АлЭС-1 ЖЭО 6/110 кВ кернеулі генератор-трансформатор блогының релелік қорғанысы және автоматикасы


Жұмыс түрі: Дипломдық жұмыс
Тегін: Антиплагиат
Көлемі: 81 бет
Таңдаулыға:
Аңдатпа
Бұл дипломдық жоба “АлЭС-1 ЖЭО 6/110 кВ кернеулі генератор-трансформатор блогының релелік қорғанысы және автоматикасы” тақырыбы бойынша орындалған.
Жобада ЖЭО-ң электрлік бөлімі үшін күштік қондырғылар және коммутациялық құрылғылар таңдалды. 110 кВ кернеу жағындағы желілерге релелік қорғаныс есептеулері жүргізілген.
Жобаның арнаулы бөлімінде электрэнергетика жүйесіндегі жиіліктің өзгеру процессі және оның қызметі, оның сұлбаларына қойылатын талаптар қарастырылды.
Өміртіршілік қауіпсіздігі бөлімінде өндiрiс орындарындағы потенциалды қауіпсіздік және зияндылық анализі, электр тоғының адам организміне әсері, сонымен қатар қосалқы станциясында жерлестіру құрылғысын есептеу жүргізілді.
Дипломдық жобаның экономикалық бөлімінде аймақтық энергетикалық кәсіпорын қызметінің тиімділігіне есептеу жүргізілді. Жобаның техника-экономикалық негіздемесі жобалаудың тиімділігін көрсетеді.
Аннотация
Дипломный проект выполнен на тему “Релейная защита и автоматизация блока генератор-трансформатор 6/110 кВ на АлЭС-1 ТЭЦ”.
В проекте для электрической части ТЭЦ произведен выбор силового оборудования и выбор коммутационной аппаратуры. Произведен расчет релейной защиты элементов подстанций и отходящих линий 110 кВ.
В специальной части рассмотрен расчет автоматическая частотная разгрузка (АЧР) системы.
В разделе безопасности жизнедеятельности рассмотрен вопрос анализа потенциальной опастности и вредности предприятиясловия, а также влияние электрического тока на организм человека и произведен расчет заземляющего устройства.
В экономической части дипломного проекта произведен расчет эффективности деятельности регионального энергопредприятия. Технико-экономическое обоснование проекта подтверждает экономичность проектирования.
Мазмұны
Кіріспе 7
1 Бөлім. Стансаның электрлік бөлігін жасау 8
1. 1. Стансаның бас электрлік сұлбасы 9
1. 2 Жүйе элементтерінің кедергілерін анықтау 10
1. 3 Қажетті нүктелердегі ҚТ токтарын анықтау 16
1. 4 Жабдықтар мен коммутациялық аппараттарды таңдау 19
1. 4. 1 Шиналарды таңдау 19
1. 4. 2 Желі сымдарын таңдау 21
1. 4. 3 Ажыратқыштарды таңдау 22
1. 4. 4 Жоғарғы кернеуге айырғышты таңдау 27
1. 4. 5 Асқын кернеуді шектеушілерді таңдау 28
1. 4. 6 Тоқ трансформаторларын таңдау 28
1. 4. 7 Кернеу трансформаторларын таңдау 29
2 Бөлім. Генератор - трансформатор блоктарының қорғанысы 30
2. 1 Генератордың статор орамасының бір фазасы жерге тұйықталуынан қорғаныстың тағайыншамасын таңдау 33
2. 2 Блоктағы жоғарлатқыш трансформатордың ТК жағында жерге тұйықталудан қорғаныс түрін таңдау 36
2. 3 Блок трансформаторының ТК шиналарында қ. т. -дан қорғаныс түрін таңдау 36
2. 4 Генераторды тежеуі бар блоктың дифференциалды қорғанысын есептеу 37
2. 5 Генератор - трансформатор блогының ток үзіндісі . . . 42
2. 1 Газдық қорғаныстың жұмыс істеу принципі және оның тағайындалуы 43
2. 2 Трансформатордың май жүйесінің құрылғысы 45
2. 3 Газдық қорғаныстың принципиалды сұлбасы 46
