осыдан иондыкарналар бір типті иондарды нашар өткізетіні көрінеді. Олай болса (селективтік) қасиеті бар. Каналдардың іріктеушілік қасиеті олардың күрылысына байланысты. Натрий арналары акуыздан құралуы мүмкін. Олай болса ультракүлгін сәуленің әсерінен натрий арналары белсенді күйге өтеді. Соның нәтижесінде сол арнадан Ка + иондары көп өтеді.
2. Әр арна жұмысының тәуелсіздігі. Иондардың бір арна арқылы өтуі баска арналар арқылы өткен иондарға тәуелді емес. Мысалы К + арнасы ашық немесе жабык болуы мүмкін, бірақ сол сәтте Na + арнасы аркылы иондар ағыны өзгермейді. Арналардың бір-біріне тікелей әсері болмағанымен, олардың жанама әсері болуы мүмкін. Мәселен, арнаның өткізгіштік қасиетінін өзгеруі өзгертеді. Мембраналык потенциалдың өзгерісі баска иондык каналдарға әсер етуі мүмкін.
... жалғасы- Іс жүргізу
- Автоматтандыру, Техника
- Алғашқы әскери дайындық
- Астрономия
- Ауыл шаруашылығы
- Банк ісі
- Бизнесті бағалау
- Биология
- Бухгалтерлік іс
- Валеология
- Ветеринария
- География
- Геология, Геофизика, Геодезия
- Дін
- Ет, сүт, шарап өнімдері
- Жалпы тарих
- Жер кадастрі, Жылжымайтын мүлік
- Журналистика
- Информатика
- Кеден ісі
- Маркетинг
- Математика, Геометрия
- Медицина
- Мемлекеттік басқару
- Менеджмент
- Мұнай, Газ
- Мұрағат ісі
- Мәдениеттану
- ОБЖ (Основы безопасности жизнедеятельности)
- Педагогика
- Полиграфия
- Психология
- Салық
- Саясаттану
- Сақтандыру
- Сертификаттау, стандарттау
- Социология, Демография
- Спорт
- Статистика
- Тілтану, Филология
- Тарихи тұлғалар
- Тау-кен ісі
- Транспорт
- Туризм
- Физика
- Философия
- Халықаралық қатынастар
- Химия
- Экология, Қоршаған ортаны қорғау
- Экономика
- Экономикалық география
- Электротехника
- Қазақстан тарихы
- Қаржы
- Құрылыс
- Құқық, Криминалистика
- Әдебиет
- Өнер, музыка
- Өнеркәсіп, Өндіріс
Қазақ тілінде жазылған рефераттар, курстық жұмыстар, дипломдық жұмыстар бойынша біздің қор #1 болып табылады.

Ақпарат
Қосымша
Email: info@stud.kz