Түйінді потенциалдар әдісі


ҚАЗАҚСТАН РЕСПУБЛИКАСЫ БІЛІМ ЖӘНЕ ҒЫЛЫМ МИНИСТРЛІГІ
«Инженерлік-экономика» факультеті
Тақырыбы: Түйінді потенциалдар әдісі
Курс:
Группа:
Орындаған:
Тексерген
МАЗМҰНЫ
Кіріспе
Электр тізбектерінің теориясы . . . 3
Негізгі бөлім
Эквивалентті генератор әдісі . . . 4
Схемалар . . . 4
Қорытынды
Күрделі тізбектің тұрақты тогын табу әдістері . . . 8
Қолданылған әдебиеттер . . . 10
Есептің қойылымы . . . 11
Есептің шығарылуы . . . 12
КІРІСПЕ
Ғылыми анықтама бойынша Электр Тізбектер Теориясы - электрлік материяның жалпы қасиеттерін, қозғалыстарын зерттейтін іргелі ілім. ЭТТ электрлік, магниттік, элетромагниттік құбылыстарды зерттейтін қанатын кең жайған ілім. Сондықтан да ЭТТ-ның дамуы басқа ілімдердің өркендеуіне күшті әсер етеді.
ЭТТ - техниканың іргетасын қалаушы ілімдердің бірі. ЭТТ-да ашылған әрбір заңдылық техниканың дәрежесін жаңа сатыға көтереді, өркендеп-өсуіне әсерін тигізеді. Бұған мысал, XIX ғасырда электромагниттік теорияның дүниеге келуі, ХХ ғасырда жартылай ток өткізгіштердің, кванттық лазерлердің ғылыми лабораторияларынан шығып өмірге келуі . . .
Техниканың өзі жетіле отырып, ЭТТ-ға өз көмегін тигізеді. Мысалы, оған қуатты энергия көзін береді, жаңа құрамдармен қамтамасыз етеді. Осылайша ЭТТ мен техника қатарласып, бірін-бірі байытып, өрлеп, дамып отырады. Жылдан-жылға бұл байланыс күшейе түсуде.
Эквивалентті генератор әдісі.
Бұл әдісті күрделі электрлік тізбектің тек бір ғана ab бұтағындағы токты есептеу қажет болған жағдайда қолданған ыңғайлы. Мысалы, күшейткіштің шығысына қосылған қабылдағышта қолданылады. Осы секілді есеп сонымен қатар, көбінесе электрлік емес үлкендіктің, автоматты реттеуші жүйе немесе тағы сол сияқты электрлік өлшем алу құрылғысын есептеу үшін кездеседі.
a) б)
в) г)
д) 1-сурет е)
ab бұтағын электр қозғаушы күш көздері, ток көздері және тұрақты кедергілері бар резисторлық элементтері бар болуы мүмкін электрлік тізбектің бүкіл қалған бөлігіне байланысты сыртқы деп санайық. Бұл бөлікті өзі a және b екі полюстерімен қосылатын, ab бұтағына қатысты белсенді екіполюстілік деп қарастыруға болады(1, a-сурет) . Бұл суретте белсенді екіполюстілік шартты түрде А (белсенді) әріпті тіктөртбұрыш түрінде көрсетілген және оның a және b полюстері де көрсетілген. Энергия көзі жоқ екіполюстілік пассивті екіполюстілік деп аталады және П әріпті (пассивті) тіктөртбұрышымен көрсетіледі.
Егер екіполюстіліктің a және b полюстарына кедергісі r ж (жүктеу) резисторлық элементін (қабылдағыш) қоссақ, онда ab бұтағының сыртқы тізбегінде I ab =I ток пайда болады(1, а-сурет) . Қарастырылып отырған тәсіл r ж (жүктеу кедергісі) резисторлық элементтегі токты есептеуге мүмкіндік береді, мұндағы белсенді екіполюстілікті эквивалентті генератор түрінде қарастырамыз. Сондықтан бұл әдістің өзі де эквивалентті генератор әдісі деп аталады.
Эквивалентті генератор параметрлерін анықтау үшін берілген электрлік тізбекте (1, a-сурет) тізбекті түрлендіру қатарын жүргіземіз.
