Электрлік жетек, электрлік жетек түсінігі, негізгі ұғымдар


ЭЛЕКТРЛІК ЖЕТЕК
Электрлік жетек түсінігі. Негізгі ұғымдар
Белгілі-бір жұмыс атқаратын қондырғы негізінде үш бөліктен тұрады: қозғалтқыштан, беріліс механизмінен және жұмысшы машинадан. Қозғалтқыш пен беріліс механизмі қуат пен қозғалысты қозғалтқыштан жұмысшы машинаға беруге арналған. Осы екеуі жетек болып бірігеді. Қазіргі кезде қозғалтқыштың негізгі түрі электрлік қозғалтқыш болғандықтан, қозғалтқыш пен беріліс механизмін электрлік жетек деп атау қабылданған. Технологиялық процестер және олардың атқарушысы болып табылатын жұмыс машиналары автоматтық басқарылатын және әртүрлі өзгерістерге бейімді болуы керек. Сондықтан электр энергиясының да және механикалық энергияның да параметрлері жұмысшы машинаның жұмыс әлпіне сәйкесті реттелініп отырады. Қозғалтқышқа берілетін электр энергиясының праметрлерін өзгерту үшік әртүрлі түрлендіргіштер қолданылады. Олар кернеуді, жиілікті, фазаны немесе токтың тегін түрлендіруге немесе реттеуге арналған құрылғылар болуы мүмкін. Ал қозғалтқыштан алынатын механикалық энергияның параметрлерін өзгерту және оны жұмысшы машинаның параметрлерімен сәйкестеу үшін әртүрлі муфталар, редукторлар, пневматикалық және т. б. беріліс механизмдері қолданылады. Электр энергиясын түрлендіргіш пен қозғалтқыштың һәм беріліс механизмінің жұмысын басқарып жене бақылап отыру үшін басқару құрылғысы болуы керек. Ендеше электрлік жетек ЭЖ (1-сурет) электр энергиясын түрлендіргіштен ЭЭТ, электрлік қозғалтқыштан М, беріліс механизмінен БМ және басқару құрылғысынан БҚ турады. Электрлік жетекке электр энергиясы көзі G мен жұмысшы машина ЖМ кірмейді.
Сонымен, электрлік жетек деп электр энергиясын механикалық энергияда түрлендіретін және түрлендіру жүйесін электрлік басқаруға арналған электромеханикалық құрылғылар мен қондырғылардың жиынтығын айтады.
Қозғалтқыштардың саны мен жұмысшы машинаның атқарушы органдарына байланысты электрлік жетек жеке, топтық және өзара байланысқан болып бөлінеді.
Жеке электрлік жетек деп жұмысшы машинаның бір атқарушы органын бір қозғалтқыш қозғалысқа келтіретін жетекті айтады.
Мысалы, желдеткіш және конвейерлік қондырғылар, метал кескіш станоктар, бұрғылау қондырғылары т. б.
Топтық электрлік жетек деп бірнеше жұмысшы машинаны немесе бір жұмысшы машинаның бірнеше атқарушы органдарын бір қозғалтқышпен қозғалысқа келтіретін жетекті айтады. Бірнеше атқарушы орган немесе бірнеше жұмысшы машина әртүрлі беріліс (тісті, таспалы, белбеулі, т. с. с. ) арқылы бір қозғалтқышпен қозғалысқа келтірілетіндіктен, топтық жетектің сенімділігі және техникалық көрсеткіштері жеке жетекке қарағанда төмен болады. Сондықтан қазіргі кезде топтық жетек сирек қолданылады.
1-сурет. Электрлік жетектін сұлбалық құрылымы.
Өзара байланысқан электрлік жетек деп электрлік немесе механикалық байланысқан екі немесе одан да көп электрлік қозғалтқыштардан тұратын жетекті айтады. Кейбір өзара байланысқан электрлік жетекте электрлік қозғалтқыштар ортақ бір білікке жұмыс істейді.
Қазіргі электрлік жетек негізінен автоматтандырылған электрлік жетек болып келеді. Автоматтандырылған электрлік кетек бағдарлы басқарылатын, өзгермелі берілуші сигнал бойынша атқарушы органның орын ауыстыруын қадағалайтын, атқарушы органның баптарына сәйкесті басқарылатын, атқарушы органның жұмыс әлпіне сәйкесті автоматтық бейімді басқарылатын талаптарға сай жұмыс істейді.
