Магнит өрісі туралы


Тақырып: Магнит өрісі. Электромагниттік тербелістер. Айнымалы электр тоғы
Магнит өрісі
Электр зарядын қоршаған ортада электростатикалық өріс болатыны сияқты токтарды қоршаған ортада магнит өрісі болады. Магнит өрісі осы өріске әкелінген тоғы бар өткізгішке әсер ететін күш арқылы білінеді. Ток айналасында магнит өрісі болатынын бірінші рет 1820 жылы дат физигі Эрстед тәжірибе жүзінде ашқан. Ол тогы бар өткізгіш маңында магнит стрелкасын қойсақ, стрелканың ток бағытына қарай бұрылатынын байқаған. Магнит өрісін зерттеу үшін тогы бар жазық тұйықталған контур қолданылады. Рамка арқылы ток жүргенде, ол белгілі бір бұрышқа бұрылады. Рамканың айналу бағыты арқылы магнит өрісінің бағыты анықталады. моменті
Магнит өрісінің рамканы айналдырушы
(1. 1)
мұндағы
тогы бар рамканың магнит моменті векторы.
магнит индукция векторы,
контурғы нормаль бірлік вектор,
магнит өрісінің токқа әсер ететін күшін сипаттайды. Олай болса, магнит индукциясы айналу моментіне пропорционал шама
(1. 2)
Магнит өрісі магнит индукциясының күш сызықтарымен кескінделеді. Ол сызықтар тұйық болады және кез келген нүктесі арқылы жүргізілген жанама индукция векторымен бағыттас болады. Магнит индукция векторының бағытын оң бұранда ережесі бойынша да анықтауға болады. Өлшем бірлігі тесла (Тл) .
Ампердің болжамына қарағанда кез келген денелердің атомдары мен молекулаларының қозғалысынан пайда болатын микротоктар болады. Микротоктар денелер ішінде өзінің магнит өрісін тудырып макротоктардың бағытын өзгертуі мүмкін. Макроток деп өткізгіш бойымен өтіп жататын токты айтады. Сондықтан индукция векторы
микротоктар мен макротоктардың біріккен өрісін сипаттайтын векторлық шама. Макротоктар туғызатын магнит өрісі кернеулік векторы деп аталатын
шамамен сипатталады. Біртекті ортада
(1. 3)
Мұнда
- магнит тұрақтысы,
ортаның магниттік өтімділігі, яғни сыртқы макротоктар магнит өрісінің макротоктарының әсерінен қанша есе өсетіндігін көрсетеді.
Француз физиктері Био және Савар тәжірибелер арқылы әртүрлі пішінді тұрақты токтың айналасындағы магнит өрістерін зерттеген. Лаплас сол зерттеулердің нәтижелерін жинақтап кез келген пішіндегі контурдың бөліктеріне жарамды магнит өрісінің қорытқы индукциясын анықтауға болатын заңдылықты ашты.
Ол заңдылық бойынша J тогы бар өткізгіштің
элементінің өрістің бір С
нүктесіндегі магнит индукциясы
модулы
(1. 4
/
)
Осы өрнек, электромагниттік құбылыстар үшін Био-Савар- Лаплас заңы деп аталады.
векторы
және
құрайтын жазықтыққа перпендикуляр болып, индукция сызықтарына жанама болады, бағыты бұранда ережесі бойынша анықталады.
Суперпозиция принципін қолданып, барлық ток элементтерінің магнит индукциясы векторларының қосындыларын интегралдау арқылы анықтауға болады
. (1. 5) Интегралды өткізгіштің
ұзындығы бойынша аламыз. Био-Савар-Лаплас заңының кейбір симметриялы токтардың магнит өрісін есептеу үшін қолданылуы.
