Экспериментальдық есептердің қойылуы мен шығару әдістемелерін талдау

 
    
Кіріспе
Зерттеу тақырыбының өзектілігі: Эксперимент физиканы оқыту процесінде әртүрлі функцияларды атқарады. Демонстрациялық тәжірибе ретінде ол физикаға деген қызығушылықты арттырудың құралы, фактілердің негізгі көзі, әлем туралы білім береді. Фронталь зертханалық жұмыс және физикалық практикумда ол оқушылардың өз беттерімен жұмыс істеуін ұйымдастырып, теориялық алған білімдерін практикада қолдануға зор үлесін тигізеді.
Түлектік жұмыста 9 сынып үшін экспериментальдық тапсырмалар келтіріліген. Біріншіден, оқушының шығармашылық қабілетін дамытуға бағытталған, екіншіден, бұл түлектік жұмысты физиканы тереңдетіп оқытатын сыныптардағы физика пәнінің мұғалімдері, физикаға қызығушылығы жоғары оқушылар өзіндік экспериментальдық жұмыстарды ұйымдастыру үшін пайдалануға болады.
Өте қарапайым құралдар мен аспаптарды пайдалана отырып, физикалық эксперимент сабақтарын физика кабинетінде жеке өткізуге немесе үйде орындауға болады.
Сонымен қатар бұл түлектік жұмыста халықаралық олимпиадаларда берілген экспериментальдық есептерді іріктеп, шығару әдістемесі көрсетілген.
Зерттеу нысанасы: Қиындығы әртүрлі экспериментальдық есептерді іріктеу және шығару әдістемесін көрсету, оны оқу үрдісінде, олимпиадаға дайындық кезінде пайдалану.
Зерттеу тақырыбының мақсаты:
- Оқушылардың шығармашылық қабілетін дамыту.
- Оқушылардың өз беттерімен кішігірім эксперментальдық зерттеу жүргізуіне мүмкіндік туғызу.
- Халықаралық олимпиадаларда берілген экспериментальдық есептерді іріктеп шығару әдістемесін көрсету.
- Қазақ мектептері үшін қазақ тілінде жазылған экспериментальдық тапсырмалар мен шығару әдістемесінің жоқтығын ескеріп осындай жұмыс дайындау.
Зерттеу пәні: Қиындығы әртүрлі экспериментальдық тапсырмаларды құру, жүйелеу, оларды дайындау әдістемесі.
Зерттеудің ғылыми болжамы: Экспериментальдық тапсырмаларды орындап шығару, зерттеу, оқушыларға әртүрлі деңгейлердегі олимпиадаларға қатысуына мүмкіншілік тудырады.
Зерттеу барысында қолданылатын әдістер:
- Оқушылардың педагогикалық - психологиялық мүмкіншіліктерін ескеріп экспериментальдық тапсырмаларды дайындау.
- Бағдарламаға сәйкес экспериментальды тапсырмаларды іріктеп, жауаптарын дайындау.
- Экспериментальдық тапсырманың орындалуының бағалау критериясын көрсету.
Зерттеу жаңалығы мен теориялық мәні:
- 9 сынып үшін экспериментальдық тапсырмалар алғаш рет қазақша дайындалып құрылды.
- Экспериментальдық тапсырмаларды бірнеше нұсқалармен орындауға болатын мүмкіндігі көрсетілді.
- 9 сынып үшін бүкіл экспериментальды есептерді дайындалып жүйеге келтіріліп, экспериментальды тапсырмалар мен халықаралық олимпиадаларда болған есептер іріктеліп, жүйеге келтіріліп шығарылуы берілді.
- Осы жұмысты өзіндік экспериментальдық жұмыстарға пайдалануға, ұсынуға болады.
І - Тарау.
Экспериментальдық есептердің қойылуы мен шығару әдістемелерін талдау
- Эксперименттік есептердің мәні
Эксперименттік есептер мәтінді есептерге қарағанда, дайындыққа және шешуге көп уақыт қажет етеді, сондай-ақ мұғалімдер мен оқушылар экспериментті тұрғызуға дағдылану керек. Бұндай есептерді физиканы оқытудың сапалық жағына оң әсерін тигізеді. Эксперименттік есептердің артықшылықтары:
- Барлық эксперименттер сияқтыэксперименттік есептер оқушылардың сабаққа қатысу деңгейін едәуір көтереді, логикалық ойлау қабілетін арттырады, құбылысқа анализ жасауға үйретеді, сабақта алған практикалық дағдысын ескере отырып оқушы терең ойланады. Эксперименттік есептерді шешу оқушыларды бірлікке ұмтылуға, өз күштерімен білімді игеруге, дүниені тануға құлшынып ұмтылуға тәрбиелейді.
