Термодинамиканың екінші бастамасы


ТЕРМОДИНАМИКАНЫҢ ЕКІНШІ ЗАҢЫ
Тіршілікте бізді қоршаған құбылыстар мен қозғалыстар үлкен үш топқа бөлінеді. Бірінші топтағы жұмыстарды жүргізу үшін сырттан күш жұмсалады және ол күштің мөлшері осы жұмысқа ту-ра пропорционалды. Мысалы, бір жүкті жоғары көтеру, тұрақты токты пайдаланып суды ыдырату, жер жырту, бір орнынан екінші орынға берілген затты тасымалдау сияқты жұмыстар осы топтағы жұмыстар мен қозғалыстарға дәлел. Оларды жүргізу үшін күш жүмсау қажет. Демек, бұл топтағы жұмыстар өздігінен жүрмейді және оларды еріксіз жүргізілетін жұмыстар дейді екен. Екінші топқа өздігінен жүретін жұмыстар жатады. Мұндағы жұмыс нәти-жесінде сыртқы күшке қарсы жұмыс алынбайды. Оларға ешбір кедергісіздік жағдайларындағы горизонталь жазықтықтың үстін-де кішкене шардың дөңгелей қозғалуы, сағат маятнигінің тербел-мелі қозғалуы мысал. Ал үшінші топтағы жұмыстарға өздігінен, емін-еркін жүретін процестер жатады немесе мұндағы жұмыс нә-тижесінде пайда болатын өзгеріске, оған пропорционалды түрде сырттан күш жүмсалмайды. Оған көтерілген жүктің төмен түсуі, тастың құлауы, күшті қышқыл мен күшті негіздің өзара бірін-бірі нейтралдауы, жұмыс істеп түрған гальваникалық злементтегі кез келген химиялық реакциялар^ көмір, жанар май, газ сияқты отын-дардың жануы, қопарылғыш заттардың жарылуы, ылғалды атмос-ферадағы металдың (темірдің) тотықтануы сияқты өмір мен өнді-рісте жиі кездесетін құбылыстар мен процестер мысал. Үшінші топтағылар оң, ал бірінші топтағы, өздерінің жүруі үшін тыстан күш қажет ететіндер теріс жұмыс делінеді, екінші топтағыда жұ-мыс жоқ. Сонымен табиғатта кездесетін процестер ешбір күш жұмсамаса да жүретін болса, оны табиғи немесе өздігінен жүретін процестер дейді. Ал сырттан күш жұмсап жұмыс жүргізу нәтижесінде пайда болатын процесті еріксіз немесе табиғи кері ағымдағы процестер дейді екен. Оқшауланған системалардағы процестер өздігінен жү-реді. Олай болса, оқшауланған системадағы процестер әркез тепе-теңдікте болады және сырттан күш жұмсап, системадагы энергия-ны өзгертпейінше, ол осы тепе-теңдік қалпын сақтайды. Система-дағы тепе-теңдік жағдайын анықтаудың теориялық та, қолданбалы да маңызы зор. Термодинамиканың бірінші заңы процестердің бағыты мен теңдік күйі жайлы мағлұмат бермейді. Мұны түсін-діру үшін термодинамиканың екінші заңы колданылады. Термодинамиканың екінші заңы да бірінші заң сияқты адамзат өміріндегі тәжірибелер негізінде туған. Оның қалыптасуына жылу машина-ларының пайдалы әсер коэффициентін анықтау, есептеу кезіндегі зерттеулер көп әсер етті.
Термодинамиканың екінші заңы саналатын қорытынды Қарно-ның 1824 жылы “Оттың (жылудың) қозғаушы куші және сол күш-ті үдететін машина туралы ойлану” деген еңбегінде алғаш ғылы-ми тұрғыдан көрсетілді. Осы ойды 1850 жылы Клаузиус математи-калық өрнекпен дәлелдей келіп, жылу салқын денеден өздігінен ыстық денеге ауыспайды деген пікір айтты. Ал, 1854 жылы Кель-вин кез келген денедегі жылуды басқа қосымша эрекет етпестен, тек салқындату салдарынан ғана жұмысқа айналдыруға болмайды десе, Оствальд екінші тектегі мэңгілік двигательді жасау мүмкін емес деді.