1. Шексіз түзу өткізгіштің бойымен өткен токтың магнит өрісін анықтау. Өрістің
нүктесіндегі магнит индукциясын есептейік. Өрістің
нүктесіндегі
элементінің
индукцияларының бағыттары бірдей (чертеж жазықтығына перпендикуляр) болады. Суреттен мына қатынастарды жазуға болады:
,
, Био-Савар-Лаплас заңы бойынша:
Бұрыш
шексіз тұзу өткізгіштің барлық элементтері үшін 0
0
-ден 180
0
дейін өзгереді деп интегралды есептейік:
;
(1. 6)
2. Дөңгелек токтың центріндегі магнит өрісін анықтау. Мұндай өткізгіштің барлық
элементтері О центрінен бірдей R қашықтықта болады. Магнит индукциясының бағыты центр арқылы контурға перпендикуляр бағытталады.
Сондықтан (6. 4 / ) өрнекке сәйкес
,
(1. 7)
Тогы бар өткізгішке магнит өрісінің әсер күшін Ампер зерттеп анықтады :
Ампер күшінің модулі
(1. 8
/
)
Мұндағы
ток бағытымен индукция векторының арасындағы бұрыш. Ампер күшінің бағыты сол қол ережесі бойынша анықталады.
Параллель токтардың өзара әсерлесуі. Өзара әсерлесу күштерін анықтау үшін бір - бірінен d ара қашықтықта орналасқан шексіз ұзын, түзу параллель
өткізгіштерде J
1
және J
2
токтары болсын. Бұлардың әрқайсысы өз маңында магнит өрісін тудырады да олар Ампер заңы бойынша бір бірімен әсер етеді. J
1
тогы бар өткізгіштің магнит өрісіне J
2
тогы бар өткізгішті орналастырсақ, онда J
1
токтың магнит өрісінің күштері J
2
токтың d
элементіне әсер етеді. Ампер заңына сәйкес J
1
ток тарапынан
ал J
2
ток тарапынан
күштері бір-біріне әсер етеді.
.
Олай болса, екі токтың арасындағы әсер күші
(1. 9) Бағыттас параллель токтар бір-біріне тартылады, қарама-қарсы токтар бір-бірінен тебіледі. Ток күшінің өлшем бірлігі ампер (А) деп вакуумда бір-бірінен 1м қашықтықта орналасқан шексіз ұзын параллель екі өткізгіштен ток өткенде олардың арасында әрбір метр ұзындыққа
-ға тең күш әсерін туғызатын ток күшін айтады. Осыдан тұрақты
дің мәні табылады:
.
Лоренц күші. Магнит өрісінде тогы бар өткізгіштің қозғалуы.
Магнит өрісінде индукция векторы
шамасы жағынан барлық жерде бірдей және бағыттас болса, мұндай өрісті біртекті магнит өрісі деп атайды. Біртекті өрістің индукция векторының күш сызықтары параллель болады. Осындай біртекті өрісте ауданы S бет перпендикуляр болып орналассын. Сонда магниттік векторының
жазық беттің ауданына S көбейтіндісі осы бет арқылы өтетін магнит ағыны деп аталады.
Егер жазық бетке жүргізілген нормаль
индукция векторымен
бұрыш жасай орналасса
(1. 10)
бұрышының мәні.
Оған сәйкес
болуы мүмкін. Кез келген S бет арқылы өтетін магнит ағыны мына түрде жазылады
,
Кез келген тұйық бет арқылы өтетін магнит ағыны әр уақытта нолге тең болады:
(1. 11)
Осы формула магнит өрісі үшін Остроградский-Гаусс теоремасы деп аталады. Магнит ағынының өлшем бірлігі Вебер (Вб) . 1Вб=1Тл/м 2 . Бұл теореманың физикалық мәні, табиғатта (электр зарядтар сияқты) магнит индукциясының күш сызықтарының бір жерден басталып, екінші жерде аяқтала алатындай магниттік зарядтардың болмайтындығын көрсетеді
Магнит өрісіндегі тұйық контурдың индукция векторының циркуляциясы деп мынадай интегралды айтамыз
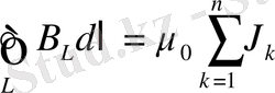
. Вакуумдағы магнит өрісі үшін толық токтың заңдылық тұжырымдамасы:
Кез келген тұйық контур арқылы өтетін магнит индукция векторының циркуляциясы магнит тұрақтысын контур арқылы өтетін токтардың алгебралық қосындысына көбейткенге тең, яғни
(1. 12)
мұнда n-контур арқылы өтетін ток саны. Магнит өрісінің индукция векторының циркуляциясы нөлге тең болмайды. Мұндай өрістерді құйынды өріс деп атайды.
