Активті қуаттың минимум шығыны бойынша АО «ЖРЭК» 220-220 кВ Қарағанды тораптарындағы режимдерді оңтайландырудың есептеулері


АННОТАЦИЯ
В дипломной работе рассмотрены вопросы оптимизации режима электрической сети 220 - 500 кВ Карагандинских электрических сетей. Актуальность вопроса связана с необходимостью регулирования напряжения в региональных сетях с целью снижения потерь электроэнергии. В настоящее время в связи малой загрузкой сети наблюдается повышение напряжения в сети 220 - 500 кВ. Компенсация реактивной мощности на подстанциях 220 - 500 кВ с использованием средств регулирования реактивной мощности обеспечивает оптимальные уровни напряжения, но при этом возникают вопросы выбора их мощности и места подключения. В режимах малой загрузки шунтирующих линий 110 кВ, с целью снижения потерь целесообразно их размыкание, с выбором оптимального места размыкания.
В дипломной работе проведены расчеты по оценке эффективности указанных мероприятий по оптимизации режима сети 220 - 500 кВ Карагандинских сетей АО «ЖРЭК».
АНДАТПА
Диплом жұмысында Қарағанды электр желiлерiнiң 220-500 кВ электр желiсiнiң жұмысын оңтайландыру мәселелерi қаралған. Көтерiлiп отырған мәселе электр күшiнiң шығынын төмендету мақсатында аймақтық желiлердегi кернеу куатын реттеу қажеттiлiгiмен(де) өзектi. Қазiргi танда желiлердегi жүк көлемiнiң аздығынан 220-500 кВ желiлердiң кернеу куаты көбейiп отыр. 220-500 кВ желi тораптарындағы реактивтi қуатты оны реттеу құралдарын пайдалану арқылы компенсациялау кернеу қуатының көлемiн оңтайлы етудi қамтамасыз етедi. Алайда, бұл орайда олардың қуаты мен қосатын орнын таңдау мәселесi туындайды. Жүк көлемi аз 110 кВ желiлердiң шығынын азайту үшiн оңтайлы деген жерлерiн таңдап алып, ағытып тастау орынды(пайдалырақ) .
Диплом жұмысында Қарағанды желiлерiнiң АҚ«ЖРЭК» 220-500 кВ желi жұмысын оңтайландыру жөнiндегi көрсетiлген шаралардың тиiмдiлiгi тұрғысынан алғандағы жоба есебi келтiрiлген.
МАЗМҰНЫ
Кіріспе . . . 8
1 Реактивті қуат және кернеу бойынша электр тораптардың режимін оңтайландыру . . . 9
1. 1 Режимдерді оңтайландыру кезіндегі негізгі критерийлер . . . 9
1. 2 Минимум шығын бойынша оңтайландыру әдістері . . . 12
1. 3 Негізгі шаралар және электр торабындағы кернеуді реттегіш амалдар . . . 15
2 Тұрақтанған режимдер және оны оңтайландыру есептеулері үшін ЖРЭК
Қарағанды электрлік тораптарының сұлбаларын құрастыру . . . 22
2. 1 ЖРЭК Қарағанды электрлік тораптарының алмастыру сұлбасы . . . 22
2. 2 Реактивті қуат және кернеудің оңтайлы параметрлерінің негізгі есебі . . . 29
2. 3 ВЛ - 220 - 500 кВ анықтау параметрі шығынды есепке алу тәжісінде . . . 34
3 Арнайы бөлім . . . 46
3. 1 Көлденең орын толтырудағы реттелетін құрылғылармен ауысым
тогының ауырлатылған электро беру жұмысының беріктігі . . . 46
4 Тіршілік әрекетінің қауіпсіздігі . . . 65
4. 1 Қосалқы станциядағы жұмыс орнына жарықтандыру жүйелерін
таңдау және жарықтандыруды есептеу . . . 67
4. 2 Оперативті-диспетчерлік қызмет бөлмесінідегі жарықтық ойықты
есептеу . . . 73
4. 3 Электроқұрылғының найзағай қорғаныс жобасының өндірісі . . . 76
4. 4 Оперативті-диспечерлік қызмет климаттық параметрдің жақсарту
әдісі жұмыс орындарында . . . 78
5 Экономикалық бөлім . . . 82
5. 1 Тораптардағы электроэнергия шығынын төмендету бойынша
шаралардың тиімділігі . . . 82
5. 2 Инвестиция анықтама . . . 83
5. 3 Шығынды төлеудегі шығын үнемділігін анықтау . . . 85
Қорытынды . . . 88
Әдебиеттер тізімі . . . 89
Қосымша А . . . 90
Қосымша Б . . . 91
Қосымша В . . . 92
Қосымша Г . . . 93
КІРІСПЕ
Режимді оңтайландыру энергожүйе режимдерін басқару кезінде ҚБЖА-ның маңызды мәселелерінің бірі болып табылады. Қазіргі кезде оңтайлы режимдерді жүргізу амалдары мен әдістерінің үлкен тәжірибесі жинақталған.