Жоғарыда келтірілген тұжырымдардың әрқайсысының термо-динамиканың екінші заңына пара-пар екенін дәлелдеу қиын емес. Егер олардың біреуін негізгі постулат ретінде алса, қалғандары соньщ салдары болып шығады. Әрбір макроскопиялық система көптеген бөлшектерден тұрады. Ал мұндай системаларға ықтималдық теориясының заңдары қол-данылады. Егер табиғи процестердің бәріне де нақ осы тұрғыдан қарасақ, кез келген процестін, өзгерістің ықтималдығы аз жағдай-дан ықтималдығы көбірек жаққа ұмтылатыны анық. Мұндай пікір де термодинамиканың екінші зааына анықтама бола алады. Дәл осы секілді, диффузия салдарынан екі не онан да көп газдардың өзара еркін араласуы, жылу алмасу (жылжу, қозғалу) нәтижесін-де ыстық денедегі жылудың салқын денеге ауысуы, тағы да басқа процестер зерттелетін система күйінің ықтималдығымен тығыз байланысқан. Термодинамикада ықтималдық теориямен қатар ста-тистика да қолданылады. XIX ғасырдын, екінші жартысында ста-тистикалық сипатты пайдаланып, термодинамика екінші заңының мәні толық ашылып, дәлелденді. Бұл салада, елеулі еңбек еткен ғалымдар Больцман, Гиббс, Смолуховский тағы басқалар. Термодинамиканың бірінші заңы берілген процестің оң немесе теріс болатыны туралы мағлұмат бермейді. Сондай-ақ бірінші заң салқын денедегі жылудың ыстық денеге ауысуын терістемейді және ерітіндінің өздігінен құрамдас заттарға бөлінуі немесе көмір қышқыл газы мен судьщ қалыпты жағдайда өздігінен ыдырауы сиякты процестерге қайшы болмайды. Берілген системадағы процесс өздігінен жүре ме, мысалы, хи-миялық реакция және онда термодинамикалық тепе-теңдік орна-ғанда система күйі қандай параметрлермен сипатталады деген сүрақтарға бірінші заң жауап бермейді, ал екінші толық және нақтылы жауап береді.
Термодинамиканың екінші заңы система күйлерін сипаттайтын параметрлерді үйлесімді жүйеге келтіреді, оны ұтымды пайдалану берілген сауалға жауап тауып қана қоймай, физикалық химияда маңызды орын алатын, түбегейлі нәтиже және басқа құнды дерек-ер алуға көмектеседі.
Бұл нәтижелерді алу үшін әр түрлі жұмыс түрі секілді (13) тендеудеп элементар жылуды гепе-теңдіктегі система күйінің па-раметрлері арқылы өрнектеуге болады:
Қез келген жұмысты алу үшін күш берілген жүкті әйтеуір бір координатаға өзгертуі қажет (А = F. Ах), мұндағы күштін. ролін абсолюттік температура, ал энтропия деп аталатын система күйі-нің жаңа функциясы координата орнына жүреді.
Энтропия деген сөзді 1865 жылы Қлаузиус гректің “эн”“ішкі” және “тропе”- “айналу” деген мағынадағы сөздеріне негіздей отырып, ғылымға енгізген. Демек, энтропия системадағы ішкі өзгерісті, түрленуді көрсететін ұғым екен. (40) тевдеу термодинамика екінші зақыньщ негізгі мағынасын көрсетеді. Әрине, бұл теңдеу термодинамика екінші заңының әуелгі анықтамалары мен тұжырымдарының, қо-рытындылары мен болжамдарының негізінде күрделі математика-лық өрнек нәтижесінде алынған. Оның салдары оңай дәлелденіп, барлық ережелермен, өмірдегі құбылыстармен үндеседі.
Енді термодинамиканын. екінші заңында жиі кездесетін өрнектер мен ойларды, теңдеулер мен қорытындыларды, анықтамалар мен тұжырымдарды және олармен байланысты көптеген жайларды қарастырғанда қажет болатын Карно циклімен (7-сурет) таны-сайық. Мүндағы жұмысшы дене - бір моль идеал газ. Циклде қарастырылатын барлық процестер қайтымды. АВ - газдың Y1 мен У2 аралығындағы изотермалық үлғаюы, мұнда температура T1 және ол өзіне Q1жылуын сіңіреді. ВС - газ көлемінін, У2-ден У3-ке дейінгі аралықта адиабаталықұлраюы және осы процесс кезінде температура Т1-ден Т2 дейін төмендейді, яғни система салқындайды. СД-газ көлемінің У3-тен У4-ке дейін Т2 температурада қысылуы және осы кезде Q2 мөлшердегі жылу беріледі. DA - газдың адиабаталық қысылуы, мұнда газ көлемі У4-тен У г ге дейін кемиді және температура Т2-ден Tгге дейін жоғарылайды, яғни система қызады.