Қабылдағышқа тізбектей және бір-біріне қарама-қарсы екі бірдей ЭҚК E 1 =E 2 (1, б-сурет) қосамыз. Бұл ЭҚК-лар бірдей және бір-біріне қарама-қарсы болғандықтан, ab бұтағындағы I ab =I ток та өзгермейді. Сонымен қатар, белсенді екіполюстің жұмыс режимі де өзгермейді, демек 1, б-суреттегі схема (1, а-сурет) берілгенінің эквиваленті.
І токты 3 токтың: І А тогы - белсенді екілікполюстің барлық энергия көздері қатысқандағы ток, І ´ тогы - E 1 ЭҚК көзі қатысқандағы ток және І ´´ - E 2 ЭҚК көзі қатысқандағы ток қосындысы деп қарастырып, 1, б-суретінде бейнеленген тізбектегі I ab =I тогын есептеу үшін беттестіру әдісін қолданамыз: І = І А + І ´ + І ´´
Белсенді екіполюстің a және b полюстері арасындағы бос жүрісінің кернеуіне U abx =U x , демек 1, в-суретте көрсетілгендей өшірулі қабылдағыш кернеуіне (І=0) тең ЭҚК-ні E 1 =E 2 таңдаймыз. Бұл жағдайда белсенді екілікполюстің барлық көздері қатысқанда және E 1 =U x ЭҚК көзі болғанда токтың жүктемеге кедергісі (1, г-сурет) нөлге тең болады (І А + І ´ =0) .
Сонымен қатар, І тогын анықтаған кезде барлық бұл көздерді кедергілері сәйкес көздерінің ішкі кедергілеріне тең резисторлық элементпен ауыстыру арқылы алып тастауға болады. Осы түрлендіруден алынған электрлік тізбектегі (1, д-сурет) белсенді екілікполюс пассивтімен ауыстырылады, оның белсенді екілік полюстің көздері қатыспағандықтан тек резисторлық элементтері ғана болады. Пассивті екілік полюстің параметріне a және b полюстері арасындағы r вх кіріс кедергісі жатады. Қабылдағышта E 2 =U x (1, д-сурет) бір ЭҚК қатысқанда І ток (1, а-сурет) берілген тізбегіндегі үшін бірдей.
Егер 1, а және д суреттерін салыстыра отырып, қорытындыласақ, онда белсенді екілікполюс үшін ЭҚК Е эк = E 2 = U x және ішкі кедергілері r эк = r вх орнатылған эквивалентті схема құруға болады, демек оны эквивалентті генератормен ауыстыруға болады.
Эквивалнтті генераторы бар электрлік тізбек үшін (1, е-сурет) :
І= Е эк / ( r ж + r эк ) = U x ( r ж + r эк ) ; (1)
(1) өрнек қабылдағыштағы токты анықтау үшін белсенді екілікполюстің тек екі параметрлерін білу жеткілікті: оның екі полюстерінің арасындағы бос жүріс кернеуін және сәйкес прибор көмегімен өлшеуге болатын кіріс кедергісі. Белсенді екілік полюстің электрлік тізбек мәнін білу міндетті емес.
Белсенді екілік полюстің параметрін анықтау үшін бос жүріс әдісі және қысқа тұйықталу әдістері жиі қолданылады. U x екілікполюсінің полюстерінің арасындағы бос жүріс кернеуін Вольтметр көмегімен, ал содан соң қысқа тұйықталған a және b полюстеріндегі (r ж =0) қысқа тұйықталу тогын амперметр көмегімен өлшеп, (1) өрнектен кіріс кедергісін анықтауға болады :
r
вх
=
;
Мысал ретінде 2, а-суреттегі электрлік тізбектегі І токты эквиваленттік генератор әдісімен есептеуді қарастырайық. Белсенді екілікполюстің a және b полюстері арасындағы бос жүрістің U x кернеуін есептеу үшін r ж резисторлық элементі бар бұтақты ашамыз (2, б-сурет) .
а)
б)
в)
2-сурет
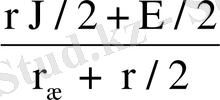
Беттестіру әдісін пайдалана отырып және электрлік тізбектің симметриялығын пайдалана отырып табамыз :
U x = rJ / 2 + E / 2.