Магнит өрісінде тогы бар өткізгіш және контур орын ауыстырғанда істелетін жұмыс. Сыртқы біртекті магнит өрісінде тогы бар өткізгіш еркін қозғалатын болсын. Магнит өрісінде тогы бар өткізгіш қозғалып орын ауыстырғанда ампер күшінің әсерінен жұмыс істелінеді.
Мысалы ұзындығы
түзу өткізгіштің бойымен ток өткенде, өткізгіш қозғалып
орнына тоқтады делік. Магнит өрісі контур жазықтығына перпендикуляр. Ток күші мен индукция векторының арасындағы бұрыш 90
0
. Сонда Ампер заңы бойынша
. Осы күштің әсерінен өткізгіш
арақашықтыққа орын ауыстырған кездегі магнит өрісінің жұмысы
. Мұндағы
- өткізгіштің жүріп өткен магнит өрісінің ауданы,
екенін ескерсек,
(1. 13)
Сонымен, магнит өрісінде тогы бар өткізгіш орын ауыстырғанда істелетін жұмыс ток күші мен S ауданы арқылы өтетін магнит ағынының көбейтіндісіне тең болады. Жалпы түрде (1. 13)
болып жазылады,
- қозғалыстағы өткізгіш қиып өткен магнит ағыны.
Магнит өрісінде тогы бар тұйық контур қозғалады делік. Бұл жағдайда да Ампер күші әсерінен жұмыс істелінеді, ол мынаған тең
Мұндағы
- контур жазықтығын бірінші күйінде,
- екінші күйінде тесіп өтіп тұрған магнит ағындары. Тогы бар тұйық контур магнит өрісінде орын ауыстырған кезде істелетін жұмыс ток күші мен контур жазықтығынан өтіп тұрған магнит ағындарының айырмасына көбейткенге тең. Осы теңдеу әр түрлі пішінді тұйық контур үшін және біртекті емес магнит өрістері үшін қолданылады.
Магнит өрісінің қозғалыстағы зарядқа тигізетін әсері. Магнит өрісі тек тогы бар өткізгішке ғана емес, кез келген қозғалыстағы зарядтарға да әсер ететіндігін көптеген эксперименттердің нәтижелері дәлелдейді. Магнит өрісіндегі әр зарядқа әсер ететін күшті Лоренц
күші деп атайды. Ол мынаған тең
- жылдамдығы,
- сол өрістің индукция векторы. Лоренц күшінің бағыты сол қол ережесі бойынша анықтайды. Лоренц күшінің модулі
(1. 14
/
)
бұрышы
-пен
арасындағы бұрыш. Лоренц күші әрқашанда зарядталған бөлшектің қозғалыс жылдамдығына перпендикуляр болады, сондықтан ол қозғалыстың бағытын ғана өзгетіп, жылдамдық модулін өзгертпейді.
Олай болса Лоренц күші жұмыс жасамайды, зарядталған бөлшектердің кинетикалық энергиясы өзгермейді. Егер қозғалыстағы зарядқа магнит өрісімен қатар электр өрісі де әсер ететін болса, онда қорытқы күш
(1. 15)
Бұл өрнек Лоренц формуласы деп аталады.
Зарядталған бөлшектердің біртекті магнит өрісіндегі қозғалысын қарастырайық:
1. Зарядталған бөлшектің қозғалыс жылдамдығы
индукция күш сызықтарының бойымен бағытталса,
, (2. 7
/
) формула бойынша Лоренц күші нолге тең болады да, бөлшек бірқалыпты түзу сызықты қозғалады.