Цикл - белгілі уақытта орындалған жұмыстың жиынтығы. Сонымен Карно циклінде де барлық басқа ци-клді процестер сияқты ішкі энергияның айырмасы нөлге тең: U=0 Қарно циклін жүргізген кезде, осы системадағы жұмысшы дене (Q1-Q2) - (? 2 ) жылуын қабылдап алады және мұның салдарынан жүмыс (А) атқарады. Осы жұмыс мөлшері жағынан алғанда Карно цикліндегі изотермалық процестердің айырмасына тең және кері мәнді. Мүндай екі система ВС’және D А процесінде бар, осы екеуіндегі жұмыс түрақты көлемдегі жылу сыйымдылығын температура айырмасына көбейткенге тең, ол бірінші заңда қарастырылған. Демек, А В с = СҮ (ТІ - Т2) ; АДА = Сү (Т2 - ТІ) . Термодинамиканың бірінші заңына орай жұмыс жылулар айырмасына тең, яғни А = Q 1 -Q 2 жылу болса
Q 1 =RT 1 ln
Адиабаталық процестер үшін:
T 1 V 2 n-2 =T 2 V 3 n-2 T 1 V 1 n-1 =T 2 V 4 n-1
мұндағы бірінші теңдеуді екіншіге бөлгенде: V 2 :V 1 =V 3 :V 4
Осы мәндерді орнына қойып;
A=R(T 1 -T 2 ) ln
екенін аламыз. Бұдан Қарно цикліндегі система жұмысының пай-далы әсер коэффициенті шығады:
Кез келген цикл процестерінің пайдалы әсер коэффициенті бірінші және екінші денедегі (системадағы) жылу айырмасының (біріншідегі жылуға қатынасымен немесе жылу бергіштігі (жылу кезіндегі) Т\ температурасы мен жылу қабылдағыштагы (тоңазыт-қыштағы) Т2 температура айырмасының жылу кезіндегі темпера-тураға қатынасьшен сипатталады. Мұны басқаша айтсак, пайдалы әсер коэффициенті тек бастапқы (Т\) және соңғы (Т2) температу-раларға тәуелді екен. Бұдан мынадай қорытынды жасауға болады:
а) ешбір кедергісіз жұмыс жасайтын машинанын өзімен де бе-рілген жылуды түгелдей жұмысқа айналдыру мүмкін емес. Оның бір бөлігі қалайда жылу қабылдағышқа ауысады;
б) жұмысқа айналған жылу бергіш пен жылу қабылдағыш температураларына тәуелді, яғни = Ц=І(Т1, Т2) . Мұндағы 0<т<1, өйткені Т2 = 0 жағдайында ғана п=1, яғни жылу кабылдағыш (тоңазытқыш) температурасы абсолюттік нөлге тең; ал т) = 0 үшін Т2=ТІ болуы шарт;
в) жылудың абсолюттік температураға қатынасын (Q : Т) кел-тірілген жылу дейді. Карно цикліндегі келтірілген жылулар қо-сындысы нөлге тең. (41) теңдеудегі жылу мен температура қаты-настарының теңдігін пайдаланып, келтірілген жылу мәнін көрсету-ге болады:
Демек, Q 1 :T 1 -Q 2 :T 2 =O.
г) мұндай нәтиже Карно циклі шексіз кіші изотермаларға ұм-тылғанда шығады. Бұл жағдайда (ТІ - Т2) - соңғы өлшем, ал жы-лу болса, шексіз кіші:
Осыған дейін жоғарыдағы корытындыларды тұжырымдау үшін термодинамиканың біріиші заңын ғана пайдалан-дық, ал екінші заң әлі пайда-ланылған жоқ. Ол үшін Карно циклін кері, АДСВА бағы-тымен жүргізеді. Бұл жағдай-да цикл нәтижесінде система-дағы жұмыс сырттай алынған жылу есебімен жүргізіледі. Бұл жылудық төменгі температурада сіңіріліп, температура жоғарылаған кезде бөлінуіне не-гізделген. Әдетте мүндай машинаны насос дейді.
Карно циклі бойынша жүмыс істейтін екі машинаны қарасты-райық, ондағы қыздырушы температурасы Т1: және жылу қабыл-дағыштікі Т2(ТІ>Т2) . Бірінші машинадары жұмысшы дене идеал газ, ел екіншідегі кез келген зат (8-сурет) . Бұл екі машина жұмыс істегенде Q=QРІ . Мұндагы бірінші машина үнемді жұмыс атқара-ды деп келіссек, онда оньщ пайдалы әсер коэффициенті жоғары болуы керек, яғни 1>т] 2. Олай болса атқарылатын жүмыс та, жы-лу шамасы да өзара тең емес: А>А1 және Qй 2<Q’ 2 . Бірінші машина атқаратын жұмыс есебінен екінші машинаны кері бағытта жұмыс істетуге болады. Мұнынын нәтижесінде машина жылу бергіштен бі-рінші алған жылу мен екінші машина жұмыс істегендегі, оның өзі қайтарып берген жылу мөлшері бірдей. Температурасы төмен жы-лу кабылдағыш біраз жылу жоғалтады Q ‘>Q2) және осы жылу есебінен де ұтымды жұмыс шығады, яғни А>А’. Алайда, мұндай нәтиже термодинамиканың екінші заңына кері келеді. Демек, бі-рінші машинаның пайдалы әсер коэффициенті (т) І) екінші машина-нікінен (т] 2) артық болуы мүмкін емес. Олай болса, олар өзара тең (111 = 112) деген қорытынды шығады. Қарно цикліне кері жұмыс іс-тейтін машинаның пайдалы әсер коэффициенті жұмысшы денедегі заттьщ қасиетіне байланысты емес және ол тек ТІ мен Т2 шамала-рына ғана тәуелді. Пайдалы әсер коэффициенті жұмысшы заттар-дың табиғатына тәуелсіз екен.
