КИВЦЭТ-ЦС автогенді балқыту үшін шихта дайындау үрдісі технологиясы


МАЗМҰНЫ
КІРІСПЕ . . . 8
1. ТЕХНОЛОГИЯЛЫҚ БӨЛІМ . . .
1. 1. Шихта дайындау процессін таңдау және түсіндіру . . .
1. 2. Технологияның жазылуы . . .
1. 2. 1. Бөлшектеу және ұнтақтау бөлімшесі . . .
1. 2. 2. Қойыртпақты суылту бөлімшесі . . .
1. 2. 3. Шихтаны орталандыру бөлімшесі . . .
1. 2. 4. Сүзгілі - сызықша бөлімшесі . . .
1. 3. Металлургиялық есептеулер . . .
1. 3. 1. Концентраттың рационалды құрамы . . .
1. 3. 2. Дымқыл шихтаны кептіру . . .
2. АРНАЙЫ БӨЛІМ . . .
2. 1. Басқару объектісі ретінде шихта дайындау процесінің
технологиялық сипаттамасы . . .
- Шихта дайындау процесін автоматтандырудың қазіргі кездегі
жағдайы . . .
- Шихтаны тиімді басқару алгоритмінің блок-схемасы . . .
- Кептіргіш барабаны оттығында НЦУ синтездеу жүйесін сирету . . .
- Ақпараттық қамтамасызданыдру . . .
- Техникалық қамтамасыздандыру . . .
- Автоматтандыру сұлбасының бейнеленуі . . .
- ЭКОНОМИКАЛЫҚ БӨЛІМТехникалық - экономикалық негіздеу . . . Автоматтаныдру жүйесін енгізу және дайындауға бір уақытты
шығындарды есептеу . . .
- Құрастырушылардың еңбек жалақысы . . .
- Автоматтандыру құралдарын сатып алу, тасымалдау және
монтаждау шығындары . . .
- Автоматты басқару жүйесін функционалдаумен байланысты
қосымша шығындарды есептеу . . .
- ИТР мен қызмет көрсетушілердің еңбек жалақысы . . .
- Автоматты басқару жүйесін енгізудің экономикалық тиімділігін
есептеу . . .
- ЕҢБЕК ҚОРҒАУ
4. 1. Өндіріс факторының зияндығын талдау . . .
4. 2. Ұйымдық шаралар . . .
4. 3. Техникалық шаралар . . .
4. 3. 1. Оператор - технологтың жұмыс орнын ұйымдастыру . . .
4. 3. 2. Электр қауіпсіздігін қамтамасыз ету . . .
4. 3. 2. 1. Жерленуден қорғану есептеулері . . .
4. 4. Санитарлы-гигиеналық шаралар . . .
4. 4. 1. Арнайы киімдермен қамтамасыз ету . . .
4. 4. 2. Жеке қорғану құралдарымен қамтамасыз ету . . .
4. 4. 3. Операторлықта өндірістік шуларды төмендету шаралары . . .
4. 4. 4. Операторлықта металлургиялық талаптарды қамтамасыз ету . . .
4. 4. 5. Табиғи және жасанды жарықтандыру шаралары . . .
4. 4. 5. 1. Жасанды жарық есептеуіш . . .
4. 5. Өртке қарсы шаралар . . .
ҚОРЫТЫНДЫ
ӘДЕБИЕТТЕР ТІЗІМІ
КІРІСПЕ
Түсті металлургияға технологиялық процестерді автоматты басқару қазіргі заманға сай және микропроцессорлы техника базасында енгізу, жүйелі басқару есебінде өнімділікті және еңбек қауыпсіздігін жоғарлатуға, өнімнің сапасын арттыруға және оның өзіндік құнын төмендетуге мүмкіндік береді.