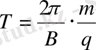
2. Зарядталған бөлшектің қозғалыс жылдамдығы
, өріс индукция векторына перпендикуляр бағытталса, Лоренц күші жылдамдық бағытын өзгертеді де модулі тұрақты қалады. Бөлшек шеңбер бойымен қозғалады, оның радиусы мына қатынастан табылады:
осыдан
(1. 16)
Ал периоды
осыған (2. 9) -дан
мәнін қойсақ
(1. 17)
3. Зарядталған бөлшектің қозғалыс жылдамдығы
, индукция
векторымен
бұрыш жасай бағытталса, бөлшектің қозғалу траекториясы спираль тәрізді болады. Оны екі қозғалыстың нәтижесі деп қарастырсақ:
1)
жылдамдықпен түзу сызықты бірқалыпты қозғалады
2)
жылдамдықпен бір қалыпты шеңбер бойымен қозғалады. Зарядталған бөлшектердің үдеткіштері деп электр және магнит өрістерінің күштерімен жоғары энергиялы зарядталған бөлшектер тогы алынатын және қозғалысқа басқарылатын қондырғыларды айтады. Олардың қатарына: сызықты үдеткіш, сызықты резонансты үдеткіш, циклотрон, фазатрон, синхротрон, синхрофазатрон т. б. жатады.
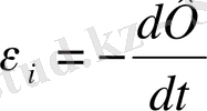
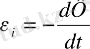
Электромагниттік индукция құбылысы
. Бізге белгілі электр тогы өзінің айналасында магнит өрісін тудырады. Магнит өрісі мен электр тоғының арасындағы байланыс осы магнит өрісінің көмегімен контурда ток пайда бола ма деген сұрақтың шешімін 1831ж ағылшын физигі Фарадей шешті. Оның тәжірибесінде гальванометрге жалғанған катушканың (соленоид) ішіне, тұрақты магнит салсақ, гальванометр стрелкасының қозғалысын байқаймыз. Магнитті қайтадан суырып алсақ, стрелка басқа бағытқа ауытқиды. Магнитті неғұрлым тезірек қозғалтса, стрелка соғұрлым көбірек ауытқиды. Демек, магнит өрісінің күш сызықтары тұйық контурды қиып өткенде ток пайда болады, ол токты индукциялық ток деп атайды. Магниттің полюсін өзгертсек, стрелканың бұрылу бағыты өзгереді. Магнитті тұрақты қойып, соленоидты қозғауға да болады. Әрі осы пайда болған индукциялық ток, магнит ағынының өзгеру түріне байланыссыз, ол тек өзгеріс жылдамдығына байланысты. Магнит өрісі арқылы өндіріп алған индукциялық ток осы тізбекте ЭҚК бар екенін көрсетеді. Бұл ЭҚК электромагниттік индукцияның электр қозғаушы күші деп аталады. Яғни магнит өрісі арқылы индукциялық ток өндіріп алу құбылысын
электромагниттік индукция құбылысы
деп атайды. Индукциялық токтың мәні және электромагниттік индукцияның ЭҚК тек қана магнит ағынының өзгеру жылдамдығымен анықталады:
~
.
Енді пайда болған
таңбасын анықтау керек. Магнит ағынының таңбасы контурдағы оң нормальдің бағытына байланысты, ал оң нормальдің таңбасы токтың оң бұранда ережесімен анықталады. Бұдан оң нормальдің белгілі бір бағытын таңдай отырып, біз магнит индукция ағынының таңбасын және контурдағы ЭҚК мен индукциялық ток бағытын анықтаймыз. Осындай қортындыларды ескере отырып, Фарадей электромагниттік индукция заңын қорытып шығарды: өткізгіш контурында пайда болатын индукциялық ЭҚК
шама жағынан сол контурмен шектелген бет арқылы өтетін магнит ағынының өзгеру
жылдамдығына тура пропорционал да, бағыты жағынан оған қарама-қарсы
(1. 19)
Бұл электромагниттік индукция құбылысының негізгі заңы немесе Фарадей заңы деп аталады, әрі бұл универсиалды заң.
