Псевдопотенциалды теория


МАЗМҰНЫ
Кіріспе . . . 5
1 Плазма параметрлері . . . 7
2 Псевдопотенциалды теория
2. 1 Сызықты диэлектрлік үндесу теориясы . . . 8
2. 2 Классикалық кулондық плазма үшін Власов сызықты теориясының және сызықты диэлектрлік теориясының эквивалентілігі . . . 11
3 Псевдопотенциалдарды есептеу
3. 1 Микропотенциалдардың Фурье-образы . . . 12
3. 2 Псевдопотенциалдарды есептеу . . . 13
4 Термодинамикалық қасиеттер
4. 1 Радиалды таралу функциясы . . . 19
4. 2 Ішкі энергия . . . 23
ҚОРЫТЫНДЫ . . . 25
ПАЙДАЛАНЫЛҒАН ӘДЕБИЕТТЕР . . . 26
ҚОСЫМША . . . 27
Кіріспе
Плазма жер бетін ионосфера түрінде қоршап және жердегі радиобайланыстың тұрақтылығын қамтамассыз етіп тұрады. Күн және барлық жұлдыздар плазма күйінде болады (адам баласы әлдеқашан Күнді Жер бетінде басқарылатын термоядролық синтез қодырғыларында өндіруге тырысып бағуда) . Әлемнің басым бөлігі плазма күйінде - жұлдыздар, жұлдыздар атмосферасы, галактикалық тұман және жұлдызаралық орта. Жер маңында космоста плазма күнгей жел түрінде болады, ионосфера мен Жердің магнит сфера қабатын толтырып тұрады.
1923ж. Американдық физиктер И. Ленгмюр және Л. Тонкс плазманы иондалған газдың ерекше күйі деп атады. Бастапқыда физиктер плазманы электр тогiнiң өзiндiк өткiзгiшi және жарық көзі секілді қабылдады. Ал қазіргі уақытта плазманың физикалық қасиеттерiн басқа көзқараспен - яғни, жаңа түрде қарастырады. Бiрiншiден, бұл өте жоғары температураға дейін қыздырылған заттың табиғи күйі, екіншіден, бұл динамикалық жүйе - электромагниттi күштердiң әсерінің объектiсі болып табылады. Ғылыми негізі физика болып табылатын үлкен техникалық проблемалар плазманы зерттеудің жаңа жолдарымен органикалық тығыз байланысты. Олардың ішіндегі ең маңыздысы бұл - басқарылатын термоядролық синтез және iшкi энергияны электр энергияға айналдыратын магнитті-гидродинамикалық түрлендіргіш.
Плазманың ерекше қасиеттерінің болуына байланысты, плазманы заттың төртінші күйі деп қарастырады. Зарядталған бөлшектердің үлкен қозғалысына сәйкес магниттік және электрлік өрістерінің әсерінен плазма оңай орын ауыстырады. Сол себепті плазманың жеке аймақтарында аттас зарядты бөлшектердің көбеюінен пайда болған кез-келген электрлік бейтараптанудың бұзылуы жылдам жойылып отырады. Электрлік бейтараптану қалпына келмейінше және электр өрісі жойылмайынша, пайда болған электр өрістері зарядталған бөлшектердің орнын ауыстырады.
Молекулалар арасында жақыннан әсерлесу болатын бейтарап газдан ерекшелігі плазманың зарядталған бөлшектерінің арасында қашықтыққа байланысты баяу кемитін кулондық күші әсер етеді. Әр-бір бөлшек өзін қоршаған басқа бөлшектермен бірден бірлесіп әсерлеседі. Хаостық жылулық қозғалысына сәйкес, плазма бөлшектері әртүрлі реттелген (коллективті) қозғалыстарға қатыса алады. Плазмада тербелістер мен толқындар оңай жеңіл қозады.
Плазма иондалудың жоғарлауына сәйкес артып отыратын жоғары өткізгіштік қабілетке ие. Өте жоғары температурада толық иондалған плазма өзінің өткізгіштік қасиетіне сәйкес аса жоғары өткізгіштерге жақындайды.