Өскемен металлургиялық кәсіпорны, шикізатты комплексті өндірудің алдыңғы сатадағы түсті металлургия қәсіпорны болып табылады. Осының шарттарына байланысты жүзедегі дипломдық жоба темасы қарастырылған. Мұнда Менделеев кестесінің он жеті элементі алынған, өнімнің жиырма алты түрі өңделеді. Өскемен ВНИИЦветметтің мамандары базасында тексерілген және өндірістік қабылдаудың тиімді әдісіне дейін және агрегатқа КИВЦЭТ-ЦС балқыту полиметалдық сульфидті шикізаттың қайта өңдеуіне дейін жеткен.
Процесс оттегілік өлшемелі циклондық балқыту мен балқыманың электротермиялық жетілдермесінің принциптерін нақты үйлестіруге негізделген. Процестің дәстүрлі шахталық балқытудан ерекшелігі сульфидті концентраттардан қаралы қорғасын, штейн және мырышты айдаулар түріндегі тауарлық өнімді таратылған аралық аглоиерация операциясыз тікелей алу әдісі болып табылады.
Балқыту процесін тиімділеу үшін (қорғасынды қаралы қорғасынға, мысты штейнге, мырышты айдауға максималды алу) автоматты басқару жүйелерін қолдану қажет.
КИВЦЭТ- ЦС агрегатында маңызды мәселе болып, шихта дайындау бөлімінде қорғасын шикізатының, флюстердің, қорғасын кегінің және
қорғасын шаңдарын тиімді шихталау табылады.
Қазіргі уақытта МП ОАО "Казцинк"- те негізінен бақылау және
локальды автоматика құралдарымен шихта дайындау параметрлерін
автоматтандыру есептері шешілген, алайда ағымдағы басқару тәжірибесі үрдістің көптеген параметрлерінің ықпалын ескермейді, жүйеде туындайтын ауыткуларды сезуге үлгермейді. Тиімді басқару қазіргі уақыттағы жаңа басқару жүйелері базасында жүзеге асырылуы мүмкін, жобалайтын математикалық модель және есептегіш техника пайдалануымен.
Жүзедегі дипломдық жобада басқару объектісі ретінде КИВЦЭТ- ЦС шихта дайындауды автоматтандыру элементтері құрастырылған. Объекттің математикалық моделі ұсынылған, есептің қойылымы және басқару алгоритмдері құрастырылған. Техника- экономикалық бағасы және техника қауіпсіздігі мен еңбек қорғау ұйымдық шаралары құрастырылған.
1 ТЕХНОЛОГИЯЛЫҚ БӨЛІМ
1. 1 Шихта дайындау процесін таңдау және түсіндіру
Бұл дипломдық жобада қабылданған шихта дайындаудың "сұйық" әдісі, басқа әдістермен салыстырғанда өте қолайлы. Оны қысқаша былай сипаттаса болады: қорғасын-мырышты сульфидті концентраттар, қорғасын кектары, басқа жақтан экелінетін қорғасын шандары қайта өңделеді, әрі шикізаттағы тотыққан өнім (кектар және шаңдар) 24, 2% құрайды.
Көрсетілген шикізат материалдары қойыртпақты суылтады жэне айналмалы сулы ортада әктас флюстары және ұнтақталған кварцты флюстармен араласады, 1 % ылғалдыққа дейін кезекті қойыртпақты сүзгілеу және шихта кегін кептіру.
Шихта дайындау "сұйық" әдісі технологиялық тиімді (яғни шихтаны араластырғанда, он бестен жоғары компоненттер, оның жоғары дәрежелі орталандыруға жетеді, бұл автогенді технология үшін өте қажет), сондай-ақ басқа әдістермен салыстырғанда тиімділікті қамтамасыз ететіндігі анықталған.
Сонымен қатар мырыш өндірісінің экологиялық қауіпсіз, үлкен аралықта жатқан, қойыртпақ құбырда орналасқан, . қорғасын кегін тасымалдауға қосымша мүмкіндігі туады.
1. 2 Технологияның жазылуы
КИВЦЭТ-ЦС металлургиялық агрегат үшін, шихта дайындау бөлек гимаратта орналасқан, 4 бөлімшеден түрады:
1) флюстарды бөлшектеу және үнтақтау бөлімшесі;
2) қойыртпақты суылту бөлімшесі;
3) орталандыру бөлімшесі;
4) сүзгілі-кептіру бөлімшесі (СКБ) .