- Эксперименттік есептер оқушыларға шынайы білім алуға үйретеді, эксперименттік есептерді шеше отырып, оқушылар нақты мысалдарға көз жеткізеді, атап айтқанда, практикалық сұрақтарды шеуге өз мектептерінің білімі сай екендігіне, бұл білімнің көмегімен физикалық құбылыстарды байқауға, оның заңдылықтарымен физикалық құбылыстарды басқаруға болатындығын және т. б. Осылай теориялық және кітаптардағы болжамдар нақты шын мәнге ие болады. Эксперименттік есептерді шығару оқушыларға берік негізі бар білім алуға, бұл білімді практикада да өмірде де қолдануға үйретеді.
- Эксперименттік есептерді шығару және шешімін тәжірибе жүзінде тексеру, оқушылар физикалық заңдардың объективтілігіне, алған білімдеріне әрқашан толық сенуге, практика мен тәжірибе теориялық білімнің критериясы екендігіне, практика жүзінде тексерілген білім адамға ең қымбат білім екендігіне көздерін жеткізеді. Қиын практикалық есептерді шығарғанда, қоршаған құбылыстарды тануғаэксперименттің үлесі жоғары.
- Эксперименттік есептерді шешуде оқушылардың өз беттерімен жұмыс істеуі, оқушылардың іскерліктері мен дағдыларын, шығармашылық қабілеттерін дамытады. Бұнда оқушылар есеп жоспарын құрып қана қоймай, сонымен қатар кейбір мәтіндерді есептеу жолдарын қарастыру, өз беттерімен құралдарды жинау зерттелетін құбылысқа сай құралдарды таңдап алу, конструкциялау керек.
- Эксперименттік есептерде талдау оқушыларды өлшеу нәтижелерін дәлдікпен алуға жүргізілетін эксперименттердің берілгеніне мұқият мән беруге үйретеді. Практикада олар өлшеу нәтижелерінің әрқашанда жуық екендігіне және оларға әртүрлі себептер әсер ететіндігіне көз жеткізеді. Сондықтын, эксперимент жүргізгенде барлық зиянды нәрселерді болдырмау керек.
- Эксперименттік есептердің ерекшелігі олар шын мәнінде берілімдері толық емес есептер болып табылады. Мұндай есептер, оқушылар өмірде кездестіре алатын құбылыстарға елеулі түрде жақын болып келеді.
1. 2. Эксперименттік есептердің қойылуы
Физиканы оқытуда эксперименттік есептердің маңызы зор. Өйткені онда оқушылар мен табиғат арасындағы тығыз байланыс байқалады. Физика сабақтарында көптеген тәжірибелер көрсетсек те, таным процесінің барлық этаптарын қамти алмайды, оқушылардың практикалық мәселелеріне жауап алатындай білімдері жеткіліксіз болып табылады.
Мұғалім тақырыпқа қатысты тәжірибенің құрылысын талдап қана қоймай, ол қажеттіліктен туындайды:
- жаңа құбылыстарды көрсетеді.
- берілген құбылыстардың заңдылықтарын құру.
- теориялық қорытындының нәтижелерін практикада тексеру.
Эксперименттік есептердің қойылымы оқушыларға қозғалыстағы физикалық заңдардыкөрсетеді, табиғаттағы заңдардың объективтілігін, нақты орындауға түсіндіреді.
Оқушылар алған білімдерін практикалық мәселелерді шешуге қолдана алады. Теория мен практиканы байланыстыру оқушылардың пәнге деген қызығушылығын арттырады. Мектеп практикасында эксперименттік есептердің қойылымын көбірек жүзеге асыруға болады. Есептің берілгенің оқушылар өздері тәжірибеден алатын, ал дұрыстығын құралдармен тексеретін эксперименталды есептердің маңызы зор. Мұндай жағдайларда оқушылардың физика курсында алған білімдерінің маңызы мен қолданылуының ролі артады. Эксперименталды есептерді шешу оқушылардың физикалық заңдылықтарының мағынасын керемет түсінуге көмектеседі. Эксперименталды есептерді қою оқушының дұрыс және толық алмаған білімдерін алуға көмектеседі.