Мұндағы минус таңбасы магнит ағынының өзгерісінің өсуі
, контурдағы ЭҚК азаюын
туғызады, яғни индукциялық тоқтың өрісі магнит ағынына қарсы бағытталады; ал ағынның кемуі
, ЭҚК
туғызады, ағынының бағыты индукциялық тоқтың өріс бағытымен бағыттас болады. Бұл минус таңбасы орыс ғалымы Ленц ережесінің математикалық өрнегі. Ленц ережесі электромагниттік индукция нәтижесінде пайда болған индукциялық тоқтың бағытын анықтауға арналған негізгі ереже: тұйықталған контурда пайда болған индукциялық тоқтың бағыты, контур арқылы өтетін осы тоқты тудырған магнит ағынының өзгерісіне кедергі келтіре бағытталады.
Гельмгольц бірінші рет Фарадей заңы энергияның сақталу заңынан шықты деп қорытынды жасады. Ол АС бөлігі жылжымалы тұйық контур алды.
Контурға ЭҚК
-ге тең ток күші жалғансын.
уақыт ішінде ЭҚК орындайтын жұмысы:
(1. 20)
Мынадай екі жағдайды қарастырайық:
1. Тұйық контурға магнит өрісі әсер етпейді, сонда ЭҚК-нің жұмысы түгелімен жылу бөлуге жұмсалады:
2. Тұйық контур біртекті магнит өрісінде орналасып, оның күш сызықтары контур жазықтығына перпендикуляр бағытталсын. Сонда магнит өрісі тарапынан тоғы бар тұйық өткізгішке күш әсер етеді де соның нәтижесінде тұйық контурдың жылжымалы АС бөлігі қозғалысқа келеді. Осы кезде механикалық жұмыс істелінеді:
мұндағы
бұдан
, себебі
Сонымен тұйық контурдағы ток көзінің ЭҚК жұмысы жылу бөліп шығаруға және контурдың жылжымалы АС бөлігін қозғалтуға қажетті механикалық жұмыс атқаруға жұмсалады:
, яғни
теңдіктің екі жағын да
-ге қысқартамыз.
уақыт ішінде ток өзгеріп отырады, сондықтан уақытты өте аз
етіп алсақ, ток күші өзгеріп үлгере алмайды:
осыдан
, (1. 21)
мұндағы
электромагниттік индукция құбылысы үшін Фарадей заңы.
Магнит өрісіндегі рамканың айналуы.
Электромагниттік индукция құбылысы механикалық энергияны электр тоғының энергиясына айналдыру үшін генераторларда пайдаланылады. Генератордың жұмыс істеу принципін рамканың біртекті магнит өрісінде айналуын мысалға ала қарастыруға болады. Жазық рамка біртекті магнит өрісінде
бірқалыпты бұрыштық жылдамдықпен
айналсын. Кез-келген уақыттағы рамканың магнит ағыны:
мұндағы
уақыттың
моментіндегі раманың бұрылуы. Рамканың айналуы кезінде мұнда айнымалы индукцияның ЭҚК пайда болады:
(1. 22)
гармониялық заң бойынша өзгереді.
болғанда,
ең үлкен мәніне ие болады:
(1. 23)
(1. 22) және (1. 23) ескере былай жазуға болады:
.
Егер біртекті магнит өрісінде жазық рамка бірқалыпты айналса, онда рамкада айнымалы ЭҚК пайда болады, айнымалы ЭҚК гармониялық заңмен өзгереді. жұмыс істеу принципі осыған негізделген. Электродвигательдер арқылы механикалық энергияларды, электр энергиясына айналдырады. Қазіргі өндірістегі айнымалы электр тогының жиілігі
.