Дайын шихта пневмотасымалдауыш арқылы балқыту бөлімшесінің қабылдау бункеріне беріледі.
1. 2. 1 Бөлшектеу және ұнтақтау бөлімшесі
Бөлімше шихта балқыту үрдісіне отын және флюстерді дайындау үшін қызмет көрсетеді. Флюс ретінде әктас және кварцты құм қолданылады. Отын ретінде- кокс (немесе көмір) пайдаланылады. Отын және флюс қоймасынан автотасымалдауыш арқылы бөлшектеу бөлімшесінің отсегіне беріледі. Материалдардың әр қайсысы бөлек отсекте түсіріледі. Олардың ішінде отын мен флюс, цех техноглогы белгілеген, салмақты қатынаста, кран көмегімен, шиберлы ысырмалы бөлшектеу торабының бункеріне беріледі.
Бункерден СМД- 1063 М типті лентада белгі бергіш датчигімен жабдықталған, ленталы жабдықтағыш көмегімен, материал 20мм ірілікте ұнтактау СМД-108 типті ұнтақтағыш үшін жақты бөлшектеуге беріледі.
Ленталы тасымалдағышқа қызмет ету және апатсыз жұмыс талаптарын енгізу, құрастыру үшін бөлшектеу торабы қолды таль мен аспалы ЭП-1 М типті электр магнитті сепаратормен жабдықталған. Жақты бөлшектеуге кызмет ету үшін ауыспалы электрлі таль жабдықталған.
Бункерден материал ЛТМ- 1 М ленталы автоматты таразымен жабдықталған, ленталы жабдык көмегімен кабылдағыш жәшікке жүктеледі жэне одан МШЩ шарлы диірменге беріледі, 10 т/с өндірістігімен.
Орталандыру бөлімшесінен сонымен қатар гидроциклонды қабылдау ойыңқысы арқылы, айналмалы су беріледі. Айналмалы су құбырының реттелуі электржетегішті фланцты кұбыршекті бекіткіш және электрлі атқарушы механизмді реттейтін фланцты қақпағы арқылы реттеледі.
1:1-ге тең қажетті "сұйық-қатты" қатынасын құру үшін, диірменге ЗПВР- 6 құмды вертикалды сорғы жэшігі арқылы қосымша артезиян суын : тартады.
Қорғасын шикізатының қорытпағы құмды сорғы (біреуі жұмысшы, екіншісі резервті) арқылы ГЦ- 360, ГЦ- 500 (2 тал) гидроциклонына келіп түседі. Мұнда ұнтақталған шикізаттың ірілігін топтастыру жүзеге
асырылады.
Гидроциклоннан жинақтаушы бакқа 0, 063 мм үлкен, (төменгі қабат) ірі фракция түседі. Ал одан қайта үнтақтауға диірменге жіберіледі.
Гидроциклоннан 0, 063 мм (төменгі қабат) үлкен, ұсақ фракция пневматикапық араластырғышты жинақтау бакқа (қойыртпақты суылтқышқа) түседі. Қорғасын шикізатының дайын қойыртпасы құмды сорғы (2 бакқа 4 талдан) көмегімен, құбыр арқылы ортпландыру бөліміне бағытталады.
1. 2. 3 Шихтаны орталандыру бөлімшесі
Орталандыру бөлімшесі берілген кұрамды шихта дайындауға арналған, мұ. нда сондай-ақ қорғасын шикізатының (концентрат, кек, шаң) біркалыпты араласуы жүреді, қойыртпақты суылту, флюс бөлімінен, отын ұнтақтау және бөлшектеу бөлімшесінен келіп түседі, келіп түсетін материалдар қатынасы 1. 1 кестеде көрсетілген.