Режимдерді оңтайландыру мәселелері екі топқа бөлінеді:
- Шартты жанармай шығынының критерийі бойынша станциялар арасында активті қуат бойынша режимдерді оңтайландыру;
- Активті шығынның минимум критерийі бойынша реактивті қуат пен кернеу бойынша режимдерді оңтайландыру;
Электроэнергия көтерме нарығының жағдайында шартты жанармайдың минимум критерийі бойынша оңтайландыру өз мәнін жоғалтады, себебі қуат пен электроэнергияны жеткізу, электроэнергия көзі мен тұтынушы арасында екі жақты келісім шарт жасалынады.
Осыған байланысты қазіргі уақытта РЭКта режимдерді оңтайландыру реактивті қуат және кернеу арқылы жүзеге асырылады.
Осы дипломдық жұмыста ОАО ЖРЭК 22 кВ Қарағанды торабының режимін оңтайландыру сұрақтарын қарастырамыз.
RASTR оңтайландыру блогын қолданған тұрақтанған режимнің есебін жүргіземіз.
Сонымен қатар ОАО ЖРЭК Қарағанды желісінің құрылымдық шығынының анализін жүргіземіз. Шығынды төмендету шараларын қарастырамыз.
1 Реактивті қуат және кернеу бойынша электр тораптардың режимін оңтайландыру
1. 1 Режимдерді оңтайландыру кезіндегі негізгі критерийлер
Режимдерді оңтайландырудың әр түрлі мәселесі үшін әдістерді салыстыру және жетілдірудің белгілі тәжірибесі жинақталған, сонымен қатар электроэнергетикалық жүйелердегі практикалық есептер. Көбінесе оңтайландырудырылған мәселелердің үш түрі шешіледі:
1) Жылу электростанциясын активті қуаты бойынша энергожүйенің режимін оңтайландыру;
2) Электрлік торапта режимдерді оңтайландыру, яғни U, Q және n бойынша режимдерді оңтайландыру кезіндегі тораптағы активті қуаттың шығынын азайту.
3) Электроэнергиялық жүйе режимін кешенді оңтайландырудың жалпы мәселесі.
Бұл мәселелер электроэнергетикалық жүйелер мен тораптар режимдерін басқару қарқынды процесінде шешілуі тиіс, ал кейбір жағдайларда оперативті және автоматты жағдайларда шешіліп жатады.
Р жылу электростанциясы бойынша энергожүйе режимін оңтайландыру немесе жылу электростанциялар арасындағы активті қуатты үлестіру, тұтынушылардың берілген жүктемесі кезінде тораптағы шығынның жақындатылған есебімен жылу электростанциясындағы шартты жанармай шығынының қосындысының минимумына сәйкес келетін станцияның активті қуатын табуға мүмкіндік береді.
Егер станция мен желінің активті қуатының шектеулі теңсіздігін ескермесек, онда математикалық қойылымда бұл мәселе Лагранж әдісімен шешілетін шартты экстремумға бағытталған.
Станция мен желінің активті қуатының шектеулі теңсіздігін ескерсек, бұл мәселе сызықты емес бағдарламалауда шешіледі.
Электрлік торап режимін оңтайландыру кернеу түйіндерін оңтайлы таңдау нәтижесінде активті қуат, кернеу түйіндерін оңтайлы таңдау нәтижесінде реактивті қуат, техникалық шектеуді есепке алу кезінде реттелетін трансформатор мен ауыстыру коэффициенті мен көзінің реактивті қуатының шығынын азайтуға әкеледі.
Режимдерді кешенді оңтайландыру активті қуаттың оңтайлы мәнін, сонымен қатар техникалық шектеуде торап түйіндеріндегі кернеу фазасы және модулін табуға мүмкіндік береді.