Әсіресе, сапалық эксперименттік есептердің қойылымында зерттелетін құбылыстың дәл өзі уақытында орындалуы және сол уақытта шешу керек екендігі үлкен рол атқарады.
Бұл есепке деген қызығушылықты арттырады, оны шешуге деген жауапкершілікті оятады.
Кейде сабақта көптеген есептерді шығарып үйренуге болады, бірақ оқушылардың зейінлдері шашыраңқы, шығарылатын есепке олардың тарапынан қызығушылықты оята алмасақ онда толы тәтиже төмен болады.
Егер есептің мазмұны оқулық бойынша оқылса, тіпті оның суреті тақтаға сызылса, онда да бұл сыныпты бүкіл оқушыларының, әсіресе жас ерекшелігіне орай қызықпаған нәрсеге зейінін аудармайтын кіші сынып оқушыларының көкейіне қонбайды.
- Эксперименттік есептердің классификациясы
Эксперименттік есептер сандық және сапалық болып бөлінеді.
Сапалық есептер - шешіміне есептеу талап етілмейтін тапсырмалар оқушылар оқылған физикалық заңдылықтарды пайдаланып, оны есепте сөз болып отырған құбылысты талдауға қолданады.
Сандық есептер . Есептердің бұл түрі математикалық есептеуді қажет етеді. Дұрыс іріктеп алынған жағдайда мұндай есептер оқушылардың бойында ұтымды білімнің қалыптасуына ықпалын тигізеді. Мұндай есептер мұғалімдер қолданып жүрген барлық есептер жинқтарында анағұрлым толық түрде берілген.
Эксперименттік есептерді эксперимент жүргізілетін жеріне; қиындық деңгейіне қарай бірнеше топтарға бөлеміз:
- Керекті физикалық өлшемдерді өлшеу арқылы есептің жауабын аламыз, немесе құрал- жабдықтардың құжаттарында көрсетілген мәндерді қолданып (реостаттар, шамдар, электроплиталар және т. б. ) немесе эксперимент арқылы бұл мәндерді тексереміз.
- Нақты физикалық өлшемдерге байланысты және тәуелділікті орнататын оқушылардың өз беттерімен шығарған есептері.
- Берілуінде тәжирбені жасау жолдары көрсетілген, ал оқушы нәтижесін айтуға тиіс. Осындай есептер оқушылардың өз пікірін айтып үйренуге тәрбиелейді.
- Шығармашылық есептерді шығару кезінде қандайда бір физикалық құбылысты түсіндіру арқылы орындала отырып, белгілі бір жағдайда құбылыстың қалай өтетініне болжам жасауды қажет ететін есептер. Мұндай есептердің мазмұнында сан мәлметтер болмайды, ол негізінен физикалық құбылыстың мағынасын ашуды мақсат етеді.
- Нақты практикалық сұрақтарды шешетін өндірістік мазмұндағы есептер. Бұндай есептерді экскурсияларда, мектеп шеберханаларында, сондай- ақ сабақтарда әр түрлі құрал- жабдықтарды және техникалық модельдерді қолдану арқылы есептейді.
- Эксперименттік есептерді шығару жолдары
Білімді игерудің нәтижелілігі таным процесіне адамның әр түрлі сезім мүшелерінің іске қосылуы және нақты заттар мен құбылыстарға бетпе- бет келгенде оны сезіну, көре білу және қабылдауы арқылы артады. Бұл жағдайда физикалық эксперименттің маңызы зор.
Эксперименттік есептердің шешу тәсілдері оларды шешудегі эксперименттік жұмыстың қойылуына тәуелді. Мысалы, есепті шешу үшін барлық шамалар берілсе және жауабын тәжірибеде тексеру қажет болса, онда есептің шешуін нұсқауларға сәйкес жазады.
Эксперименттік есептердің басқа түрлерінде есепті шешу және баяндау қажет болады. Егер есепті шешу үшін қажетті шамалар тәжірибе нәтижесінде алынса, онда экспериментті қою және өлшеулер жүргізу маңызды.
Есеп түріндегі эксперименттік тапсырмаларды шешу және жазу келесі элементтерден тұрады: есептің қойылуы, шарттарды талдау, өлшеулер жүргізу, есептеулер, тәжірибеде тексеру.