1 кесте- материалдар қатынасы, кг
Орталандыру бөлімшесі екі резервуармен жабдықталган, біреуі қойыртпақ және біреуі су үшін. Бұл қалақша бүлғауышты цилиндр формалы бактарды сипаттайды (орталықтандырғыштың жұмысты енгізілуі 1000 м 3 , бұлғауыштар саны- төртеу) .
Қойыртпақ екі құбырмен ұнтақтау және бөлшектеу бөлімшесінен және үш кұбырмен қойыртпақты суылту бөлімшесінен, орталықтандыргыш астына орнатылған жең және екі науа көмегімен, қойыртпақ орталықтандыргышка беріледі.
Орталықтандырғыштарға, қажетті "сұйық- қатты" қатынасын құру үшін, СКБ-дан сүзгілеуіш қажет бөлу деңгейінде беріледі. Олар кубтық формалы бірнеше жерастықұдықтарында орналасқан, барбетермен жабдықталган, бұлар арқылы құдыққа тығыз ауа келеді. Құдық үстіне бачок жабдыкталған, бұдан сорғы арқылы орталыққа су беріледі. Қажет болган жағдайда тығыздалған ауа түгелдей СКБ-ға, бес сорғы екі орталықтандыргыш қойыртпа және су үшін бір орталықтандырғыш арқылы берілуі мүмкін.
Мол (айналмалы) су орталықтандыргыштан койыртпақты суылту және БПС- 6 сорғыларымен бөлшектеуге келіп түседі.
1. 2. 4 Сүзгілі- кептіргіш бөлімшесі (СКБ)
СКБ құрғак шихта алу үшін арналған, ал ол КИВЦЭТ-ты агрегатта балқытылуға ұшырайды. Галерея көмегімен СКБ материалдарды бөлшектеу және ұнтақтау бөлімшесімен, және орталықтандыру бөлімшелерімен жалғанған.
Қойыртпақ орталандыру бөлімшесі резервуарынан құбыр аркылы турбиналы араластырғыш аппаратқа келіп түседі.
Турбиналы араластыру аппаратынан қойыртпақ ЧПБ- 6 (бір аппаратта біреуден) сорғысы арқылы, ресивермен (бір сүзгіге екіден) және үш қақпанды комплексте жұмыс істейтін үш дискті вакуум сүзгіге келіп түседі.
Сүзгіде вакуумды құру үшін алты ВВН-50 вакуум сорғысын пайдаланады. Әр сорғы "алдында вакуумды магистраль- электрожетегішті вентильді ілмекпен жабдықталған.
Вакуумды- сүзгіге тығыз қысым беру үш сусақиналы компрессорлар аркылы жүзеге асырылады. Компрессор алдында ауажүргіш электрожетегішті вентильді ілмекпен жабдықталған.
Аппаратты сумен қоректеу құдықтан ЗПС- 6 сорғы арқылы жүзеге асырылады. Вакуум- сүзгіден шихталы кек, 13% ылғалдылықты ленталы конвейер көмегімен қүрғатудың бірінші стадиясына, 6%-ға дейін ылғалдылықты екі кептіргіш барабанына келіп түседі.
Кептіру кезінде отын ретінде мазут пайдаланылады, ол барабан оттығына ауа арқылы беріледі. Бірінші кептіргіш барабанынан, бункер арқылы 6% ылғалдыкты қүрайтын шихта, автоматты конвейерлі таразымен жабдыкталған ленталы қоректендіргішке беріледі. Осыдан екінші стадиялы кептіруге жіберіледі.
Екінші кептіргіш барабанында шихта кептіру 1% және одан төмен ылғалдыкта жүзеге асырылады.
Кептіру барабанына екіншілік ауа беру үшін ВДН- 8 орталык реберлы желдеткіші орнатылған. Оттық газдар мен шихтаның барабанда козғалуы бірқалыпты.
Бірінші кептіргіш барабаны шығысында шаңдалған газдар циклондар мен электрсүзгілерде кезекті тазалауға тап келеді. Өрескел тазалау- төрт улиткалы ЦН- 15 топтық циклонда. Газдардың тиянақты тазалауы ОГП-4-16-11 электросүзгілерінде. Тазаланғаннан кейін газдар қосымша ДН- 12, 5 түтін сорғышы арқылы санитарлы тазалаудан өтеді.