Плазма ғылым мен техниканың әртүрлі көптеген облыстарында кең қолданысқа ие: соның ішінде, дейтерий мен тритийден жоғары температуралы плазмалар, сонымен қатар, гелий изотобы - басқарылатын термоядролық синтездің негізгі зерттеу обьектісі болып табылады. Төмен температуралы плазмалар газразрядты жарық көздерінде, газды лазерлерде және плазмалық дисплейлерде, жылу энергиясын электр энергияға айналдыратын термоэмиссиялық түрлендіргіштерде және магнитті-гидродинамикалық генераторларда қолданылады. Тығыз төмен температуралы плазманың ағысын тудыратын плазматрондар техниканың әртүрлі облыстарында қолданылады. Әдетте, олардың көмегімен металдарды кеседі және дәнекерлейді, беткі қабаттарды төсейді. Төмен температуралы плазмаларды плазмохимияда басқа әдістермен алынбайтын кейбір химиялық қоспаларды алу үшін қолданады. Сондай-ақ, жоғары температуралы плазмалар химиялық реакциялардың ағып өту жылдамдығының жоғары болуын қамтамассыз етеді. Қатты дене плазмасы бұл плазма физикасының кең қолданысы мен дамуындағы ерекше бөлім. Қазіргі уақытта физика ғылымында плазма физикасының негізгі роль ойнамайтын бөлімі жоқ.
1 Плазма параметрлері
Плазма теориясында плазманың күйін толық сипаттауға мүмкіндік беретін сипаттаушы өлшемсіз параметрлері қолданылады. Бұл параметрлердің жүйенің қасиеттеріне тәуелділігін зерттеу тек сандық есептеулер үшін ғана емес, сонымен қатар теориялық жуықтау әдістері үшін де қажет. Сондықтан біз осы өлшемсіз параметрлердің кейбірін алдағы жұмыста қарастыратын боламыз.
Плазма зарядталған (оң және теріс иондардан және электрондардан) және бейтарап бөлшектерден (атомдар және молекулалар, сондай-ақ әртүрлі қозған күйдегі атомдар мен молекулалардан) тұрады. Бұл жұмыста құрамында сутегі ионы (электр заряды
, концентрациясы
, массасы
) және гелий ионы (электр заряды
, мұндағы
, концентрациясы
,
массасы
) бар толық иондалған квазиклассикалық сутекті-гелилі плазманы қарастырамыз. Плазма күйін сипаттау үшін өлшемсіз плазма параметрлерін енгіземіз.
Иондық ішкі жүйе: сутегі ионы концентрациясының гелий ионы концентрациясына қатынасымен
(1. 1)
және олардың орташа арақашықтығымен
(1. 2)
сипатталады.
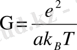
Бөлшектердің кулондық әсерлесуінің орташа потенциалдық энергиясы мен олардың жылулық қозғалысының орташа кинетикалық энергиясына қатынасын сипаттайтын - өлшемсіз байланыс параметрін енгізуге болады
(1. 3)
Жүйе күйінің ерекшелік шарттары:
болғанда, жүйе - қатты идеал емес,
болғанда - идеал емес жүйе,
болғанда - әлсіз идеал жүйе және
болғанда жүйені идеал деп қарастыруға болады, яғни мұнда кулондық әсерлер жуықтау теориясының әдістерімен ескеріледі.
Бөлшектерлің әсерлесу потенциал энергиясы реал газда Ван-дер-Ваальс күшімен, ал плазмада кулондық күштердің әсерімен анықталады. Яғни, плазманы газға ұқсастығына сәйкес идеалды деп есептеуге болады, егер бөлшектер қозғалысының кинетикалық энергиясы олардың әсерлесу потенцал энергиясынан өте үлкен болса.