Электрлік жетек механикасының негізгі теңдеулері
Электрлік жетектің жұмысы кезінде электрлік қозғалтқыштың айналдырушы моменті біліктегі барлық кедергі моментті жеңіп жұмысшы машинаны қозғалысқа келтіреді немесе жұмысшы машинаны тежеп, оның айналу жылдамдығын өзгертеді яки тоқтатады. Жалпы алғанда, электрлік жетектің қозғалыс жылдамдығы үнемі өзгеріп отырады. Бұл қозғалтқышты жүргізіп жіберу мен тежеуден, жүкке байланысты кедергі күштің өзгеруінен, қорек көзіндегі кернеудің өзгеруінен т. б. себептерден туындайды. Ал жылдамдықтың өзгеруінің салдарынан жетектің барлық құрылымындағы қозғалыстағы бөлшектердің кинетикалық энергиясы өзгереді. Жетек жүйесіндегі қозалыстың сипаты қозғалтқыштың айналдырушы моменті мен кедергі моменттің ара қатынасына байланысты анықталады. Егер айналдырушы момент пен кедергі момент өзара тең болса, онда қозғалыс тұрақты қалыптасқан жылдамдыққа ие болады. Егер айналдырушы момент кедергі моменттен артық болса, онда қозғалыс жылдамдығы өседі және керісінше. Осыған байланысты жетек бөліктерінің энергиясы да тұрақты болып немесе өсіп не кеміп отырады.
Қозғалтқыштың тудыратын энергиясы dW барлық кедергілерді жеңуге dW K және қозғалыстағы бөлшектерге кинетикалық энергия беруге dW Д жұмсалады, яғни
(13. 1)
Айналып тұрған белшектердің кинетикалық энергиясы
(13. 2)
мұндағы:
J-
айналып тұрған бөлшектердің кинетикалық энергиясы;
- бұрыштық жылдамдық.
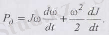
Ендеше энергия балансының теңдеуін төмендегіше жазуға болады:
(13. 3)
Егер энергияның уақыт бойынша өзгерісін анықтаса, онда қуаттар балансының теңдеуі алынады:
(13. 4)
немесе
(13. 5)
мұндағы: қозғалтқыштың куаты
кедергі қуат
динамикалық қуат
Айналып тұрған бөлшектердің кинетикалық энергиясы тудыратын қуатты динамикалық қуат, ал моментті динамикалық момент деп атайды.
Айналдырушы момент пен қуаттың арасындағы байланыс
(13. 6)
өрнегімен анықталатыны белгілі. Егер бұрыштық жылдамдықтың орнына айн/мин-пен өлшенген айналу жылдамдығының мәнін қойса (
=
), онда жиі қолданылатын
(13. 7)
өрнегін алуға болады.
Егер (13. 5) өрнегін бұрыштық жылдамдыққа бөлсе, онда моменттер балансының теңдеуі шығады:
(13. 8)
немесе
(13. 9)
мұндағы: М - қозғалтқыш тудыратын момент; М к - кедергі момент; М д - динамикалық момент.
Көптеген жағдайда инерциялық момент тұрақты деп алынатындықтан, яғни J = const, моменттер балансының теңдеуі, әдетте, төмендегіше жазылады:
(13. 10)
Міне осы теңдеу электрлік жетек механикасының негізгі теңдеуі деп аталады.
Электрлік жетек механикасының негізгі теңдеуі бойынша: егер жылдамдық тұрақты болса яғни
d
Equation. 3 /dt=0,
онда
М=М
К
;
егер жылдамдық өсіп отырса, яғни
d
Equation. 3 /dt>O,
онда
М>М
к
кедергі момент теріс таңбалы; егер жылдамдық азайса, яғни
d
Equation. 3 /dt <0,
онда
М < М
к
кедергі момент оң таңбалы болады. Ендеше (13. 10) өрнегі төмендегіше жазылуы керек:
(13. 11)
Бұл тендеу жылдамдық өскен кезде айналмалы белшектердің энергия жинақтайтынын, ал жылдамдық азайған кезде жинақталған энергияның қайтадан жүйеге берілетіндігін көрсетеді.