Циклондардан жинақтау бункері және электрсүзгі арқылы ұсталған шаң шынжырлы тасымалдауыш және кезекті- винт конвейері көмегімен шихта арналған бункерге келіп түседі, ол бірінші кептіру барабанының шығысында орналасқан.
Екінші кептіргіш барабанынан құрғақ шихта жэне газ қоспасы кайта ұсатылуға диірменге түседі. Диірменнен кейін шихта бөлшектері кезекті төрт, алты циклонды улиткада және электрсүзгіде кезектеліп ұсталады.
Циклондар тобынан кейін газжелі жүйеде қажетті айырылу құру үшін, ВН- 15 желдеткіші орнатылған. Электрсүзгіден кейін газдар түтінсорғыш аркылы санитарлы тазалауга жіберіледі.
Шынжырлы электрсүзгі жүйесі, шнекты қоректендіргіш және винтты конвейер көмегімен электрсүзгіде үсталған шихта кезекті диірменге беріледі. Аралық сыйымдылық арқылы топтық циклонда ұсталган шихта екі шнекті қоректендіргіш көмегімен, СКБ жинақтауыш бункеріне келіп түседі. Одан әрі шихта камералы сорғысымен балқыту бөлім бункері қабылдағышына жіберіледі.
Бірінші және екінші кептіргіш барабаны жұмысында, оттык газдың білтеге тастау варианты қарастырылған. Тастағаннан кейін, кептіргіш барабанды қыздырғанда, бөлмеге оттық газдың тасталуы, білтеге дроссель газжүргішін алу жолымен шығарылады.
Технологиялык нұсқауларымен қарастырылған, кептіргіш
барабаны температурасының кірісі мен шығысында оттык газдар жетілгеннен кейін, олар тазалау жүйесіне бағытталады, кектардың жүктелуі басталады.
Кептіргіш барабандардың қызуы мен газдардың тасымалдау контролі кезекші мастер мен жай қызмет көрсетушілерге '
жүктеледі.
ҚЗ Металлургиялық есептеулер
КИВЭТ-ЦС балқытуға Зырянов концентраты (32 %) және Лениногорск концентраты (48 %), кек (16 %), шаң (4 %), кварцты құм (95 % 5 °/1 СаО), әктас (53 % СаО) келіп түседі.
1. 3. 1 Концентраттың рационалды кұрамы
Зырянов концентратының химиялық құрамы % : 62, 14 РЬ; 2, 96 Zn; 2, 35
Сu; 8, 85 Ғе.
Лениногорсk концентратының химиялық құрамы % : 41, 85 РЬ; 11, 46 Zn; 3, 87 Сu; 10, 6 Ғе 5 SіО 2 ; 5 СаО.
Есептеу 100 кг концентратқа жүргізіледі. РЬ: 62, 14*0, 4+41, 8*0, 6=49, 94 кг Zn : 2, 96*0, 4+11, 46*0, 6=8, 06кг Сu: 2, 35*0, 4+3, 87*0, 6=3, 27kг Ғе: 8, 85*0, 4+10, 6*0, 6=9, 9 кг SіО 2 : 0*0, 4+5*0, 6=3 кг СаО: 0*0, 4+5*0, 6=3 кг
Барлық мыс халькопирит түрінде темірмен байланысты деп қабылдаймыз, қалғандары темір пирит, галенит түріндегі корғасын, сфалерит түріндегі мырыш. Аралас концентраттың рационалды құрамын есептейміз:
7) Қорғасынмен байланысты күкірт S:
8) Концентратта қалып қойған байланыспаған темір:
9) Масса Fe S 2
10) Темірмен байланысты күкірт S:
11) Жалпы күкірт:
Аралас концентраттың рационалды құрамы 1. 2 кестеге
келтірілген.