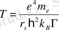
Электронды ішкі жүйе мынадай плазма параметрлерімен сипатталады: өлшемсіз тығыздық параметрі
(1. 4)
және жылу энергиясының Ферми энергиясына қатынасын сипаттайтын айну параметрі
(1. 5)
немесе
және
өлшемсіз параметрлер түрінде
(1. 6)
болғанда электронды газ жылдамдық бойынша таралудың Максвелл функциясымен сипатталады, ал электрондардың толық айну жағдайы
сәйкес келеді, және Фермидің таралу функциясымен сипатталады.
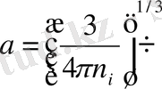
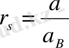
- бөлшектердің орташа ара қашықтығының Бор радиусына қатынасын сипаттайтын болғандықтан,
шарты берілген жүйенің барлық электрондары байланыссыз күйде екенін көрсетеді, ал
шарты орындалғанда байланысқан күйлердің ескерілу керек екенін көрсетеді.
Ионды компоненттердің үлесі электродинамикалық процесстерді зерттеу кезінде жоққа шығарылады, себебі иондардың ролі тек зарядтың бейтараптануына енгізілген. Бұл қарастыруда плазма электронды деп аталады, және параметрлер тек электронды компонентке қатысты болады.
Температура
және концентрация
плазманың өлшемсіз параметрлері арқылы сипаттауға болатыны белгілі, және электронды плазма жағдайында мына түрде болады:
(1. 7)
және
. (1. 8)
2 Псевдопотенциалды теория
2. 1 Сызықты диэлектрлік үндесу теориясы
Күрделі құрамды плазма бөлшектерінің корреляциясын сипаттау үшін диэлектрлік үндесу формализмі кеңінен қолданылады. Бұл жағдайда жүйеге
потенциалымен сипатталатын сыртқы әлсіз өріс әсер етеді деп есептеледі. Мұндай сыртқы өрістің бар болуына байланысты жүйенің гомильтанианына мына түрдегі қосымша мүше жазылады
(2. 1. 1)
-
сортты бөлшектің заряд тығыздығы.
потенциалының фурье-образы келесі түрде
. (2. 1. 2)
- сыртқы өрісі плазмада
заряд тығыздығының өзінің қозбаған мәнінен ауытқуын туғызады. Сызықты үндесу теориясына сәйкес
, (2. 1. 3)
мұндағы
-
және
сортты бөлшектердің үндесу функциясы.
Плазма екікомпонентті болған жағдайда үндесу функциясы хаостық фазалар жуықтауында мына түрде болатыны белгілі
,
,
,
мұнда
(2. 1. 4)
Мұндағы
- корреляциялық әсерлерді ескермеген жағдайдағы
және
сортты бөлшектердің әсерлесу потенциалының фурье-образы,
- әсерлесуші бөлшектер жүйесінің үндесу функциясы,
-
а
сортты бөлшектердің жылулық жылдамдығы,
функциясы
- (2. 1. 5)
- Фрид-Конте функциясы.
Диэлектрлік үндесу функциясының жиілік пен толқын санына тәуелділігі плазманың толық және сыртқы қозу тығыздығына қатынасымен анықталатыны белгілі.
Статистикалық диэлектрлік функция
статистикалық үндесу функциясы арқылы
(
) оңай жазылады
(2. 1. 6)
- Кронекер символы. (2. 1. 4), (2. 1. 5) -ті (2. 1. 6) -ға қоя отырып алатын нәтижеміз
(2. 1. 7)
мұндағы
- корреляциялық әсерлерді ескермеген жағдайдағы
және
сортты бөлшектердің әсерлесу потенциалының фурье-образы.
Плазмадағы коллективті әсерлесуді ескеретін статистикалық псевдопотенциал мына түрде жазылады
(2. 1. 8)
мұндағы
- диэлектрлік өтімділіктің кері тензоры.