Жалпы алғанда, жылдамдық өзгерген кезде жетектің кедергі моменті де өзгеріп отырады. Сондықтан әртүрлі жұмысшы машиналар үшін олардың механикалық сипаттамаларына (13. 2-сурет) сәйкес келетін кедергі моменттің тәжірибе арқылы алынған өрнегі ұсынылған:
(13. 12)
мұндағы: М с - жұмысшы машинаның (жетектің деп айтуға да болады) статикалық кедергі моменті; М н - жұмысшы машинаның номинал жылдамдықпен айналғандағы кедергі моменті; п - айналу жылдамдығы; п- жұмысшы машинаның номинал айналу жылдамдық х- жұмысшы машинаның механикалық сипаттамасына сәйкесті дәреже көрсеткіші.
1-суреттегі 1 сипаттама жүгі тұрақты болып келетін көтергіш машиналарға, транспортерлерге, конвейерлерге сәйкес келеді. Мұндай сипаттама үшін х=0 деп алынады.
Жылдамдық өскен кезде кедергі моменті одан сызықты тәуелді өсетін жұмысшы машиналар үшін х=1 (2 сипаттама) . Кедергі моменті жылдамдықтың квадратынан тәуелді жұмысшы машиналардың механикалық сипаттамасын (3 сипаттама) желдеткіштік сипаттама деп атайды. Мұндай жұмысшы машиналар (желдеткіштер, центрден тепкіш сорғылар) үшін х=2.
Кедергі моменті жылдамдықтың кері шамасынан тәуелді (4 сипаттама) жұмысшы машиналар (метал өңдеу станоктары) үшін х=-1.
1-сурет. Жұмысшы машиналардың механикалық сипаттамалары.
Әдетте жұмысшы машиналардың айналу жылдамдығы электрлік қозғалтқыштардың айналу жылдамдығынан әлдеқайда кем болады Өйткені электрлік қозғалтқыштардың айналу жылдамдығы жоғарылаған сайын массасы азаяды, габариттік мөлшері кішірейеді және бағасы төмендейді, пайдалы әрекет коэффициенті мен қуат коэффициенті жоғарылайды. Осы себепті қозғалтқыштардын номинал айналу жылдамдығын көбіне 750, 1000, 1500, 3000 айн/мин-қа тең етіп жасайды. Сондықтан қозғалтқыш пен жұмысшы машинаны жылдамдықты азайтатын беріліс механизмі арқылы қосады (2-сурет) . Жетек жүйесінде бірнеше элемент әртүрлі жылдамдықпен айналып (қозғалып) тұрады. Ал моменттер байансының теңдеуі (13. 10) бір буынды, яғни қозғалтқыш жұмысшы
2-сурет. Сатылы берілісті жетектің сұлбалық құрылысы.
машинамен тікелей жалғасқан, жетек үшін жазылған. Көп буынды жетектегі моменттер балансының теңдеуін шешу үшін жетекте қанша буын болса, сонша теңдеу жазу керек. Бұл есепті қиындатады. Сондықтан есептің шешуін оңайлату үшін барлық инерциялық моменттерді, кедергі моменттер мен айналдырушы моменттер бір жылдамдыққа келтіріліп, бір теңдеу құрылады. Элементтердің (буындардың) жылдамдықтары әдетте қозғалтқыштың жылдамдығына келтіріледі.
Қуаттар балансы бойынша бір сатылы берілісті жетекте (2-сурет: М-мотор; БМ-беріліс механизмі; ЖМ- жұмысшы машина)
(13. 13)
мұндағы:
М
к
,
-
қозғалтқыштың білігіндегі кедергі момент пен бұрыштық жылдамдық;
М
м
- жұмысшы машинаның білігіндегі кедергі момент пен бұрыштық жылдамдық;
-
беріліс механизмінің пайдалы әрекет коэффициенті.
Осы тендіктен қозғалтқыштың білігіндіегі кедергі момент
(13. 14)
мұндағы
і=
- берілісте бұрыштық жылдамдықтың қозғалтқыштың бұрыштық жылдамдығымен салыстырғанда қаншалықты өзгеретінін көрсететін шама берілістік қатынас деп аталады.