2 кесте- Концентраттардың рационалды құрамы, кг
1. 3. 2. Дымқыл шихтаны кептіру
Вакуум сүзгіден 13% дымқылды дымқыл шихта бірінші кептіру барабанына түседі, шыға берісте ол 6%-га дейін төмендейді, ал екінші шығысында 1%-ға дейін төмендейді.
Құрғак заттың және шаңды металдың қайтымсыз шығыны 0, 5% кұрайды. Қайтымсыз шығын дымқылдығы соңғы кептірілген шихтаның шығын дымқылдығымен бірдей деп, шартты түрде қабылдаймыз, яғни 1%.
Құрғақ заттың массасы 100г, қайтымсыз шығында 0, 5 кг, құрғату рудасында құрғатылған зат массасы: 100-0, 5=95, 5 кг. 1% дымқылдықты ескере отырып, кайтымсыз шығынның массасы 0, 5:99*100=0, 505 кг. Дымқыл салмағы кайтымсыз шығынында 0, 505-0, 5=5* 10 - 3 кг. 1% дымкылдыкты ескере құрғатылған шихта салмағы 99, 5:99*100=100, 5 кг. Дымкылдык салмағы, құрғату кезінде газға айналған салмағы =12 кг. Қайтымсыз шығындар салмағы:
Есептеулер нәтижесі 1. 7 кестеге келтірілген
1. 7 кестенің жалғасы
2. АРНАЙЫ БӨЛІМ
2. 1. Басқару объектісі ретінде шихта дайындау процесінің технологиялық сипаттамасы
КИВЦЭТ - ты балқытуға шихтаны дайындау 4 бөлімшеде жүзеге асады (1-сурет) .
Әрбір бөлімшенің технологиялық ерекшеліктерін технологиялық бөлімде қарастырған едік. Кіріс және шығыс айнымалыларын әрбәр бөлімше үшін қарастырамыз.
- Қойыртпақты суылту бөлімшесі:
Кіріс: Х 1 - Зыряновск концентраты;
Х 2 - Лениногорск концентраты;
Х 3 - қорғасын шаңы;
Х 4 - қорғасын шаңы.
Шығыс: Ү 1 - қойыртпақ мөлшері.
- Ұсату бөлімшесі:
Кіріс: Х 5 - кокс (немесе көмір) ;
Х 6 - кварцты құм;
Х 7 - әктас.
Шығыс: Ү 2 - флюстер мөлшері;
- Орталандыру бөлімшесі:
Кіріс: Ү 1 - қойыртпақ мөлшері;
Ү 2 - флюстер мөлшері;
Шығыс: Ү 3 - дымқыл шихта мөлшері;
- Сүзгілі - кептіру бөлімшесі:
Кіріс: Ү 3 - дымқыл шихта мөлшері;
Х 8 - ауа мөлшері;
Х 9 - мазут мөлшері;
1 кесте- Басқару объектісі ретінде шихта дайындау бөлімшесінің сұлбасы
Х 10 - сирету;
Х 11 - кептіру барабанындағы оттық температура;
Х 12 - материалдың түйіршікті жағдайы;
Шығыс: Ү 4 - құрғақ шихтаның мөлшері;
Ү 5 - құрғату барабанынан шыққандағы температура;
Ү 6 - шихта ылғалдылығы;
Технологиялық басқару объектісі ретінде шихта дайындау бөлімшесіне келесі ерекшеліктер қатысты:
- сапа және шығыс материалдары концентратының ауытқуы;
- үлкен аралық және тармақталған агрегат бөлім аралығында;
- технологиялық процестің үлестірілуі және көп байланыстылығы;
4) объект ақпараты жеткіліксіздігі, бақыланбайтын айнымалылар арқылы туындаған.
Шихта дайындау процессі жүйелі - параллельді құрылымның және бөлек элементтердің өзара әрекет күштерінің айтарлықтай ұзындығы технологиялық комплекс болып табылады.
Бөлімше жұмыс дәрежесінің едәуір сипаттамасының негізгі факторы болып, минималды шығындар ретінде табылған шихтаның рационалды құрамы табылады.