Қарапайым конфигурациялық кеңістікте
-псевдопотенциалдары үшін
- кері Фурье түріне келтіріледі
. (2. 1. 9)
2. 2 Классикалық кулондық плазма үшін Власов сызықты теориясының және сызықты диэлектрлік теориясының эквивалентілігі
Плазмадағы зарядталған бөлшектерінің кедергісін зерттеу кезінде диэлектрлік өткізгіш үшін не сызықты диэлектрлік теориясының, не Власов сызықты теориясының алынған нәтижелерін қолдануға болады. Тиімді қолданыс үшін анализ жасау керек және плазманың диэлектрлік өткізгіші үшін мәндерін орындарына қою керек.
(2. 1. 4) мәндерінің анализы Дойч потенциалын
ретінде қолданған жағдайда құрамындағы
және
мүшелері, тек бірінші және екінші сорттағы иондар зарядтарының әртүрлілігімен ерекшеленбейді. Сонымен қатар әсерлесуші жұптардың де-Бройль толқын ұзындықтары мәндернің әртүрлі болуымен ерекшеленеді. Осының нәтижесінде құрамында әртүрлі сорттағы бөлшектері бар бөліктері өзара компенсацияланбайды.
Егер плазма бөлшектері бір бірімен Кулон потенциалы арқылы әсерлесетін болса, яғни потенциалда бөлшектердің квантмеханикалық қасиеттері ескерілмегендіктен плазма классикалық болса, онда
үшін мәндеріндегі әртүрлі сорттағы иондардың заряд сандарының пропорционал бөліктері өзара бір бірімен компенсациаланатынын байқауға болады. Шынында да,
![]()
(2. 2. 1)
Егер кулондық потенциалдардың Фурье-кескіні мына түрде екенін ескерсек
,
,
,
,
,
, (2. 2. 2)
онда
және
және
және
өзара компенсациаланады. Нәтижесінде
үшін нәтижесінде қарапайым түрі шығады
. (2. 2. 3)
Соған ұқсас, (2. 1. 4) (2. 2. 1) және (2. 2. 2) -ні ескере отырып жалпы бөлгішке келтірілу келесі түрде болады
(2. 2. 4)
(2. 1. 5) -тің бірінші қатынасын ескерсек (2. 2. 4) мына түрге келеді
(2. 2. 5)
Теңдеу Власовтың сызықты теориясының алынған нәтижелерімен сәйкес келетінін байқау қиын емес
. (2. 2. 6)
Ескеретін нәрсе, (2. 2. 5) -те дифракция мен симметрияның кванттық эффектілерін ескеретін потенциалдар қолдануға болатындықтан,
үшін (2. 2. 6) теңдеуіне қарағанда (2. 2. 5) теңдеуі жалпы болып табылады. Сонымен қатар, (2. 2. 5) теңдеуін зарядталған бөлшектерімен қатар нейтралды атомдары және молекулалары, онымен қоса дисперсті бөлшектері бар күрделі құрамды плазмалар үшінде қолдануға болады. Басқаша айтқанда, сызықты диэлектрлік теориясының нәтижелері Власовтың сызықты теориясына қарағанда кеңірек ауқымды түрде, күрделі құрамды плазманың зарядталған бөлшектерінің тежелуін зерттеуде, сонымен қатар, жартылай иондалған плазмада қолдануға болады.
3 Псевдопотенциалдарды есептеу
3. 1 Микропотенциалдардың Фурье-кескіндері
Алдағы есептеулер үшін жұп әсерлесу потенциалы ретінде Дойч потенциалы алынды
, (3. 1. 1)
мұндағы
- де-Бройль толқын ұзындығы,
- келтірілген масса,
- Кронекер символы,
- Больцман тұрақтысы, Т- плазма температурасы. (3. 1. 1) потенциалының бірінші қосылғышы - дифракцияны, ал екіншісі - симметрия кванттық эффектілерін ескереді. (3. 1. 1) түрінде жазылған эффективті потенциал:
болғанда кулондық потенциалмен сәйкес келуін болдырмайды, сонымен қатар
болғанда заряд өрісінің экрандалу әсерін ескермейді.