3 Бөлім. Трансформатордың дифференциалды қорғанысына сандық терминалдарды қолдану 50
3. 1 БМРЗ-ТД-00-20-01 релелік қорғаныстрың микропроцессоррлық блогының тағайындалуы 50
3. 2 БМРЗ функциялары 51
3. 2. 1 Қорғаныстың функциялары 51
3. 2. 2 Дифференциалды тоқ үзіндісі 53
3. 3 Автоматиканың функциялары және ЖК ажыратқыштарымен (айырғыштармен, қысқатұйықтағыштармен) басқару 54
3. 4 Сигнализацияның функциялары 55
3. 5 Тағайыншамалардың есептеу методикасы 59
3. 5. 1 Қорғаныс тағайыншамасының есебі 59
3. 5. 2 Дифференциалды іске қосылу тоғы және тежелу коэффициентінің бастапқы мәндерін таңдау 60
3. 5. 3 Тиым салудың бағдарламалық параметрлерінің тағайыншамасын таңдау 61
3. 5. 4 Сезімталдықты тексеру 61
4 Бөлім. 110 кВ желінің қорғанысы 62
4. 1 Үш сатылы дистанционды қорғаныс 62
4. 2 Үш сатылы нөл рететік тоқ қорғанысын есептеу 68
5 Бөлім. . Арнайы бөлім 74
5. 1. Электрэнергетика жүйесіндегі жиіліктің өзгеру процессі
(АЧР) . . . 74
5. 2. Жиілікті түсіру автоматикасы . . . 77
5. 3 Жиілікті түсіру автоматикасын баптау . . . 84
5. 4 SIEMENS фирмасының SIPROTEC 7RW600 V1. 0 цифрлы релелік қорғаныс аспабындағы жиілікті қорғаныс . . . 85
5. 5 Істен шығару тізбектерін бақылау . . . 87
5. 5. 1 Екі бинарлы кірістері бар бақылау . . . 88
5. 5. 2 Бір бинарлы кірісі бар бақылау . . . 89
6 бөлім. Өміртіршілік қауіпсіздігі бөлімі 91
6. 1 Өндiрiс орындарындағы потенциалды қауіпсіздік және зияндылық анализі . . . 91
6. 2 Электр тоғының зақымдануына талдау анализі 94
6. 2. 1 Жалпы жағдай . . . 94
6. 2. 2 Электр тораптарының қауіптілігін талдау . . . 96
6. 3 “АлЭС-1” 110/6 кВ қосалқы станциясында жерлестіру құрылғысын есептеу . . . 101
7 бөлім. Экономикалық бөлім . . . 110
7. 1 Жобаның экономикалық бағасы 110
7. 2 Қосалқы стансаны жаңартуға кететін инвестицияны есептеу 111
7. 3 Қосалқы стансаның кеңеюіне салынатын инвестициялардың экономикалық және қаржылық тиімділігі 114
7. 4 Жоба үстіндегі ҚС-ң техника-экономикалық көрсеткіштері 115
7. 5 Инвестициялардың қаржы-экономикалық тиімділік көрсеткіштері 117
Қорытынды 121
Қолданылған әдебиеттер 122
Кіріспе
Энергия жүйесінің электрлік бөлігінде электр стансасы, қосалқы станса және электр жеткізу желілерінің электр жабдықтарының зақымдануы мен қалыпсыз жұмыс режімі орын алуы мүмкін.
Зақымдану деп айтарлықтай апаттық токтың пайда болып, ЭС, ҚС шиналарында кернеудің терең түсуін айтуға болады. Бұл ток үлкен көлемде жылу бөліп, өзі жүрген жердегі электр жабдықтарын қиратады.
Кернеудің түсуі электр энергиясын тұтынушылардың қалыпты жұмыс режімін, сондай-ақ энергожүйе электр стансаларының параллельді жұмыс істеу тұрақтылығын бұзады.
Әдетте қалыпты режімдер кернеудің, токтың және жиіліктің рұқсат етілген мәнінен ауытқуына әкеліп соғады. Кернеу мен жиіліктің түсуі тұтынушылардың қалыпты режимін өзгерту қаупін тудырады, ал кернеу мен токтың жоғарылауы ЭЖЖ мен электр жабдықтарының зақымдалуын тудырады.
Зақымдалу орнында қирауды барынша азайтып, жүйенің зақымдалмаған бөлігін қалпында сақтап қалу үшін сол орынды тез анықтап, зақымдалмаған жүйе бөлігінен бөліп алу қажет.