Есепті қойылуынан кейін бірден тәжірибені орындауға көшеді. Өтіп жатқан құбылысты бақылайды. Содан кейін оны теория жүзінде түсіндіреді.
- Экспериментальдық тапсырмаларды орындауға дайындық
Бұл жұмыста берілген эксперименттік тапсырмаларды орындауға дайындық тапсырмаларының көпшілігін шығаруға оқушылардың базалық курста алған білімдері жеткілікті, бірақ бұл білімдерін таныс емес жағдайларға қолданып, шығармашылық қабілеттерін көрсетеді. Бұл тапсырмаларды орындау уақыты бір сағатқа негізделген. Тапсырманы орындап болған оқушы нәтижесін таблица түрінде беріп алған нәтиженің мәнін ауызша түсіндіруіне болады. Мұғалімдерге көмек ретінде әрбір тапсырманы орындаудың бір немесе бірнеше нұсқалары көрсетілген. Кейбір тапсырмалардың қосымша тапсырмалары да берілген. Бұл оқушының жеке жұмыс істеуіне мүмкіншілік тудырады. Осы дайындық есептерін мұғалім экспериментальдық есеп ретінде физикадан мектеп іші олимпиадаларына қолдануға болады.
Бұл түлектік жұмыста күрделілігі жоғарғы деңгейдегі экспериментальдық тапсырмалар берілген. Бұл тапсырмаларды орындау үшін оқушы физикалық шамаларды өлшеу, өлшеген кездегі өлшеу қатесін бағалау әдісін меңгеріп және физикалық өлшеу аспаптары мен құралдарын пайдалануды білу керек. Әр тапсырмаларда есептің қысқаша мазмұны, керекті құрал-жабдықтар тізімі және мұғалімдер үшін экспериментальды тапсырмалардың орындалуының әдістемелік нұсқауы берілген. Эксперименттердің орындалу есебінің өңделу жолдары көрсетілген.
Бұл түлектік жұмыста оқушыларға өз беттерімен кішігірім экспериментальдық зеттеулер жүргізуге мүмкіндік туғызады. Оқушыдардың топ құрамына, зертхананың мүмкіншілігіне байланысты экспериментті жеке оқушы немесе екі - үш адам тобы орындайды. әр тапсырманы орындау үшін неше түрлі нұсқалар ізделінеді. Соның ішінен ең дұрысы таңдалынады. Содан кейін экспериментті орындап есептеу нәтижесінің таблицасы құрылып, графиктерін, суреттерін сызып, өлшеу қателерін бағалап, экспериментальды зеттеуді қортындылайды, есепті өңдейді. Мұғалім оқушыларға экспериментальды тапсырмалардың орындалуын бағалау критериясын көрсетеді.
Тапсырманы орындаудың шартты бағалануы (балдары) .
- Теориялық шешімі.
- Өлшеу әдісін суретпен түсіндіру.
- Физикалық шаманы экспериментальдық жолмен анықтаңыздару.
- Физикалық шаманы есептеу.
- Өлшеу қателігінің шекарасын бағалау.
- Кейбір жағдайларда өлшеулерді өлшеуді қайталау.
Бұл экспериментальдық тапсырмалардың деңгейі халықаралық физикалық олимпиадалардың талабына сәйкес. Осындай тапсырмаларды орындау кез-келген оқушы үшін өзінің физикадан алған білімін бағалауға мүмкіндік береді.
1. 5а. Эксперименттік тапсырмалар
- Қағаз беттерінің қалыңдығын өлшеу
Сіздерге өлшегіш сызғыш пен штангенциркуль берілген.
Тапсырма: Осы құралдардың бірін пайдаланып физика кітабының бетінің қалыңдығын есептеңіздер.
Тапсырманы орындауға мүмкіндік беретін нұсқалар:
 1-нұсқа. Бір бетінің
  қалыңдығын штангенциркуль арқылы өлшейміз, қағаз қалыңдығы 0, 01 мм-ден кем болады, ал штангенциркуль құралының қателігі 0, 1 мм, сондықтан өлшеу қателігі 100%-тінде артуы мүмкін.
 қалыңдығын штангенциркуль арқылы өлшейміз, қағаз қалыңдығы 0, 01 мм-ден кем болады, ал штангенциркуль құралының қателігі 0, 1 мм, сондықтан өлшеу қателігі 100%-тінде артуы мүмкін.
 2-нұсқа. Кітаптың
  қалыңдығын сызғышпен өлшеп, алған нәтижені кітаптың барақ санына бөлеміз:
 қалыңдығын сызғышпен өлшеп, алған нәтижені кітаптың барақ санына бөлеміз:
 