Контурдың
индуктивтілігі. Өздік индукция
Қандайда бір тұйық контур арқылы ток жүрсе, оның магнит өрісі осы контур мен шектелген ауданды қиып өтеді. Контурдағы токтың шамасы өзгерсе, онда оның контуры арқылы өтетін магнит ағыны да өзгереді. Сондықтан контурда индукциялық ток пайда болады. Осындай контур арқылы жүретін ток өзгергенде, контурда индукциялық токтың пайда болуын өздік индукция құбылысы деп атайды. Ол электромагниттік индукцияның бір түрі. Катушкада ток өзгергенде оның магнит өрісі де өзгереді, демек катушканың өзінде ЭҚК пайда болады. Оны өздік индукциялық ЭҚК деп атайды. Био-Савар-Лаплас заңы бойынша
екенін білеміз, олай болса магнит ағыны да тоққа тура пропорционал, яғни
(1. 24)
Мұндағы
-пропорционалдық коэффициент, оны контурдың индуктивтілігі немесе индукция коэффициенті деп атайды. Өлшем бірлігі
. Шексіз ұзын соленоидтың индуктивтілігін табайық. Соленоидтан өтіп жатырған магнит ағыны мынаған тең:
,
-бірлік ұзындықтағы орамдар саны. Бұл формуланы (3. 6) қойып, индуктивтілікті табамыз:
(1. 25)
Соленоидтың индуктивтілігі
орам санына, оның
ұзындығына, көлденең қимасының
ауданына және сонымен қатар соленодттың өзекшесі жасалған заттың магниттік өтімділігіне
байланысты. Контурдың индуктивтілігі, өткізгіштің кедергісі сияқты контурдың геометриялық пішініне, өлшеміне және сонымен қатар ортаның магниттік өтімділігіне байланысты.
Өздік индукция құбылысына Фарадей заңын пайдалана отырып, өздік индукцияның ЭҚК анықтаймыз:
. Егер контур деформацияланбаса
және магниттік өтімділігі
өзгермесе, онда
(1. 26)
мұндағы минус Ленц ережесімен түсіндіріледі. Егер ток артса
онда
кемиді. Өздік индукция тогы контурдағы негізгі токқа қарсы бағытталады да, оның өсуін баяулатады. Ал
болса, онда
болады. Бұл жағдайда индукция тогы негізгі токпен бағыттас болады да, кемуін баяулатады. Өздік индукция тогын экстра ток дейді.
Өзара индукция құбылысы.
Бір-біріне жақын орналасқан екі қозғалмайтын тұйық контур қарастырамыз. Егер бірінші контурда
ток жүрсе, онда осы ток тудырған магнит ағыны
екінші контурды кесіп өтеді. Бұдан
(1. 27)
мұндағы
пропорционалдық коэффициент. Контурдағы
ток өзгерсе, онда екінші контурда ЭҚК
пайда болады. Фарадей заңы бойынша бұл ЭҚК 1-ші контурдағы тоқтан туған магнит ағынының өзгерісіне тең, бірақ бағыты жағынан қарама-қарсы:
.
Дәл жоғарыдағыдай екінші контурда тоқ өзгеретін болса, онда бірінші контурда ЭҚК пайда болады:
. Бір контурдағы тоқтың өзгерісінен келесі контурда ЭҚК пайда болу құбылысын өзара индукция құбылысы деп атайды.
және
пропорционалды коэффициенттерін, контурлардың өзара индуктивтіліктері деп атайды. Есептеулер бойынша олар бір-біріне тең:
.
Трансформаторлар.
Бір кернеулі айнымалы тоқты екінші басқа кернеулі айнымалы токқа түрлендіретін электр техникалық құрал трансформаторлар деп аталады. Трасформатордың жұмыс істеу принципі өзара индукция құбылысына негізделген. Ең бірінші рет құрастырған орыс электр технигі физик П. Н. Яблочков. Трансформатор болаттан жасалған екі тұйық өзекшеден тұрады. Алғашқы орамы
, орам саны айнымалы ток көзіне жалғанады. Оның міндеті өзіне келген айнымалы токты трансформатордың екінші орамына тасымалдау. Ал екінші
орам өзіне келген айнымалы токты не күшейтеді, не әлсіретеді. Ол орам санына байланысты.
Магнит өрісінің энергиясы.