Оны орындайтын релелік қорғаныс болып табылады. Ол энергожүйенің барлық элементтерінің қалпын үздіксіз бақылап, пайда болған зақымдану мен қалыпсыз режимдерге жылдам әрекет етіп отырады.
Бұл дипломдық жоба АлЭС-1 ЖЭО 6/110 кВ кернеулі генератор-трансформатор блогының релелік қорғанысы және автоматикасы жобаланған.
АлЭС-1 ЖЭО, АлЭС-2 ЖЭО, АлЭС-3 ЖЭО және Алматы-500 (бұл жерде энергожүйе ретінде қарастырылған) қорек көздерімен шектелген тұйық жүйе берілген. Олар 110, 220 кВ электр жеткізу желілері (ЭЖЖ) арқылы байланысқан (1 қосымша) . Жоба мақсаты: АлЭС-1 ЖЭО-дағы генератор-трансформатор блогының релелік қорғанысын жобалап, тиісті есептеулер жүргізу.
Сондай-ақ ұсынылып отырған дипломдық жобада стансаның ескі жабдықтарын жаңамен алмастырып, олардың тиімділігін, сенімділігін қарастыратын боламыз. Төртінші бөлімде релелік қорғаныстарға соңғы сандық терминалдарды пайдаланып есептеу жүргіземіз, ал арнайы бөлімде электрэнергетика жүйесіндегі жиіліктің өзгеру процессін талқылаймыз. Бұдан басқа экономикалық, өміртіршілік қауіпсіздігі сияқты бөлімдерден тұратын бұл дипломдық жоба міндетті талаптарға сай.
1 бөлім. Стансаның электрлік бөлігін жасау
Дипломдық жобаға белгілі мәліметтер
АлЭС-1 ЖЭО, АлЭС-2 ЖЭО, АлЭС-3 ЖЭО және Алматы-500 (бұл жерде энергожүйе ретінде қарастырылған) қорек көздерімен шектелген тұйық жүйе берілген. Олар 110, 220 кВ электр жеткізу желілері (ЭЖЖ) арқылы байланысқан (1 қосымша) . Жоба мақсаты: АлЭС-1 ЖЭО - дағы генератор-трансформатор блогының релелік қорғанысын жобалап, тиісті есептеулер жүргізу.
1. 1 кесте - АлЭС-1 ЖЭО:
1. 2 кесте - АлЭС-2 ЖЭО:
1. 3 кесте - АлЭС-3 ЖЭО:
1. 4 кесте - Желілер сипаттамасы:
1. 5 кесте - Қосалқы стансалар:
1. 1 Стансаның бас электрлік сұлбасы
Электр станса сұлбасы жөнінде жалпы мағлұмат
Энергетикалық жүйеде параллель жұмыс істейтін электр стансалары өздерінің арналуымен ерекшеленеді. Біреулері, базистік, негізгі жүктемені арқалайды, басқалары, шыңдық, максимал жүктеме мезетінде толық емес тәулікте жұмыс атқарады, ал үшіншілері жылулық тұтынушылар (ЖЭО) анықтайтын электрлік жүктемені арқалайды. Электр стансаларының әр түрлі арналуы, жалғаулар саны бір болған кезде де, әр түрлі электр жалғаулар сұлбаларын қолданудың тиімділігін анықтайды.
Электр стансаның жоғары кернеу шиналары, бірнеше электр стансаларын параллельді жұмысқа біріктіре отырып, энергетикалық жүйенің түйіндік нүктелері бола алады. Бұл жағдайда шиналар арқылы бір энергетикалық жүйеден екіншісіне куат ағыны - қуат тасымалы жүреді [1, бет 387] .
Құрылымдық электрлік сұлба жабдықтардың құрамына (генераторлар мен трансформаторлар санына), әр түрлі кернеудегі тарату құрылғылары (ТҚ) арасындағы жүктеме мен генераторлардың таралуына және осы ТҚ арасындағы байланысқа тәуелді.