Егер беріліс көп сатылы болса, онда кедергі момент
(13. 15)
мұндағы:
і
1
і
2,
---, і
п
сатылардың берілістік қатынасы;
, -
сатыға сәйкесті беріліс механизмінің пайдалы әрекет коэффициенті.
Осы сияқты жетектің келтірілген инерциялық моменті
(13. 16)
мүндағы: J K - қозғалтқышытың инерциялық моменті; J 1 , J 2 . . . , J n - әртүрлі жылдамдықпен айналып тұрған элементгердің инерциялық моменті.
Электрлік жетекті жіберу, тоқтату және тежеу уақыты
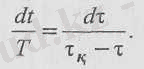
Электрлік жетекті жіберу, яғни оның жүріп кету, уақыты деп айналу жылдамдығының нөлден номинал немесе жүкке сәйкесті мәніне жеткенге дейінгі уақытты, тоқтау уақыты деп айналу жылдамдығының номинал немесе жүкке сәйкесті мәнінен нөлге, яғни тоқтағанға дейінгі, ал тежелу уақьггы деп айналу жылдамдығының белгілі-бір мәнінен "екінші-бір мәніне өзгергенге дейінгі уақытты айтады.
Электрлік жетектің жіберілу, тоқтау және тежелу уақытын анықтау үшін электрлік жетектің негізгі теңдеуін уақыт бойынша шешу керек.
Мұнда жылдамдық та, моменттер де уақыт бойынша бейсызықты өзгеріп отыратындықтан графоаналитикалык әдіс қолданылады.
Қозғалтқыштың механикалық сипаттамасы мен кедергі моменттің графиктері бір координаттар жүйесінде тұрғызылып, бірнеше телімдерге - белінеді (3-сурет) . Телімдердегі моменттердің орташа мәндері алынып, жылдамдық пен уақыттың өсімшелері
(d
Equation. 3, dt)
шекті өсімшелермен(
)
алмастырылады, яғни
3-сурет. Қозғалтқыштың механикалық сипаттамасы (М) мен кедергі моменттің графигі (М к ) .
(13. 17)
мұндағы M o , M KO - қозғалтқыштың айналдырушы моменті мен кедергі моменттің төлім ішіндегі орташа мәндері. Бұдан телімді өту уақыты
(13. 18)
Егер бұрыштық жылдамдықтың орнына оның айналу жылдамдығы арқылы ернектелген мәнін
(
) қойса, онда
(13. 19)
Ал электрлік жетектің жіберілу немесе оның жылдамдығының белгілі-бір жылдамдықтан екінші-бір жылдамдыққа дейін өсу уақыты қарастырылып отырған төлімдерді өту уақыттарының қосындысына тең болады:
(13. 20)
мұндағы
-
телімдер үшін (13. 19) өрнегі бойынша анықталатын уақыттар.
Электрлік жетектің тоқтау немесе жылдамдығының белгілі-бір жылдамдықтан екінші-бір жылдамдыққа дейін кемитін уақытын есептегенде кедергі моменттің алдына оң таңба қою керек, өйткені жылдамдық кемігенде қозғалтқыштың моменті кедергі моментке айналады.
Электрлік жетектің жіберілу, тоқтау және тежелу уақытына электрлік өтпелі үрдістер де және беріліс механизмі мен жұмысшы машина бөлшектерінің байланысының қатаңдығы да әсер етеді.
Қозғалтқыштардың қызуы және салқындауы
Қозғалтқыштардың жұмысы кезінде олардың магнит өткізгіш өзектері мен орамаларының қызатыны белгілі (6, 8 тараулар) . Магнит өткізгіш өзек құйынды токтар мен қайталап магниттенудің әсерінен қызса, орамалар ондағы токтың әсерінен қызады. Бұдан басқа, үйкелістің нәтижесінде подшипниктер мен ротордың білігі де қызады. Электр машиналарында әртүрлі материалдар (электротехникалық болат, мыс, оқшаулық материалдар, т. б. ) қолданылатындықтан және жылу сыйымдылығы мен жылу бергіштігі әртүрлі болатындықтан, олардың озара және қоршаған ортамен жылу алмасу үрдісі өте күрделі болады. Сондықтан электрлік қозғалтқыштардағы жылулық үрдістерді қарастырғанда олар біртекті дене деп қабылданады. Бөлінетін жылудың бір бөлігі қоршаған ортаға тарайды, ал екінші-бір бөлігі қозғалтқыштың денесін қыздыруға кетеді. Осы себепті жұмыс кезінде қозғалтқыштар қызады. Қозғалтқыштың температурасы өскенде оның қоршаған ортаға беретін жылуының шамасы да өседі. Бірақ қозғалтқыштың қызуы белгілі-бір шамаға жеткенде оның бөліп шығаратын жылуы мен қоршаған ортаға беретін жылуы теңеседі де, температураның өсуі тоқтайды, яғни қозғалтқыштың температурасы қалыптасады.