Матиматикалық қойылымдарда режимді кешенді оңтайландыру және электрлік торап режимін оңтайландыру тұрақтанған режим теңдеуі түрінде берілген шектеулі теңдікпен және режимнің басқарылатын параметрін берілген шектеулі теңсіздіктермен сызықты емес бағдарламалаудың мәселелері болып табылады. Мәселенің үш түрінде де ауысымдар үздікскіз.
Режимдерді кешенді оңтайландыру жылу электростаниясындағы шартты жанармай шығынының қосыдысының минимумына сәйкес келетін және басқарылатын көлемді, яғни режим параметрлері мен олардан алынатын функцияларды техникалық шектеулермен қанағаттандыратын режимнің барлық параметрлерінің оңтайлы мәнін анықтауға мүмкіндік береді.
Кешенді оңтайландыру кезінде Р г станциясының активті қуатының, Q г -дің басқа көздерімен және станцияның жалпыландырылған реактивті қуаттың, U және δ, түйіндеріндегі кернеудің фазасы мен модулінің, n ауыстырудың реттелетін коэффициенттері, оңтайлы мәндері анықталады. P 2 Q 2 -дағы техникалық шектеулер, түйіндердегі кернеудің фазасы мен модулі, қашықтықтан берудегі фазаның жылжу бұрышы мен желі ток пен ағымдардың қуаты ескеріледі.
U, Q және n бойынша қоректендірілген тораптар режимін оңтайландыру - бұл ең үлкен мәнде қабылданған, баланстық түйінен басқа, барлық Р гi Р қорлары болмаған жағдайда келтіретін өзіндік тапсырма немесе режимді кешенді оңтайландырудың аса жалпы мәселесінің қосалқы мәселесі. U, Q және n бойынша режимді оңтайландыру - сызықты емес бағдарламалаудың мәселесі. U бүтін функциясы ∆Р торабындағы активті қуаттың немесе жалпы жағдайда Р Б баланстық станциясының активті қуатының шығынына байланысты келеді. Оңтайландыру кезінде кернеу бойынша, барлық жағдайларда, санның ішінде реттеу құрылғылары болмайтын түйіндерінде, жалпыландырылған көздердің реактивті қуаты бойынша және трансформаторлардың ауыстыру коэффиценті бойынша, сонымен бірге басқарылатын тораптардағы ток бойынша түрлерді шектеу ескеріледі. Көбірек жалпыланған қойылымда U, Q және n бойынша режимді оңтайландыру тапсырмасы. Р Б баланстық станциясының белсенді қуатының минимум және сапасыз кернеуден тұтынушыға тиетін зиянын анықтауға сәйкес келеді. Бірақ жеткіліксіз оқылуына байланысты бұл зиянды есепке алу қиындыққа түседі. Сондықтан торап режимін оңтайландыру кезінде бүтін функциясы бұл - баланыстық станцияның активті қуаты деп есептеуге болады, яғни
Мұндағы; N 1 - жүктемелі түйін саны
N 2 - генераторлы түйін саны, онда P г =const,
∆Р - желідегі белсенді қуат шығыны
P Hi (U) -кернеу бойынша жүктеменің статикалық сипаттамасы.
U, Q және n бойынша торап режимін оңтайландыру тапсырмасы жеке тапсырмаларға бөлінуі мүмкін. Тек қана n-ауыстыру коэффиценті бойынша торап режимін оңтайландыру-бұл контурға қуат ағымын оңтайландыру болып табылады.
1. 2 Минимум шығын бойынша оңтайландыру әдістері
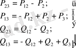
Қуат үшін Кирхгофтың бірінші заңын орындау кезінде активті қуат ең аз шығынына сәйкес келетін 1. 1-суретте тораптағы қуаттың үйлестірілуін табамыз. Басқа сөзбен, 2 және 3 түйіндері үшін Кирхгоф бірінші заңының келесі шектеулі теңдіктерін орындау кезінде
тізбегіндегі активті қуаттың минимум шығынына сәйкес келетін тізбегіндегі S
12
, S
23
, S
13
, қуаттың осындай мәнін айтамыз.
1. 1 - сурет
(1. 3)
Немесе активті және реактивті қуат үшін:
(1. 4)
- суретте тораптағы активті қуат шығыны мынаған тең.