Бойында ток өтіп жатырған өткізгіштің жан-жағында магнит өрісі болады, әрі ол магнит өрісінің пайда болуы немесе жоғалып кетуі өткізгіште токтың болуына байланысты. Магнит өрісі электр өрісі сияқты энергия тасымалдаушы болып табылады. Бойыннан
ток өтіп жатырған индуктивтілігі
контурды алып қарастырамыз. Бұл контурмен өтіп жатырған магнит ағыны
, контурдың бойымен өтіп жатырған
токты өзгертсек, магнит ағыны
да өзгереді. Бірақ магнит ағынын өзгерту үшін жұмыс жасау керек:
. Магнит
ағынын тудыру үшін істелінген жұмыс:
, бұл жұмыс контурдағы магнит өрісінің энергиясына тең:
(1. 28)
Соленоидтың магнит өрісін қарастырамыз:
,
. Бұдан
және
пайдаланып, энергияны табамыз
. (1. 29)
Мұндағы
соленоидтың көлемі. Соленоидтың ішіндегі магнит өрісі біртекті және магнит өрісінің энергиясы осы соленоидтың ішінде тұрақты көлемдік тығыздық арқылы бөлінеді:
(1. 30)
Бұл формула тек біртекті магнит өрісі үшін ғана емес, сонымен қатар біртекті емес магнит өрісі үшін де дұрыс. Тек
мен
сызықты байланыста болатын орта үшін дұрыс.
Құйынды электр өрісі. Ығысу тогы.
Фарадейдің заңы бойынша кез-келген тұйық контур арқылы өтетін магнит ағыны өзгерсе, ол контурда индукциялық ток пайда болады. Олай болса, контурда э. қ. к. (
) болады. Тізбектегі э. қ. к. тек бөгде күш механикалық, жылулық процесстер мен байланысты еместігін көрсетеді. Бұл бқгде күштердің тууына себепші болып отырған, контурдағы айнымалы магнит өрісі. Бірақ айнымалы магнит өрісі контурда өздігінен ток туғыза алмайды, себебі магнит өрісі қозғалмайтын зарядтарға әсер етпейді. Сондықтан Максвелл мынандай болжам айтты: Айнымалы магнит өрісі, сол жерде әр уақытта айнымалы электр өрісін туғызады.
Осы болжам бойынша контурдағы э. қ. к. - айнымалы магнит өрісін
тудырған, ал ол айнымалы электр өрісін туғызады. Сонда айнымалы магнит өрісі тудырған, айнымалы электр өрісінің контурдағы циркуляциясы
(1. 31)
Мұндағы
,
-векторларының
-дегі проекциясы. Осы
теңдікке магнит ағынының мына мәнін
қойсақ, онда (4. 1) былай жазылады.
(1. 32)
- Іс жүргізу
- Автоматтандыру, Техника
- Алғашқы әскери дайындық
- Астрономия
- Ауыл шаруашылығы
- Банк ісі
- Бизнесті бағалау
- Биология
- Бухгалтерлік іс
- Валеология
- Ветеринария
- География
- Геология, Геофизика, Геодезия
- Дін
- Ет, сүт, шарап өнімдері
- Жалпы тарих
- Жер кадастрі, Жылжымайтын мүлік
- Журналистика
- Информатика
- Кеден ісі
- Маркетинг
- Математика, Геометрия
- Медицина
- Мемлекеттік басқару
- Менеджмент
- Мұнай, Газ
- Мұрағат ісі
- Мәдениеттану
- ОБЖ (Основы безопасности жизнедеятельности)
- Педагогика
- Полиграфия
- Психология
- Салық
- Саясаттану
- Сақтандыру
- Сертификаттау, стандарттау
- Социология, Демография
- Спорт
- Статистика
- Тілтану, Филология
- Тарихи тұлғалар
- Тау-кен ісі
- Транспорт
- Туризм
- Физика
- Философия
- Халықаралық қатынастар
- Химия
- Экология, Қоршаған ортаны қорғау
- Экономика
- Экономикалық география
- Электротехника
- Қазақстан тарихы
- Қаржы
- Құрылыс
- Құқық, Криминалистика
- Әдебиет
- Өнер, музыка
- Өнеркәсіп, Өндіріс
Қазақ тілінде жазылған рефераттар, курстық жұмыстар, дипломдық жұмыстар бойынша біздің қор #1 болып табылады.

Ақпарат
Қосымша
Email: info@stud.kz