2. 2. Шихта дайындау процесін автоматтандырудың қазіргі кездегі жағдайы
Шихта дайындау үрдісінің технологиялық басқарылуы қазіргі уақытта бөлімше операторы шешеді. Шешім қабылдау алгоритмі келесіге келіп тіреледі: оператор өзінің біліктілігі мен интуициясына сеніп, процесс жайлы ағымдағы ақпаратты қарастырады. Бұл ақпараттың мүмкін көзқарасында бір процесс жағдайының мүмкіндігіне қарайды.
Бөлімшенің әртүрлі жағдайындағы технологиялық үрдісінің жолы туралы ақпарат келесідегідей болып табылады:
1) технологиялық айнымалылардың бақылау - өлшегіш құрылғысы туралы мәлімет.
2) шикізаттың қайта өңдеуге түсетін және дайын өнімінің химиялық анализінің нәтижесі;
3) қайта өңдеуге жататын материалдарды жүктейтін жай қызмет атқарушылары туралы мәлімет;
Процесс жағдайы туралы шешім шығарып, оператор келесі шешімді қабылдайды.
Оператордың шығарған шешімінің жүзеге асырылуы, қорғасын концентратының мөлшерін, кектерді, шаңдарды және т. с. с-ды жергілікті жүйе көмегімен тұрақтандыру болып табылады. Сонымен қатар кептіргіш барабандардың температуралық және жылулық режимін ұстап тұру болып табылады.
Жоғарыда көрсетілген шихта дайындау күрделі үрдіс болып табылады, сондықтан бөлімше операторы барлық жазылған тізімдер факторын ескеруі, күрделі сан анализдерін қарап шығуы және басқару туралы дұрыс шешім қабылдауы мүмкін емес. Шешім қабылдаудың сапасы оператор біліктілігі мен интуициясына байланысты, сонымен қатар оның пзихофизиялық жағдайына байланысты.
Шихта дайындауды басқару ағымдағы сұрақ жағдайы, шихтаны ең жақсы көрсеткіштерімен алуы, оның айнымалылығын көрсетеді және қазіргі заманға сай сенімді әдісті және жоғары сапалы және жоғары тиімділікті берілген объектте басқару жүйесін құрастыруды талап етеді.
2. 3. Шихтаны тиімді басқару алгоритмінің блок-схемасы
Шихтаны тиімді басқару есебін жүзеге асыру (2-ші суретте көрсетілген) алгоритмді қолдану арқылы қарастырылады.
Шихтаны тиімді басқару алгоритмі блок схемасының блоктар тізімі:
1) С ij шихта компоненттері химиялық құрамын енгізу, мұндағы i-компонент номері, j - концентраттағы элемент индексі пайызда;
2) әр шихта компоненттерінің санын енгізу;
3) кварцты құмдағы SiO 2 және әктастағы CaO құрамдарын енгізу;
4) көрсетілген шектеулерде, көрсетілген функционал минимумын Розенброк тәсілі арқылы шығару жүргізіледі;
5) C j шихта құрамын және α және β-ның қорытынды нәтижелерін баспаға шығару, мұндағы α және β - тонна шихтаға кварцты және әктас флюстерінің шығын коэффициенттері, сәйкесінше;
6) алынған мәліметтерді салыстыру блогы, егер олар 7-ші блокқа қанағатты болса, керісінше 2-ші блокқа қайтарылу.
7) протоколдың баспаға жіберілуі, ұнтақтау және бөлшектеу бөлімшесіне есептің берілуі;
8) көрсетілген бөлімшелерде есепке «сұйық-қатты» тұрақтандырғыш реттегішін орнату;
9) C i қабылдаған мәліметтерді сақтау, сұндағы C i қорғасын концентраты қоспасын шығару компоненттерінің і-ші құрамы;
10) қорытынды материалдар құрамына шектеулер енгізу;
2 сурет- Шихтаны тиімді басқару алгоритмінің блок- схемасы
11) көрсетілген функционалдың минимумын анықтау;
12) С j нәтижесін енгізу;
13) алынған мәліметтерді салыстыру блогы;
14) нәтижелерді баспаға жіберу және оларды бөлімшеге тапсыру.