 Бұл жағдайда өлшенген қағаздың
  қалыңдығының
 қалыңдығының
  абсолют қателігі, сызғыштың көмегімен өлшеніп алынған
 абсолют қателігі, сызғыштың көмегімен өлшеніп алынған
  -ның абсолют қателігі (
 -ның абсолют қателігі (
  мм), кітаптың
 мм), кітаптың
  парақ санына бөлгенге тең болады.
 парақ санына бөлгенге тең болады.
 
 3 нұсқа. Кітаптың қапсыз
  қалыңдығын штангенциркуль арқылы өлшеп, дәлдеу нәтиже алуға болады.
 қалыңдығын штангенциркуль арқылы өлшеп, дәлдеу нәтиже алуға болады.
- Мыс сымның диаметрін анықтаңыздару
Сіздерге сызғыш және әртүрлі салмақтағы гірлері бар таразы берілген.
  Тапсырма:
 
 Жұқа мыс сымның диаметрін анықтаңыздардар. Мыстың тығыздығы
  кг/
 кг/
  .
 .
Тапсырманы орындауға мүмкіндік беретін нұсқалар.
 1-нұсқа. Жұқа сымның
  диаметрін сызғыш арқылы өлшенбейді. Алайда сымның
 диаметрін сызғыш арқылы өлшенбейді. Алайда сымның
  ұзындығын сызғышпен өлшеп, және таразы арқылы
 ұзындығын сызғышпен өлшеп, және таразы арқылы
  массасын біле отырып,
 массасын біле отырып,
  көлемді анықтаңыздаруға болады.
 көлемді анықтаңыздаруға болады.
 
 болғандықтан, мұндағы
 болғандықтан, мұндағы
  - көлденең қимасының ауданы сымның. Осыдан
 - көлденең қимасының ауданы сымның. Осыдан
  диаметрін есептеп табамыз.
 диаметрін есептеп табамыз.
 
 2-нұсқа. Сымды қарындашқа 30-40 рет ораймыз. Орамның
  ұзындығын өлшеп, оны
 ұзындығын өлшеп, оны
  орам санына бөлеміз.
 орам санына бөлеміз.
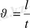
- Айға дейінгі арақашықтықты өлшеу
  Тапсырма:
 
 Ұзындығы 1 м өлшегіш сызғыш және ені 0, 5см қағаз қиығын қолданып, айға дейінгі қашықтықты анықтаңыздардар. Айдың
  диаметрі 3476км-ге тең.
 диаметрі 3476км-ге тең.
Тапсырманы орындауға мүмкіндік беретін нұсқа:
Сызғыштың жақ басын көзге дәлдеп айға бағыттаңыздар. Қағаз қиығын сызғыш арқылы жылжыта отырып, оның айдың бетін толық жабатын орнын табамыз (1-сурет) .
 
1-сурет
 1-суреттегі
  - айға дейінгі қашықтық,
 - айға дейінгі қашықтық,
  - оның диаметрі,
 - оның диаметрі,
  -көзден қағаз қиығына дейінгі қашықтық және
 -көзден қағаз қиығына дейінгі қашықтық және
  - қағаз қиығының ені. Үшбұрыштың ұқсастығынан келесі теңдеуді аламыз:
 - қағаз қиығының ені. Үшбұрыштың ұқсастығынан келесі теңдеуді аламыз:
 ,
 ,
бұдан
 .
 .
- Ауа көлемін өлшеу
  Сіздерге
 
 суы бар кювета, көлемі 500
  өлшегіш цилиндр, көлемі
 өлшегіш цилиндр, көлемі
  шыны бөтелке, резеңке түтікше, резеңке шар берілген.
 шыны бөтелке, резеңке түтікше, резеңке шар берілген.
Тапсырма: Осы құралдардың көмегімен өз өкпелеріңіздің активті көлемін анықтаңыздар. Өкпенің активті көлемі деп, өкпеден бір рет шығарылған ауаның максимал көлемін айтамыз.
Ескерту: Егер сіздер резеңке түтікшені ауыздарыңызға салатын болсаңыздар, онда оны алдын-ала спиртке батырылған мақтамен сүрту керек.
Тапсырманы орындауға мүмкіндік беретін нұсқалар:
 1-нұсқа. Бес литрлік шыны бөтелкені суға толтырып, оны суы бар кюветаға төңкеремізде бөтелкеге резеңке түтіктің бір ұшын енгіземіз. Егер резеңке түтіктің екінші ұшынан ауаны үрлейтін болсақ, онда судың бір бөлігі бөтелкеден шығады. Шыққан судың көлемі бір рет тыныс алғандағы шығарылған ауа көлеміне тең (атмосфералық қысымда) . Бөтелкенің
  