(1. 5)
Шығынның минимум саныны былай жазамыз:
1. 6-түрінде жазылған қуат шығыны бұл торап режимі оңтайландыру тапсырмасының бүтін функциясы.
1. 4-шарты бұл Кирхгофтың бірінші заңының шектеулі теңдігі.
1. 4-1. 5 тапсырмасы-электрлік торап режимі оңтайландыру тапсырмасының ең қарапайым қалыптасу түрі.
Шектеу жүйесі (1. 4) төрт теңдеуімен алты белсенді және реактивті ағындардан P 12 , P 23 , P 13 , Q 12 , Q 23 , Q 13 тұрады, және оның шексіз көп шешімі болады. Оған кез келген мән беруге болады мысылы төрт ағымның P 12 , P 23 , Q 12 , Q 23 және Кирхгофтың бірінші заңын қанағаттандыратын P 12 , Q 12 ағым мәндерін табуға болады. Режим параметрін өзгерту арқылы тораптағы ∆Р қуаттың шығыны минимальды болатын кездегі ағым мәнін табуға болады.
Минимум мәнге сәйкес келетін қуаттың ағымын анықтаймыз. Ол үшін түйіндерде берілетін жүктемелер P 12 , Q 12 белгісіз ағымдары арқылы (1. 4) -тен P 12 , P 23 , Q 12 , Q 23 шығарамыз.
(1. 7)
(1. 7) -іні (1. 4) функциясына қойып екі белгісіз ағым P 12 , Q 12 арқылы шығынды табамыз:
(1. 8)
Тек қана екі белгісіз P 12 , Q 12 тәуелді бүтін функция аламыз. Бұл кезде алты белгісіз функциясы шартты экстримумды аныңтау тапсырмасы екі ауыспалы функциясы шартсыз экстримумды іздеуге әкеледі. Белгілі болғандай соңғысы ∆Р -дан P 12 -ін, Q 12 -інің жеке туындыларына нөлге теңестіру шартымен анықталады.
1. 9 теңдеуін шешу арқылы, P 12 және Q 12 қуаттарының оңтайлы ағымы үшін келесі аналитикалық шешімді аламыз.
(1. 10)
(1. 11)
(1. 10) және (1. 11) теңдеулерді салыстырған қарапайым жабық тораптағы активті кедергісі бар қуаттың үйлестірілуі Кирхгофтың бірінші заңын орындау кездегі қуаттың минимум шығынына сәйкес келйінен шығады. Бұл қуаттарды үлестіру-экономикалық деп аталады.
Сонымен қатар тораптағы қуат ағымын оңтайлы үлестіру тапсырмасын шешу үшін Лагранж функциясын қолданамыз:
(1. 12)
Кирхгофтың бірінші заңын орындау кезінде тораптағы қуатты үлестіруді оңтайландырутораптағы қуат ағымының тек қана активті кедергімен үлестіруге әкеледі. Тораптағы активті қуат шығыны желідегі активті қуат ағымының квадратты формуласы болады, оны төмендегідей жазуға болады:
(1. 13)
мұндағы P B - тараудағы активті қуат ағымының вектор бағаны, оның реті m тарау санына тең; «т» индексі түрлендіруді білдіреді; R B -т ретінің активті кедергі таралуының диогональды матрицасы 1-і элемент 1-і тараудың активті қарсыласуына тең.
Матрицалық түрдегі оңтайландыру тапсырмасы төмендегідей болады:
(1. 14)
1. 3 Негізгі шаралар және электр торабындағы кернеуді реттегіш амалдар
Тораптағы электроэнергия шығының төмендеуі электрожүйенің жұмысының үнемділігін жоғарлату ортақ тапсырмасының бөлігі болып табылады. Тораптағы кез келген шығынның төмендеуі барлық энергожүйенің жұмысының үнемділігін жоғарлатпайды. Шығынды экономикалық орынды емес тәсілмен де төмендетуге болатыны белгілі. Сонымен бірге электрожүйенің жұмысының үнемділігін көтеру тораптағы шығынның төмендеуімен қоса жүрмейді.
Барлық шығынды төмендету шаралары үш топқа бөлу қабылданған.