Белсенді екілікполюстің электрлік энергия көздерін кедергілері сәйкес көздердің ішкі кедергілеріне тең кедергісі бар резисторлық элементпен ауыстырамыз, сонда пассивті екілікполюс аламыз(2, в-сурет) . Оның кіріс кедергісі (a және b полюстері арасындағы)
r вх = r / 2
(1) өрнек бойынша ізделінді ток :
І =
.
ҚОРЫТЫНДЫ
Киргхоф заңдары арқасында түйіндерге және контурлы тізбектерге арнаналған электрлік жағдай теңдеуі құрылады. Есептеуден туындаған теңдеулер саны бұтақтар санына тең, демек тізбекті шешуді қиындататындай үлкен болуы мүмкін. Сондықтан көбінесе есептеудің рационалдатылған әдістері пайдаланылады.
Егер тізбекте бірнеше көздер болса, беттестіру әдісін пайдаланып тізбекті бір көз арқылы шешу мүмкіндігі туады. Бұл жағдайда әр көз арқылы құрылған тізбектегі әр ток бір-бірінен тәуелсіз орналасады да, қосылады.
Сонымен қатар туындайтын теңдеулердің аз санымен-ақ тізбектегі бар токты табуға мүмкіндік беретін жалпы әдістер де пайдаланылады.
Бірнеше тәуелсіз контурлары бар тізбектерде (3, а-сурет) туындайтын теңдеулер санын тәуелсіз контурлар санына дейін кемітуге мүмкіндік беретін контурлы токтар әдісі пайдаланылады:
Түйіндер саны контурлар санынан аз тізбектерде (3, б-сурет) түйінді потенциалдар әдісі қолданылады. Бұнда туындайтын теңдеулер саны түйін санынан бірлікке кем болады:
Мұндағы Y 1, Y 2 және Y 3 тізбектегі 1 және 2 түйіндер арасындағы бұтақтар өтімділігі.
Егер күрделі тізбектің тек бір ғана бұтағындағы режимді зерттеу керек болса, эквивалентті генератор әдісі қолданылады. Бұл жағдайда бар қалған схема берілген бұтаққа байланысты ішкі кедергісі бар R в ЭҚК көзі U х сияқты қарастырылады.
I= U х / (R в +R)
Мұндағы, R- бұтақ кедергісі, ал эквивалентті генератор параметрлері бір-бірімен U х = I к R в қатынасы арқылы байланысады, бұндағы әр ток қысқа тұйықталу кезіндегі токқа сәйкес келеді.
Егер ерекшеленген бұтақта ЭҚК Е болса, ондағы ток мына формуламен есептелінеді:
I= (U х +Е) (R в +R),
әрі бұндағы ЭҚК белгісі жаяу жүріс кернеуіне байланысты бағытты қабылдайды.
... жалғасы- Іс жүргізу
- Автоматтандыру, Техника
- Алғашқы әскери дайындық
- Астрономия
- Ауыл шаруашылығы
- Банк ісі
- Бизнесті бағалау
- Биология
- Бухгалтерлік іс
- Валеология
- Ветеринария
- География
- Геология, Геофизика, Геодезия
- Дін
- Ет, сүт, шарап өнімдері
- Жалпы тарих
- Жер кадастрі, Жылжымайтын мүлік
- Журналистика
- Информатика
- Кеден ісі
- Маркетинг
- Математика, Геометрия
- Медицина
- Мемлекеттік басқару
- Менеджмент
- Мұнай, Газ
- Мұрағат ісі
- Мәдениеттану
- ОБЖ (Основы безопасности жизнедеятельности)
- Педагогика
- Полиграфия
- Психология
- Салық
- Саясаттану
- Сақтандыру
- Сертификаттау, стандарттау
- Социология, Демография
- Спорт
- Статистика
- Тілтану, Филология
- Тарихи тұлғалар
- Тау-кен ісі
- Транспорт
- Туризм
- Физика
- Философия
- Халықаралық қатынастар
- Химия
- Экология, Қоршаған ортаны қорғау
- Экономика
- Экономикалық география
- Электротехника
- Қазақстан тарихы
- Қаржы
- Құрылыс
- Құқық, Криминалистика
- Әдебиет
- Өнер, музыка
- Өнеркәсіп, Өндіріс
Қазақ тілінде жазылған рефераттар, курстық жұмыстар, дипломдық жұмыстар бойынша біздің қор #1 болып табылады.

Ақпарат
Қосымша
Email: info@stud.kz