 көлемін біле отырып және бөтелкеде қалған судың
 көлемін біле отырып және бөтелкеде қалған судың
  көлемін өлшеп, шығарылған судың көлемін есептейміз.
 көлемін өлшеп, шығарылған судың көлемін есептейміз.
 .
 .
2-нұсқа. Резеңке шарға бір рет толық үрлейміз. Содан кейін суға толы бөтелкеге немесе өлшегіш цилиндрге шардағы ауаны жібереміз.
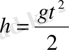
- Доптың бастапқы жылдамдығын анықтаңыздару
Тапсырма: Тек секундомер көмегімен теннис добын қандай жылдамдықпен лақтыра алатындығыңызды анықтаңыздардар.
Тапсырманы орындауға мүмкіндік беретін нұсқа
Экспериментті жүргізу үшін екі оқушы спорт алаңына шығуы керек. Бір оқушы допты вертикаль лақтырады, ал екіншісі оны лақтырған мезеттен бастап қолына түскен соқтығысқанға дейінгі аралықты секундомермен өлшейді.
 Ол уақыт доп қанша уақытта жоғары көтерілсе, сонша уақытта жерге түседі, яғни өлшенген
  уақыттың жартысына тең болады. Доптың қолға түскен жылдамдығы оның бастапқы жылдамдығына тең. Бұл
 уақыттың жартысына тең болады. Доптың қолға түскен жылдамдығы оның бастапқы жылдамдығына тең. Бұл
  жылдамдықты еркін түсу үдеуі
 жылдамдықты еркін түсу үдеуі
  -ге және
 -ге және
  еркін түсу уақытына көбейту арқылы табамыз:
 еркін түсу уақытына көбейту арқылы табамыз:
 .
 .
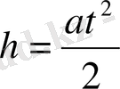
6. Түскен дененің бастапқы жылдамдығын анықтаңыздару
Тапсырма: Сіздерге тек өлшегіш лента берілген. Өшіргіш резеңке кесегін саусақпен түртіп құлату арқылы қандай бастапқы жылдамдық бере алатыныңызды есептеңіз.
Тапсырманы орындауға мүмкіндік беретін нұсқа:
 Резеңкені стол шетіне қоямыз. Шерту арқылы оны горизонталь бағытта қозғалысқа келтіреміз және еденге түскен резеңкенің орнын белгілейміз. Столдың
  биіктігін және резеңкенің еденге түскен нүктесінен столға дейінгі
 биіктігін және резеңкенің еденге түскен нүктесінен столға дейінгі
  қашықтықты өлшейміз.
 қашықтықты өлшейміз.
 Қозғалыс кезінде горизонтальдық жылдамдық
  өзгермейді, сондықтан оны мына формуладан табамыз:
 өзгермейді, сондықтан оны мына формуладан табамыз:
 ,
 ,
 мұндағы
  - резеңкенің қозғалыс уақыты.
 - резеңкенің қозғалыс уақыты.
 түсу биіктігін біле отырып,
 түсу биіктігін біле отырып,
  формуладан
 формуладан
  уақытты табамыз.
 уақытты табамыз.
 .
 .
Сонымен, резеңкенің бастапқы жылдамдығы
 .
 .
- Сызғыштың массасын анықтаңыздару
  Тапсырма:
 
 Сіздерге сызғыш, қарындаш және тыйын берілген. Сызғыштың массасын анықтаңыздардар. Тыйын массасы
  .
 .
Тапсырманы орындауға мүмкіндік беретін нұсқа:
Сызғыш пен қарындаш арқылы тепе-теңдікте емес таразы дайындаймыз, тыйынды кір ретінде қолданамыз.
Сызғышты қарындаш үстіне қойып жылжыта отырып, тепе-теңдікке келтіреміз. Қарындаш пен сызғыш түйіскен жеріндегі сызғыштың бөлігін белгілеп аламыз. Бұл арқылы біз сызғыштың массалық центрін анықтаңыздарймыз (2- сурет) .
 