Құрамында сутегі-гелий бар үшкомпонентті плазманың әрбір жұп компоненттері үшін әсерлесу микропотенциалдарын анықтаймыз.
Әсерлесу макропотенциалдарының Фурье кескінін есептеу үшін алдымен алынған микропотенциалдарды Фурье кеңістігіне көшіру керек.
Сонымен, белгілі формула арқылы
(3. 1. 2)
алынған әсерлесуші жұп микропотенциалдарының өлшемсіз параметрлер түріндегі Фурье-кескіні мына түрде болады:
(3. 1. 3)
мұндағы - электрон-электрон әсерлесу микропотенциалының фурье-кескіні, - сутегі ион-ион әсерлесу микропотенциалының фурье-кескіні, - гелий ион-ион әсерлесу микропотенциалының фурье-кескіні, - электрон-сутегі ион әсерлесу микропотенциалының фурье-кескіні, - электрон-гелий ион әсерлесу микропотенциалының фурье-кескіні, - сутегі ион- гелий ион әсерлесу микропотенциалының фурье-кескіні, - де-Бройль толқын ұзындықтары:
(3. 1. 4)
- өлшемсіз байланыс параметрі,
- өлшемсіз тығыздық параметрі, m
e
, m
p
, m
h
- сәйкесінше, электрон, протон және гелий ядроларының массалары.
3. 2 Псевдопотенциалдарды есептеу
Дифракция және симметрия квантмеханикалық қасиеттерімен қатар коллективті әсерлерді де ескеретін
псевдопотенциалдарын алу үшін сызықты диэлектрлік үндесу әдісіне сәйкес макропотенциалар төмендегідей анқталады:
(3. 2. 1)
мұндағы
- коллективті әсерлерді ескеретін потенциал,
- плазма бөлшектерінің әсерлесу микропотенциалы.
Фурье түрлендіруі
Фурье-кескіні үшін
- сызықты алгебралық теңдеулерінің жүйесін алуға мүмкіндік береді
(3. 2. 2)
Алынған микропотенциалдарды
(3. 2. 3)
қойып және диэлектрлік өтімділіктің кері тензорын анықтай отырып, гелий-сутекті үшкомпонентті плазмаға қатысты жүйенің барлық әсерлесу жұптары үшін:
... жалғасы
- Іс жүргізу
- Автоматтандыру, Техника
- Алғашқы әскери дайындық
- Астрономия
- Ауыл шаруашылығы
- Банк ісі
- Бизнесті бағалау
- Биология
- Бухгалтерлік іс
- Валеология
- Ветеринария
- География
- Геология, Геофизика, Геодезия
- Дін
- Ет, сүт, шарап өнімдері
- Жалпы тарих
- Жер кадастрі, Жылжымайтын мүлік
- Журналистика
- Информатика
- Кеден ісі
- Маркетинг
- Математика, Геометрия
- Медицина
- Мемлекеттік басқару
- Менеджмент
- Мұнай, Газ
- Мұрағат ісі
- Мәдениеттану
- ОБЖ (Основы безопасности жизнедеятельности)
- Педагогика
- Полиграфия
- Психология
- Салық
- Саясаттану
- Сақтандыру
- Сертификаттау, стандарттау
- Социология, Демография
- Спорт
- Статистика
- Тілтану, Филология
- Тарихи тұлғалар
- Тау-кен ісі
- Транспорт
- Туризм
- Физика
- Философия
- Халықаралық қатынастар
- Химия
- Экология, Қоршаған ортаны қорғау
- Экономика
- Экономикалық география
- Электротехника
- Қазақстан тарихы
- Қаржы
- Құрылыс
- Құқық, Криминалистика
- Әдебиет
- Өнер, музыка
- Өнеркәсіп, Өндіріс
Қазақ тілінде жазылған рефераттар, курстық жұмыстар, дипломдық жұмыстар бойынша біздің қор #1 болып табылады.

Ақпарат
Қосымша
Email: info@stud.kz