Оператор - технолог технологиялық нұсқауға сәйкес шешімдер қабылдайды. Концентрат салмағын өзгерту кезінде, қолайсыз шешімдер алынған жағдайда қайтадан қолайлы шешімді табу есебін жібереді. Қолайлы шешім кезінде компьютер есепті стабилизатор реттегішімен шығынды «қатты» және көрсетілген бөлімшеде «сұйық-қатты» қатынасын орнатады. Сонымен қатар орталандырғышқа шихтаның жіберілуі программасын жібереді.
2. 4. Кептіргіш барабаны оттығында НЦУ синтездеу жүйесін сирету
Басқару жүйесінің структуралық сұлбасы келесідей болады:
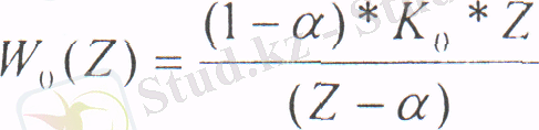
Бұл жобада алынған реттелу объектісінің беріліс функциясы келесі түрде болады:
Бұл жобада алынған реттелу обьектісінің беріліс функциясы келесі
түрде болады:
мұндағы:
К о =0, 2; Т о =20 с; = 1 с,
К о, Т о, - сәйкесінше, күшейткіш коэффициенттері, тұрақты уақыт және объекттің кешігу уақыты.
Түрленетін элементтің беріліс функциясы:
мұндағы:
Яғни, түрленетін элемент 1-ші фиксатор берілген
Беріліс функциясы келесі түрде:
мұндағы:
Сонда,
Сәйкесінше, P(Z) =0, 096; Q(Z) =Z-0, 95
Полиномдар дәрежесі: П р = 0, П Q =1.
Цифрлы реттегіштің беріліс функциясы:
Осыдан полиномдар дәрежесі М(Z) және N(Z) келесіге тең болады:
n n = n m
n n = n Q +S o +V-1=2
n N = n Q + S o -1=1
n = 2n Q + S o + V-1=3
Осындай әдіспен, М(Z) және N(Z) полиномын келесі түрде анықтаймыз:
M(Z) =Q o *Z 2 +Q 1 *Z+Q 2
N(Z) =(Z-1) *(b o *Z+b 1 )
... жалғасы- Іс жүргізу
- Автоматтандыру, Техника
- Алғашқы әскери дайындық
- Астрономия
- Ауыл шаруашылығы
- Банк ісі
- Бизнесті бағалау
- Биология
- Бухгалтерлік іс
- Валеология
- Ветеринария
- География
- Геология, Геофизика, Геодезия
- Дін
- Ет, сүт, шарап өнімдері
- Жалпы тарих
- Жер кадастрі, Жылжымайтын мүлік
- Журналистика
- Информатика
- Кеден ісі
- Маркетинг
- Математика, Геометрия
- Медицина
- Мемлекеттік басқару
- Менеджмент
- Мұнай, Газ
- Мұрағат ісі
- Мәдениеттану
- ОБЖ (Основы безопасности жизнедеятельности)
- Педагогика
- Полиграфия
- Психология
- Салық
- Саясаттану
- Сақтандыру
- Сертификаттау, стандарттау
- Социология, Демография
- Спорт
- Статистика
- Тілтану, Филология
- Тарихи тұлғалар
- Тау-кен ісі
- Транспорт
- Туризм
- Физика
- Философия
- Халықаралық қатынастар
- Химия
- Экология, Қоршаған ортаны қорғау
- Экономика
- Экономикалық география
- Электротехника
- Қазақстан тарихы
- Қаржы
- Құрылыс
- Құқық, Криминалистика
- Әдебиет
- Өнер, музыка
- Өнеркәсіп, Өндіріс
Қазақ тілінде жазылған рефераттар, курстық жұмыстар, дипломдық жұмыстар бойынша біздің қор #1 болып табылады.

Ақпарат
Қосымша
Email: info@stud.kz