- сурет - ЖЭО құрылымдық сұлбасы
1. 1 суретте ЖЭО-ң құрылымдық сұлбалары көрсетілген. Егер ЖЭО U=6÷10 кВ электр энергиясын тұтынушылар маңынна орналасса, онда генератор кернеуіндегі тарату құрылғысы (ГРУ) болуы қажет. ГТҚ-на жалғанатын генераторлар саны 6-10 кВ жүктемеге байланысты. 1. 1 а суретте екі генератор ГТҚ-на жалғанған, ал біреуі, ереже бойынша, қуаттырақ - жоғары кернеулі тарату құрылғысына (ЖК ТҚ) қосылған. Осы ТҚ-на жалғанған 110-220 кВ желілер энергетикалық жүйемен байланыстырады.
Егер ЖЭО жанында энергия сиымды өндіріс құрылыстары болса, онда оларды 35-110 кВ ӘЖ-мен қоректендіруге болады. Бұл жағдайда ЖЭО-да орта кернеулі тарату құрылғысы (ОК ТҚ) қарастырылады (1. 1 сурет, б) . Әр түрлі кернеудегі ТҚ арасындағы байланыс үш орамды трансформаторлардың немесе көмегімен іске асады.
Аз жүктеме (6-10 кВ) кезінде генераторлық кернеуінде көлденең байланысы жоқ жоғарлатқыш трансформатор мен генератордың блоктық қосылысын алған тиімді. Ол ҚТ токтарын азайтып, 6-10 кВ тұтынушыларды қосу үшін қымбат ГТҚ орнына жиынтықты ТҚ қолдануға мүмкіндік береді (1. 1 сурет, в) . 100-250 МВт қуатты энергия блоктары ЖК ТҚ жалғанады. Әдетте қазіргі қуатты ЖЭО блокты сұлбалы болып келеді.
1. 2 Жүйе элементтерінің кедергілерін анықтау
Жүйе элементтерінің реактивті кедергілерін есептегенде, 110 кВ жағында реттелуші кернеудің минималды мәнінде ( U Вмин = 106, 5 кВ) жүктеме астында трансформация коэффициентін реттеу үшін ауыстырып қосқыштың көрсетуі ескеріледі.
Есептеуді салыстырмалы бірліктерте жүргіземіз. Базистік қуатты S б =1000 МВА деп, ал базистік кернеуді U б = 230 кВ деп аламыз. Бұдан базистік ток мәнін табамыз
(1-1)
Желілердің кедергілері 110 кВ кернеу үшін келесі формуламен анықталады:
, (1-2. 1)
с. б.
с. б.
с. б.
с. б.
с. б.
с. б.
с. б.
с. б.
с. б.
с. б.
с. б.
с. б.
с. б.
ал 220 кВ кернеу үшін:
. (1-2. 2)
с. б.
с. б.
с. б.
с. б.
с. б.
с. б.
с. б.
с. б.
с. б.
1. 6 кесте - Желі кедергілері
Генераторлардың реактивті кедергілері келесі формуладан анықталады:
, (1-3)
мұнда, х // d - қуаты 100 МВт дейін турбогенераторлар үшін х // d =0, 125 (Е // * =1, 08), ал 100-500 МВт үшін - х // d =0, 2 (Е // * =1, 13) ;
, (1-3. 1)
мұнда, cosφ=0. 8 - қуат коэффициенті, барлық генератор үшін бірдей.
1. 7 кесте - Генераторлар кедергісі
Алматы-500 энергожүйесінің кедергісі:
, (1-4)
мұнда, S КЗмин =1800 МВА, S КЗмакс =2000 МВА - жүйенің сәйкесінше минималды және максималды қысқа тұйықталу қуаты. Сонда
с. б.
с. б.
Трансформаторлар кедергісі
Автотрансформатор АТ-1 (2, 3, 4) 220 кВ: АТДЦТН-125000/220/110
S
ном
=125 МВА; U
вн
=230 кВ; U
сн
=121 кВ; U
нн
=11 кВ;
U вс кмакс =6, 8%; U вс к =11%; U вс кмин =18, 9%;
U вн кмакс =U вн к =U вн кмин =31%;
U сн кмакс =20, 1%; U сн к =19%; U сн кмин =20, 3%;
U кВ =0, 5(u кВС + u кВН - u кСН ), %, (1-5. 1)
U кС =0, 5(u кВС + u кСН - u кВН ), %, (1-5. 2)
U кН =0, 5(u кВН + u кСН - u кВС ), %, (1-5. 3)
(1-6. 1)
(1-6. 2)
(1-6. 3)
мұнда, α макс =1, 12; α мин =0, 88; α ср =1 - сәйкесінше максимал, минимал және қалыпты режимде реттелетін жағында кернеудің номинал мәннен салыстырмалы ауытқуы.
