Кванттық оптика негіздері


Кванттық оптика негіздері
Жылулық сәуле шығару. Денені қатты қыздырған кезде дене жарқырайды. Деннің жарқырауы оның қызғанын көрсетеді, бұл құбылысты жылулық сәуле шығару деп атайды. Жылулық сәуле шығару табиғатта ең көп тараған құбылыс, ол кез-келген дененің атомдары мен молекулаларының жылулық қозғалысы кезінде өзінен энергия бөлуі, бұл температурасы нөлден жоғары кез-келген дене үшін орындалады. Жылулық сәуле шығару - жылулық энергия әсерінен денелердің электромагниттік сәуле шығаруы. Жылулық сәуле шығару кезінде тұтас спектр пайда болады, спектрдің максимумы температураға байланысты. Температура жоғары болғанда, қысқа электромагниттік толқындар сәуле шығарады (ультрафиолетовые), температура төмен болғанда ұзын электромагниттік толқындар сәуле шығарады (инфракрасные) .
Жоғарыда айтып кететін, жарықтың сәуле шығару құбылысы - заттың құрамындағы зарядты бөлшектердің тербелісі нәтижесінде пайда болатын құбылыс. Жылулық сәуле шығару құбылысының сәуле шығару процесінің басқа түрлерінен басты айырмашылығы - зат пен оның шығаратын сәуле арасындағы энергия үлесі осы процестің өне бойында өзгермейтін тұрақты шама күйінде қалады. Сондықтан да денелер арасындағы жылу берудің бір түрі болып табылатын жылулық сәуле шығару тепе-теңдік сипатта өтетін процесс. Бұл құбылыс ден
енің сәуле шығарғыштың қабілеті
және сәуле жұтқыштың қабілеті
делінетін шамалармен сипатталады. Дененің сәуле шығаруының қабілеті
-мен белгіленеді.
(1. 1)
яғни дененің сәуле шығарғыштың қабілеті деп, бірлік ауданнан бірлік уақыт ішінде шығарылатын сәулелік энергия мөлшерін айтармыз, ол
- өлшенеді. Сәуле шығарғышты толқын ұзындығының функциясы да бола алады:
Себебі,
;
;
Мұндағы “-” бір өлшем өскенде екіншісінің кемитінін көрсетеді, мысалы:
өскен сайын
кемиді, немесе керісінше. Сондықтан біз әрі қарай “-” елемейміз.
Сондықтан
(1. 2)
осы формуланың көмегімен
-дан
-ға көше аламыз, немесе керісінше.
Бұл тек жиіліктің
,
интервалында, яғни сәуле шығаруды спектрдің әрбір бөлік үшін білгесін, оны барлық жиілік үшін интегралдаймыз:
(1. 3)
Түскен жарықты дененің жұту қабілетін сипаттайтын шаманы дененің сәуле жұтқыштың қабілеті деп аталады. Оны
әрпімен белгілейміз. Дененің сәуле жұтқыштың қабілеті деп дененің жұтқан энергиясының оған берілген энергиясына қатынасын айтамыз:
, (1. 4)
өлшемсіз шама.
да
- дененің табиғатына байланысты, Т-термодинамикалық температураға және әр түрлі жиілікке байланысты. Жиілік өте жіңішке интервалда жатады.
Егер дене өзіне түскен кез-келген температура жұтты және кез-келген ұзындықтағы жарықты түгел жұтатын болса, ондай денені
абсолют қара дене
деп атайды. Абсолют қара дене үшін
Шындығында толқын ұзындығына қарап талғамай сәуле ағынын түгел жұтатын дене, табиғатта кездеспейді. Абсолютті қара денеге біршама жақын келетін нақты дене - қара күйе (сана), черный бархат, - жарық ағынының көрінетін бөлігін түгелдей дерлік 99 % өз бойына сіңіріп алғанмен, инфрақызыл сәулені нашар сіңіреді.
Абсолют қара дене модулі ретінде сыртқы беті сәуле ағынын өткізбейтін, ал ішкі қабырғасы өзіне түскен сәуленің басым көпшілігін сіңіретін кішкене тесігі бар қуыс дене алынды. Тесік арқылы қуыс денеге енген сәуле оның ішкі бетінен сан рет шағылып, түгел дерлік дене ішінде қалып қояды. Соңғы рет шағылып сыртқа шыққан сәуле энергиясының тым аз болатындығы сонша, оны іс жүзінде елемесе болады. Мысалы, терезелер.
Абсолют қара дене (құбылысы) ұғымымен қатар сұр дене ұғымы қолданылады. Жарық жұтуы барлық жиілік үшін бірдей, тек температураға, дененің бетіне, материалына байланысты.