2- сурет. 3-сурет.
Енді сызғыштың бір шетіне тыйынды қоямыз. Сызғышты қарындашқа қатысты жылжыта отырып жаңа тепе-теңдік қалпын табамыз. Сызғыштың жаңа тепе-теңдік сызығын бөлік белгілейміз (3-сурет) .
 Сызғыш бөліктері арқылы
  -жаңа сызықтан сызғыштың массалық центріне дейінгі қашықтықты және
 -жаңа сызықтан сызғыштың массалық центріне дейінгі қашықтықты және
  - жаңа сызықтан тыйының массалық центріне дейінгі қашықтықты өлшейміз. Тепе-теңдік шарты бойынша:
 - жаңа сызықтан тыйының массалық центріне дейінгі қашықтықты өлшейміз. Тепе-теңдік шарты бойынша:
 
 мұндағы,
  Сызғыштың массасы,
 Сызғыштың массасы,
 - тыйын массасы,
 - тыйын массасы,
 - еркін түсу үдеуі.
 - еркін түсу үдеуі.
Бұдан сызғыштың массасы:
 .
 .
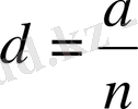
- Заттың тығыздығын анықтаңыздару
Сіздерге колориметрлік денелер жинағынан дене, жіп, суы бар және белгісіз сұйығы бар ыдыс, динамометр берілген.
  Тапсырма:
 
 Белгісіз сұйықтың
  тығыздығын анықтаңыздар, судың тығыздығы
 тығыздығын анықтаңыздар, судың тығыздығы
  1000кг/
 1000кг/
  .
 .
Тапсырманы орындауға мүмкіндік беретін нұсқа
 Динамометр көмегімен дененің ауадағы
  , судағы
 , судағы
  , белгісіз сұйықта
 , белгісіз сұйықта
  салмағын өлшеңіздер.
 салмағын өлшеңіздер.
Судағы денеге әсер ететін Архимед күші:
 
белгісіз сұйықта:
 
Архимед заңы бойынша
 
- және (2) теңдеуді шеше отырып белгісіз сұйықтың тығыздығын анықтаңыздарймыз:
 ,
 ,
  ,
 ,
  .
 .
9. Жіппен байланған денелер жүйесінің қозғалыс уақытын өлшеу және есептеу
Тапсырма: Еденнен 2м биіктікте білеуді қозғалмайтындай етіп бекітіңіз. Әрқайсысының массасы 1кг екі жүкті ұзындығы 2м жіппен қосып, жіпті білеуге іліңіздер.
Кірлердің біреуін еденге тұрса, екіншісі білеуде қасында тұрады. Ілінген кірден еденге дейінгі негізгі
қашықтықты өлшеңіз.
Егер үстіңгі кірге 100г кірді қоссақ, қанша уақыт аралығында ол жерге жететінін есептеңіздер.
Тапсырманы орындауға мүмкіндік беретін нұсқа
Байланған денелер қозғалысына (4-сурет) Ньютонның екінші заңын пайдаланып, кірлердің қозғалыс уақытын табамыз.
4- сурет.
Астыңғы және үстіңгі жүктерге келесі өрнектер сәйкес:
 
 Мұндағы,
  - жүк массасы,
 - жүк массасы,
  - қосымша кірдің массасы,
 - қосымша кірдің массасы,
  - жіптің керілу күші,
 - жіптің керілу күші,
  - еркін түсу үдеуі.
 - еркін түсу үдеуі.
 Білеудегі үйкеліс күшінің әсерін қосымша
  жүктің әсерімен компенсациялаймыз:
 жүктің әсерімен компенсациялаймыз:
 
 теңдеулер жүйесінен
 теңдеулер жүйесінен
  
 
 жолды және
 жолды және
  үдеуді біле отырып, кірдің
 үдеуді біле отырып, кірдің
  қозғалыс уақытын табамыз:
 қозғалыс уақытын табамыз:
 ,
 ,
  .
 .
10. Үйкеліс коэффициентін өлшеу
1- Тапсырма Сіздерге қарындаш және сызғыш берілген. Қарындаштың стол бетімен сырғанағандағы үйкеліс коэффицентін анықтаңыздардар.
Тапсырманы орындауға мүмкіндік беретін нұсқа
Қарындашты ұшталмаған жағымен үстелге қисайтып қойып тұрып саусақпен жоғарғы жағынан басамыз. Қарындаштың еңкею, бұрышы аз болғанда кез-келген
күшпен қысым түсірсек ол сырғанамайды. Бұл күш тіреудің
реакция күші мен
үйкеліс күшіне теңәсерлі күші (5- сурет) болады.
5- сурет.
 