Энтропия
Термодинамиканың бірінші бастамасының жалпылама түжырымдамасын
1860
жылдары Клаузиус енгізген және оны энтропия деп аталған физикалық шаманы пайдаланып беруге болады
қатынасына келгенбіз.
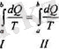
Енді кезкелген кезкелген қайтымды циклді қарастырайық. Қайтымды циклдің кез келгенін жуықтап, Карно циклдерінің тізбегі түрінде өрнектеуге болады. 3. 4-суретте циклдердің тек алтауы көрсетілген, олардың өрқайсысы адиабаттық түрде байланысқан изотермалардан тұрады, өрі неғүрлым Карно циклдерінің саны көп болса, солғүрлым жуықталу дәрежесі жоғары болады. (3. 10) қатынасы осы циклдердің өрбіреуі үшін орындалатын болғандықтан, біз циклдердің қосындысы үшін мына теңцеуді жаза аламыз:
Осы жерде өрбір цикл кезінде берілетін
()
2
жылу мөлшері одан кейінгі
цикл кезінде алынатын
(2
Х
жылу мөлшеріне шамалас болады: дәл тевдікке жету үшін шексіз жіңішке Карно циклдерінің шексіз санын қарастыру керек. Сөйтіп, осындай шек үшін Карно циклдерінің ішкі болІкгерінде системаға келетін және одан шығатын жылу ағындары өзара теңеседі де, системаға бе-рілетін қорытқы жылу молшері мен аткарылатын жүмыс Карно циклдерінің барлық тізбектері үшін де, бастапқы цикл үшін де бірдей болады. Бүл дегеніміз Карно циклдерінің шексіз санынан түратын кез-келген кайтымды циклге қолдануға болады дегенді білдіреді: осы кезде соңғы қатынас төмендегідей түрге келеді
(қайтымды цикл)
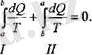
мүндағы дегсніміз алынған немесе берілген шексіз аз жылу молшері болып табылады. Мүндағы
интеграл контурлық интеграл деп аталады және ол түйықталған жол бойьшен алынады: интегралды жолдың кезкелген жері-
нен бастап есептей беруге болады (мысал, суретте
а
немесе
Ь
нүктелерінде) және есептеуді кез келген бағытта жүргізуге болады. Сондықтан томендегі тендікті жазуға болады:
- Іс жүргізу
- Автоматтандыру, Техника
- Алғашқы әскери дайындық
- Астрономия
- Ауыл шаруашылығы
- Банк ісі
- Бизнесті бағалау
- Биология
- Бухгалтерлік іс
- Валеология
- Ветеринария
- География
- Геология, Геофизика, Геодезия
- Дін
- Ет, сүт, шарап өнімдері
- Жалпы тарих
- Жер кадастрі, Жылжымайтын мүлік
- Журналистика
- Информатика
- Кеден ісі
- Маркетинг
- Математика, Геометрия
- Медицина
- Мемлекеттік басқару
- Менеджмент
- Мұнай, Газ
- Мұрағат ісі
- Мәдениеттану
- ОБЖ (Основы безопасности жизнедеятельности)
- Педагогика
- Полиграфия
- Психология
- Салық
- Саясаттану
- Сақтандыру
- Сертификаттау, стандарттау
- Социология, Демография
- Спорт
- Статистика
- Тілтану, Филология
- Тарихи тұлғалар
- Тау-кен ісі
- Транспорт
- Туризм
- Физика
- Философия
- Халықаралық қатынастар
- Химия
- Экология, Қоршаған ортаны қорғау
- Экономика
- Экономикалық география
- Электротехника
- Қазақстан тарихы
- Қаржы
- Құрылыс
- Құқық, Криминалистика
- Әдебиет
- Өнер, музыка
- Өнеркәсіп, Өндіріс
Қазақ тілінде жазылған рефераттар, курстық жұмыстар, дипломдық жұмыстар бойынша біздің қор #1 болып табылады.

Ақпарат
Қосымша
Email: info@stud.kz