1) Қосымша күрделі салымдарды қажет етпейтін режимдік немесе аз шығынды және шығынсыз. Осыған мысал ретінде тораптағы кернеудің жұмыс деңгейінің жоғарлауы генератор мен трансформатордағы жақсы жөнделген реттегіш кернеуінен немесе жүктеме астындағы реттелетін трансформаторлардың таралуының сәйсекінше орын ауыстыруы. Осы топқа ұйымдасқан шаралары, сондай-ақ мерзімін қысқарту және электрожүйенің құралдарын жөндеу сапасының өсуі және т. б жатады. Ұйымдасқан шаралардың жөнді кең ену көзге көрінерлік.
2) шығынды төмендетуге (электроэнергияның шығынын төмендету барысында күрделі салымдар түгелімен алынады) арнайы техникалық жөнделген. Осындай шараларға кернеудің жоғарғы сатысына тораптың ауысуы, ауа желісінің өткізгіштерін үлкен кесік өткізгіштерімен ауыстыру, өтем құрылғысы мен қосымша реттегіштерді қондыру жатады. Осы шаралардың жөнді орнығуына сәйкес техно-экономикалық есептердің көмегімен жүзеге асады.
3) Техникалық (толық әсерімен) бір ортаға бағынатын күрделі салым арқасында электрожүйенің даму схемасына жататын бүкіл электрожүйе нысаны кіреді.
Есептеу нәтижесі көрсеткендей шаралардды әсер мақсатымен күрделі салым талабы шығынды төмендету үшін арнайы жасалынған. Бірінші кезекте оларға әуеде жүктелген тізбектер өткізгіштерді ауыстыру және тораптағы реактивтің қуаттың орнын толтыру жатады. Электрлік тораптағы электроэнергиясының шығынын төмендетуі бойынша барлық шаралардың өздерінің белгіленуі бойышна төмендегідей топтарға бөлуге болады. Электр торабын дамытуды оңтайландыру бойынша шаралар:
- жобалау сатысындағы техникалық тұрақтандыру параметрлердің жоғарлауы. ЛЭП сым өткізгіштерін ауыстыру және потенциалды жоғарлату болып табылады.
- негізгі құрал-жабдықтар және электрлік торап жұмысының режимін оңтайландыру бойынша шаралар, яғни элекрожүйе жұмысын оңтайлы режим арқылы жүргізуге мүмкіндік береді. Негізінен олар үлен шығынды талап етпейді. Көбіне тиімді болып табылады. Тораптардың (оңтайлы режимнің) ажырау орамдарын оңтайландыру оңтайлы режимінің жұмысын тұтынушы реактивті қуатты пайдаланады.
- торап жұмысының режимін оңтайландыру бойынша шаралар реактивті қуат автоматты реттеу және оның барлық көздероі, трансформатор ауыстыру коэффициенттерін реттеуі автоматтандыруды өзіне қосады. Диспечерлік басқару жүйесі автоматтандырудың элементі жекелеген немесе режим жүйесінің негізін шаралар жұмысы қамтамасыз етеді.
- бос жүрістің шығынын және өзінідегі қажеттіліктердің шығынын азайту бойынша шаралар. Бұл топ жұмыстарың өэіндік ауысым құралдары мен байланысты құралдардың аз шығындарының қимылы немесе құрал-жабдықтың құрамы оңтайлы таңдауы минималды жүктеме жұмыс жасаушысы.
- коммерциялық шығында азайту бойынша шаралар. Комерциялық шығын элетросанауыш бойынша энергия ағымын тіркеудің нақтылығына және тұтынушылардың электроэнергия ақысын уақытылы төлеуіне байланысты электрожүйесндегі электроэнергия шығынын тіркеу жүйесі. Жинақталған есептелген шығынның нқты деңгейінің себебін орнату және оларды төмендетудің жаңа жолын белгілеу керек электросанауышта энергия шығыны тіркеумен бірқатарда тораптағы энергия шығын аналитикалық тәсілмен жүйелі түрде анықтау, яғни техникалық шығында бағалау керек.
- электрлік торапты пайдалану деңгейі бойынша шаралар. Бұл тапсырма жоспарының және авариялық жөндеу, сонымен қатар профилактикалық жұмыстар үшін оның элементтерінің өшірулі күйде бола алатанынминималды уақыты кезіндегі жүктеме көтеретін торапты осындай дайындықпен қамтамасыз етеді. Активті қуат, кернеу және ауыстыру бойынша қоректендірілген торап режимін оңтайландыру электроэенергия шығынын төмендетуі бойынша негізгі ұйымдастырылған шаралардың бірі болып табылады.