Қозғалтқыштың қоршаған ортаға беретін жылуының шамасы қозғалтқыш пен оны қоршаған ортаның температураларының айырымына пропорционал деп есептеледі. Олай болса, қозалтқыштағы жылу балансының теңдеуі
(13. 21)
мұндағы:
Q -
уақыт бірлігі ішінде қозғалтқышта бөлініп шығатын жылу;
A -
қозғалтқыштың жылу бергіштігі;
- қолзғалтқыштың температурасы;
-
қоршаған ортаның температурасы;
С -
қозғалтқыштың жылу сыйымдылығы.
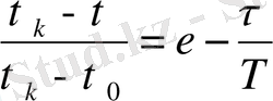
Әдетте, есептеулерде қоршаған ортаның температурасы 40°С-ге тең деп алынады. Сондықтан (13. 21) өрнегіне қозғалтқыш температурасының қоршаған ортаның температурасынан артықтығы
қойылады, яғни
Qdt=A(
Equation. 3 ) dt+Cd(
Equation. 3 ) (13. 22)
Егер осы теңдіктің екі жағын да Adt- ға бөлсе, онда
(13. 23)
мұндағы:
қызудың қалыптасқан артықтығы;
- қызудың уақыттық тұрақтысы деп аталатын шама.
(13. 23) өрнегіндегі айнымалы шамаларды бөлектесе, онда
(13. 24)
Интегралдағаннан кейін
(13. 25)
мұндағы К- интегралдау тұрақтысы.
Интегралдау тұрақтысын
t
=
0
бастапқы шартынан табуға болады: бастапқыда қозғалтқыштың температурасы қоршаған ортаның температурасынан
-ге артық десе, онда
Интегралдау тұрақтысының мәнін (13. 25) өрнегіне қойса
немесе
Бұдан
(13. 26)
Егер бастапқыда қозғалтқыштың температурасы қоршаған ортаның температурасына тең болса, яғни
=0,
онда
(13. 27)
- Іс жүргізу
- Автоматтандыру, Техника
- Алғашқы әскери дайындық
- Астрономия
- Ауыл шаруашылығы
- Банк ісі
- Бизнесті бағалау
- Биология
- Бухгалтерлік іс
- Валеология
- Ветеринария
- География
- Геология, Геофизика, Геодезия
- Дін
- Ет, сүт, шарап өнімдері
- Жалпы тарих
- Жер кадастрі, Жылжымайтын мүлік
- Журналистика
- Информатика
- Кеден ісі
- Маркетинг
- Математика, Геометрия
- Медицина
- Мемлекеттік басқару
- Менеджмент
- Мұнай, Газ
- Мұрағат ісі
- Мәдениеттану
- ОБЖ (Основы безопасности жизнедеятельности)
- Педагогика
- Полиграфия
- Психология
- Салық
- Саясаттану
- Сақтандыру
- Сертификаттау, стандарттау
- Социология, Демография
- Спорт
- Статистика
- Тілтану, Филология
- Тарихи тұлғалар
- Тау-кен ісі
- Транспорт
- Туризм
- Физика
- Философия
- Халықаралық қатынастар
- Химия
- Экология, Қоршаған ортаны қорғау
- Экономика
- Экономикалық география
- Электротехника
- Қазақстан тарихы
- Қаржы
- Құрылыс
- Құқық, Криминалистика
- Әдебиет
- Өнер, музыка
- Өнеркәсіп, Өндіріс
Қазақ тілінде жазылған рефераттар, курстық жұмыстар, дипломдық жұмыстар бойынша біздің қор #1 болып табылады.

Ақпарат
Қосымша
Email: info@stud.kz