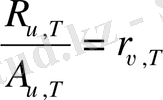
Кирхгофф заңы: тұйық жүйелердегі денелердің сәуле шығару және жұту қабілеттерін зерттей келіп неміс физигі Кирхгофф 1859 жылы мынандай заң ашты: денелердің сәуле шығарғыштың қабілетінің сәуле жұтқыштың қабілетіне қатынасы денелердің табиғатына байланыссыз, сол температурадағы және жиіліктегі барлық денелердің универсалды функциясы деп аталады:
(1. 5)
Абсолют қара дене үшін
, онда
;
.
Сондықтан Кирхгофтың универсалды функциясын
абсолют қара дененің сәуле шығарғыштың қабілеті деп те алуға болады. Яғни Кирхгофф заңын былай айтуға болады:
дененің температурасы бірдей болғанда олардың сәуле шығаруқабілетін сәуле жұтқыштың қабілетіне қатынасы дененің табиғатына байлданыссыз және сол температурадағы абсолют қара дененің сәуле шығарудағы қабілетіне те
ң:
мұндағы
,
- абсолют қатты дененің сәуле шығарғыштың және сәуле жұтқыштың қабілеті.
Бұл заң тек белгілі жиілікте немесе белгілі толқын ұзындығында.
- абсолют дене үшін.
абсолют қара дененің толық сәуле шығару қабілеті Т-ға байланысты. Абсолют қара дененің спектріндегі энергияның жіктелуі нәтижесінде екі заң ашылды:
Стефан - Больцман заңы:
Абсолют қара дененің толық (барлық спектр бойынша) сәуле шығару қабілеті оның абсолют температурасының төртінші дәрежесіне тура пропорционал , яғни:
σТ
4
(1. 6)
мұндағы
- Стефан-Больцман тұрақтысы.
Стефан-Больцман заңы
температураға байланысты екенін таба отырып, абсолют қара дененің сәуле шығару қабілетінінң спектрлік құрамына жауап бермейді.
байланысты қисығында әр түрлі температурадағы энергияның таралуы абсолют қара дененің спектрі біркелкі емес. Барлық қисықтың max бар, және температура өскен сайын ол max қысқа толқынға қарай ығысады.
Неміс физигі Вин термо және электродинамика заңдарына сүйене отырып былай деп тұжырымдады :
Абсолют қара дененің сәуле шығарғыштық қабілетінінң ең жоғарғы мәніне (max мәніне) сәйкес келетін толқын ұзындығы
оның абсолют температурасына кері пропорционал
:
, (1. 7)
мұндағы
- Вин тұрақтысы. Бұл формуладан абсолют қара дененің температурасы төмендеген сайын оның сәулелік энергиясының ең жоғарғы мәні ұзын толқындар аймағына ауысатыны байқалады.
Сондықтан бұл заң кейде Виннің ығысу заңы деп те аталады. Вин заңы да, Стефан-Больцман заңы да жылулық сәуле шығаруда теориясында үлкен роль атқарғанымен, әр түрлі температурада энергияның таралуының жиілікпен жалпы картинасын бермейді. Кирхгофтың универсалды функциясының
(1. 8)
- Іс жүргізу
- Автоматтандыру, Техника
- Алғашқы әскери дайындық
- Астрономия
- Ауыл шаруашылығы
- Банк ісі
- Бизнесті бағалау
- Биология
- Бухгалтерлік іс
- Валеология
- Ветеринария
- География
- Геология, Геофизика, Геодезия
- Дін
- Ет, сүт, шарап өнімдері
- Жалпы тарих
- Жер кадастрі, Жылжымайтын мүлік
- Журналистика
- Информатика
- Кеден ісі
- Маркетинг
- Математика, Геометрия
- Медицина
- Мемлекеттік басқару
- Менеджмент
- Мұнай, Газ
- Мұрағат ісі
- Мәдениеттану
- ОБЖ (Основы безопасности жизнедеятельности)
- Педагогика
- Полиграфия
- Психология
- Салық
- Саясаттану
- Сақтандыру
- Сертификаттау, стандарттау
- Социология, Демография
- Спорт
- Статистика
- Тілтану, Филология
- Тарихи тұлғалар
- Тау-кен ісі
- Транспорт
- Туризм
- Физика
- Философия
- Халықаралық қатынастар
- Химия
- Экология, Қоршаған ортаны қорғау
- Экономика
- Экономикалық география
- Электротехника
- Қазақстан тарихы
- Қаржы
- Құрылыс
- Құқық, Криминалистика
- Әдебиет
- Өнер, музыка
- Өнеркәсіп, Өндіріс
Қазақ тілінде жазылған рефераттар, курстық жұмыстар, дипломдық жұмыстар бойынша біздің қор #1 болып табылады.

Ақпарат
Қосымша
Email: info@stud.kz