- оңтайландырудың тапсырмасы техникалық шектеулер сақталатын және тораптағы активті қуат шығыны минималды болатын кездегі электрлік тораптағы орнатылған режимді анықтаудан тұрады.
Кернеу деңгейін реттеу қоректендірілген тораптағы кернеу деңгей деп- берілген ауыстыру сатысының бүтіндей және оның бір бөлігі болатын торап үшін оның орташа мәнін айтамыз. Кернеу деңгейі туралы көрініс орынды болып табылады және оны реттеу қоректендірілген тораптағы активті қуат шығынын төмендетуінің аса тиімді әдістерінің бірі. Жұмыс кернеуі деңгейінің көтерілуі тораптағы қуат шығынының төмендеуіне әкеліп соғады.
Тұйықталмаған режимді нақты барлық тораптар 6-20, 35кВ және тораптың үлкен бөліктерінде 110 кВ пайдаланылады. Бұл торптардың қоректендіру орталығы ретінде сәйкеінше кіші станциясы 500-36/6-20, 500-110/35 және 500-220/110кВ болып табылады.
ЦП-дағы кернеуді реттеудің негізгі мәселесі 6-20кВ және төмен тораптарға қосылған ЭП-дағы кернеудің рұқсат берілген ауытқуымен қамтамасыз ету болып табылады. Сонымен бірге бір мезгілде тораптардағы электроэнергия шығынын төмендеткге болады. 6-20кВ ЦП тораптарындағы РПН-і бар трансформаторладың барлық болуы осындай төмендетулердің мүмкіндіктерін арттырады. Бұл кезде ЭП-дағы кернеудің рұқсат берілген ауытқуы трансформаторлармен қамтамасыз етіледі. 35-110кВ трансформатордағы кернеуді реттеу олардағы электроэнергияның минимум шығынын жүзеге асырады.
6-200кВ ЦП тораптарындағы кернеуді реттеу. Үлкен жүктеме кезіндегі сәйкесінше үлкен кернеу болатындай, ал аз жүктеме кезінде кіші кернеу болатындай өндіреді. Мұндай реттеуді қарама-қарсы реттеу деп атайды. Р 1 -ден Р 2 -ге жүктеме өзгерген кезде ЦП-дағы кернеу ауытқуы V’-тан V”-қа дейін сызықтық заңы бойынша өзгереді.
Егер кейбір 6-10кВ ЦП тораптарында ПБВ-сы бар трансформаторлар болса, онда мұндағы ЦП реттеу заңдарын қамтамасыз ету функциясы жоғары кенрнеулі ЦП тораптарындағы РПН-і бар трансформаторларына жүктеледі. 6-10кВ ЦП барлық тораптарндағы қажетті заңдар қамтамасыз етілмейді, себебі РПН-і бар ЦП-дағы кернеуді реттеудегі әр түрлі талаптарға байланысты. Осы жағдайда кемелденбеген электроэнергияны қолдануда ең аз зардаппен қамтамасыз ететін мәселе заңын таңдауға тура келеді.
Барлық ЦП-ның ең көп V’және ең аз V” режимдерінде жүктеменің тіркелуі оның таралуына сәйкес, НН шинасында кернеудің ауытқу өлшеміне негізделген ПБВ-сы бар трансформаторлардың жұмыстық таралуы және РПН-і бар трансформатордағы кернеуді реттеу заңын есептеуге мүмкіндік береді. Көрсетілген өлшемді нақты 1, 0 кем болатын классты вольтметр немесе кернеудің ауытқуын өлшейтін арнайы құрал қолданылуы керек.
Егер 6-20 кВ ЦП тораптарында РПН бар трансформаторлар болса, онда V’ және V” ауытқуына 6-20кВ және одан төменгі тораптардағы кернеу режимін есептеу нәтижесінде алынатын V’ және V” талап етілген мәнінің сәйкес келуіне болатындай кернеуді реттеу заңына таңдап алады.
Бұл кезде ЭП-дағы кернеудің нормаланған ауытқуын қамтамасыз ететін негізгі факторы ретінде ЦП-ны талап етілген реттеу ауқымымен қамтамасыз ету болып табылады.