Қарындаштың еңкею бұрышын біртіндеп өсіреміз. Қарындаштың үстел бетімен сырғанауы басталатын бұрышты өлшейміз. Сырғанау келесі шартта орындалады:
 
 екендігін ескере отырып,
 екендігін ескере отырып,
 аламыз.
 аламыз.
2-Тапсырма Сіздерге ағаш білеу және сызғыш берілген.
Өлшегіш ретінде тек сызғышты пайдаланып, үстел бетімен ағаш білеудің сырғанау үйкеліс коэффицентін анықтаңыздардар.
Тапсырманы орындауға мүмкіндік беретін нұсқа
Білеуді үстелдің горизонталь бетіне тігінен қоямыз. Жіпті білеуге байлап, оны тартамыз. Егер жіпті үстел бетіне жақындау байласақ, білеу сырғанай бастайды (6-сурет) . Белгілі бір
биіктікте
керілу күші білеуді төңкеріп тастайды.
6-сурет.
 6-суретте білеуге әсер ететін күштер көрсетілген: жіп тарапынан әсер ететін
  күші,
 күші,
  ауырлық күші, тіреудің
 ауырлық күші, тіреудің
  реакция күші,
 реакция күші,
  үйкеліс күші. Тепе-теңдік теңдеуін төңкерілу
 үйкеліс күші. Тепе-теңдік теңдеуін төңкерілу
  нүктесіне сәйкес түрде (күш моментінің ережесі) жазамыз:
 нүктесіне сәйкес түрде (күш моментінің ережесі) жазамыз:
 .
 .
Берілген жағдайда
 
 Бұл теңдеулерден және
  
 екендігі ескере отырып, табамыз:
 екендігі ескере отырып, табамыз:
  .
 .
3-Тапсырма Сіздерге ағаш сызғыш және екі қарындаш берілген.
Өлшегіш құрал ретінде сызғышты пайдаланып, ағаш пен ағаштың арасындағы сырғанау үйкеліс коэффициентін анықтаңыздардар.
Тапсырманы орындауға мүмкіндік беретін нұсқа
Үстелдің горизонталь бетінде жатқан екі қарындаш үстіне сызғышты қоямыз (7 а-сурет) . Қарындаштарды жақындата отырып мынаны бақылаймыз: алдымен сызғыш бірінші қарындашқа қатысты сырғанайды, ал екіншіге қатысты тыныштықта. Содан кейін сызғыш екінші қарындашқа қатысты сырғанай бастайды және бірінші қарындашқа қатысты тыныштықта болады.
 Қозғалыс ауысқан сәттегі қарындашқа әсер ететін күштерді қарастырайық. 1-Қарындаштың тыныштық үйкеліс күші
  .
 .
 2-Қарындаштың сырғанау үйкеліс күшінің
  модуліне тең.
 модуліне тең.
 .
 .
 Бұл күштерге сәйкес
  үйкеліс коэффиценттерін жазамыз:
 үйкеліс коэффиценттерін жазамыз:
 ,
 ,
  
Сонымен,
 
 
7- сурет
... жалғасы- Іс жүргізу
- Автоматтандыру, Техника
- Алғашқы әскери дайындық
- Астрономия
- Ауыл шаруашылығы
- Банк ісі
- Бизнесті бағалау
- Биология
- Бухгалтерлік іс
- Валеология
- Ветеринария
- География
- Геология, Геофизика, Геодезия
- Дін
- Ет, сүт, шарап өнімдері
- Жалпы тарих
- Жер кадастрі, Жылжымайтын мүлік
- Журналистика
- Информатика
- Кеден ісі
- Маркетинг
- Математика, Геометрия
- Медицина
- Мемлекеттік басқару
- Менеджмент
- Мұнай, Газ
- Мұрағат ісі
- Мәдениеттану
- ОБЖ (Основы безопасности жизнедеятельности)
- Педагогика
- Полиграфия
- Психология
- Салық
- Саясаттану
- Сақтандыру
- Сертификаттау, стандарттау
- Социология, Демография
- Спорт
- Статистика
- Тілтану, Филология
- Тарихи тұлғалар
- Тау-кен ісі
- Транспорт
- Туризм
- Физика
- Философия
- Халықаралық қатынастар
- Химия
- Экология, Қоршаған ортаны қорғау
- Экономика
- Экономикалық география
- Электротехника
- Қазақстан тарихы
- Қаржы
- Құрылыс
- Құқық, Криминалистика
- Әдебиет
- Өнер, музыка
- Өнеркәсіп, Өндіріс
Қазақ тілінде жазылған рефераттар, курстық жұмыстар, дипломдық жұмыстар бойынша біздің қор #1 болып табылады.
 
            
                Ақпарат
Қосымша
Email: info@stud.kz