Егер 6-20 кВ тораптарынан ең жақын ∆U’ Б ең алыстағы ∆U’ У РТ дейіңгі кернеу шығыны белгілі болса, онда ЦП-дағы кернеуді реттеудің қажетті ауқымы мына формуламен анықталынады:
Егерде бір немесе бірнеше 35-110/6-20кВ қосалқы станцияларында РПН-ы жоқ трансформаторлар анықталған болса, онда 35-110 КВ ЦП торабында реттеу диапозонының қажетті өзгерісін мына формуламен анықтаймыз.
мұндағы d Ti, d i -6-20 кВ-інші РПН-і жоқ қосалқы станцияларының қосалқы шиналарындағы кернеуді реттеудің қажетті және нақты ауқымы g i -іші қосалқы станциясындағы қауіпті кернеуді ұстап тұрудың маңыздылығы экспертті бағасы үлестіргіш тораптағы кернеу деңгейінің көтерілуі қуат шығыныың азаюына ғана емес, сонымен қатар кернеу бойынша статикалық сипаттамасына сәйкес келетін, тұтынылған қуат жүктемесінің өсуіне әкеліп соғады. Сондықтан үлестіргіш тораптардағы кернеу деңгейінің көтерілуінің орындылығын анықтау үшін оның тораптағы қуат шығынының өзгерісіне және жүктемелі тұтылуына әсерін талдау керек. Одан басқа тұтынушылардың төменгі сапалы кернеудегі зардап шегуінде де қарастыру керек, сонымен қатар бөлек желілерден кернеу деңгейінің реттеудегі оң эффекті аса мәнді болып шығуы мүмкін. Жұмыстық кернеу көтерілгенде тәжге шығын өсуі мүмкін, бірақ олар 110-220 кВ желілерде мәнсіз. Олар тек 330 кВ және одан жоғары желілерде ғана белгілі көлемді құрайды.
Кернеу деңгейінің реттелуі қарастырылатын торап желісінің шекарасында реттеу құрылғыларының барлығының болған жағдайында мүмкін. Бұл кезде барлық құрылғылардың әрекеті бір уақытта болуы маңызды болып табылады.
Электроэнергия және қуат шығынының төмен-өсуі рационалды көзқараста жұмыстың кернеуді рұқсат берілген жоғары деңгейде ұстап тұруға мүмкіндік береді. Бұл үшін реттеу құрылғысының жеткілікті жинағымен және тораптың негізгі түйініндердегі реактивті қуаттың оң баланысымен қамтамасыз ету қажет. Тұтынушылардың екінші шинадағы төмендетуші трансформатордағы кернеу сапасына көзқарасымен талаптарымен қамтамасыз ету максималды режим үшін номинальды және минимальды жүктеме режимі үшін номинальды 1, 05-1, 1 кернеуге жету қажет.
... жалғасы- Іс жүргізу
- Автоматтандыру, Техника
- Алғашқы әскери дайындық
- Астрономия
- Ауыл шаруашылығы
- Банк ісі
- Бизнесті бағалау
- Биология
- Бухгалтерлік іс
- Валеология
- Ветеринария
- География
- Геология, Геофизика, Геодезия
- Дін
- Ет, сүт, шарап өнімдері
- Жалпы тарих
- Жер кадастрі, Жылжымайтын мүлік
- Журналистика
- Информатика
- Кеден ісі
- Маркетинг
- Математика, Геометрия
- Медицина
- Мемлекеттік басқару
- Менеджмент
- Мұнай, Газ
- Мұрағат ісі
- Мәдениеттану
- ОБЖ (Основы безопасности жизнедеятельности)
- Педагогика
- Полиграфия
- Психология
- Салық
- Саясаттану
- Сақтандыру
- Сертификаттау, стандарттау
- Социология, Демография
- Спорт
- Статистика
- Тілтану, Филология
- Тарихи тұлғалар
- Тау-кен ісі
- Транспорт
- Туризм
- Физика
- Философия
- Халықаралық қатынастар
- Химия
- Экология, Қоршаған ортаны қорғау
- Экономика
- Экономикалық география
- Электротехника
- Қазақстан тарихы
- Қаржы
- Құрылыс
- Құқық, Криминалистика
- Әдебиет
- Өнер, музыка
- Өнеркәсіп, Өндіріс
Қазақ тілінде жазылған рефераттар, курстық жұмыстар, дипломдық жұмыстар бойынша біздің қор #1 болып табылады.

Ақпарат
Қосымша
Email: info@stud.kz