1. 8 кесте - Есептеу нәтижелері
Автотрансформатор АТ-5 220 кВ: АТДЦТН-24/220/110
S
ном
=240 МВА; U
вн
=230 кВ; U
сн
=121 кВ; U
нн
=38, 5 кВ;
U вс кмакс =7, 1%; U вс к =11%; U вс кмин =20, 9%;
U вн кмакс =U вн к =U вн кмин =32%;
U сн кмакс =21, 8%; U сн к =20%; U сн кмин =23%;
1. 9 кесте - Есептеу нәтижелері
Тарамдалған орамды трансформатор ТР-4 (5) 110 кВ: ТРДН-25000/110
S
ном
=25 МВА; U
вн
=115 кВ; U
нн
=10, 5/10, 5 кВ;
U кмакс =11, 72%; U к =10, 5%; U кмин =9, 84%;
Трансформатор кедергісі келесі формуламен анықталады:
(1-7. 1)
(1-7. 2)
мұнда, α макс =1, 16; α мин =0, 84; α ср =1 - сәйкесінше максимал, минимал және қалыпты режимде реттелетін жағында кернеудің номинал мәннен салыстырмалы ауытқуы.
1. 10 кесте - Есептеу нәтижелері
ЖЭО-р-ң трансформаторлары: ТРДЦН-8000/110
S
ном
=80 МВА; U
вн
=115 кВ; U
нн
=6, 3 кВ;
U кмакс =11, 6%; U к =10, 5%; U кмин =9, 76%;
ТРДЦН-125000/110
S
ном
=125 МВА; U
вн
=115 кВ; U
нн
=6, 3 кВ;
U кмакс =11, 9%; U к =10, 5%; U кмин =10, 5%;
Трансформатор кедергісі келесі формуламен анықталады:
(1-8)
мұнда, α макс =1, 16; α мин =0, 84; α ср =1 - сәйкесінше максимал, минимал және қалыпты режимде реттелетін жағында кернеудің номинал мәннен салыстырмалы ауытқуы.
1. 11 кесте - Есептеу нәтижелері
Үшорамды трансформатор: ТДТН-4/110/35
S
ном
=40 МВА; U
вн
=115 кВ; U
сн
=38, 5 кВ; U
нн
=6, 6 кВ;
U вс кмакс =11, 56%; U вс к =10, 5%; U вс кмин =9, 52%;
U сн кмакс =U сн к =U сн кмин =6, 5%;
U вн кмакс =19, 29%; U вн к =17, 5%; U вн кмин =17, 04%;
1. 12 кесте - Есептеу нәтижелері
1. 3 Қажетті нүктелердегі ҚТ токтарын анықтау
ҚТ тоқтарын есептеу үшін орынбасу сұлбасын құрастырамыз және " ELECTRONICS WORKBENCH" бағдарламасының көмегімен тоқтарды анықтаймыз.
Максимал режімде есептеу
1. 2 сурет - К-1 нүктесінде ҚТ тогын анықтау
1. 3 сурет - К-2 нүктесінде ҚТ тогын анықтау
1. 4 сурет - К-3 нүктесінде ҚТ тогын анықтау
Минимал режім үшін есептеу
1. 5 сурет - К-1 нүктесінде ҚТ тогын анықтау
1. 6 сурет - К-2 нүктесінде ҚТ тогын анықтау
1. 7 сурет - К-3 нүктесінде ҚТ тогын анықтау
Атаулы бірлікте қ. т. тогы
(1-9)
мұнда k т =U в /U н - трансформация коэффициенті.
1. 13 кесте - ҚТ токтары
1. 4 Жабдықтар мен коммутациялық аппараттарды таңдау
1. 4. 1 Шиналарды таңдау
Генератор жалғанған 6, 3 кВ шиналарын таңдау
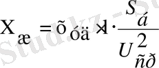
ПУЭ бойынша ТҚ шиналары токтың экономикалық тығыздығы бойынша таңдалмайды, сондықтан рұқсат етілген ток бойынша анықтаймыз.
Генератор мен құрама шиналар тізбегінде ең үлкен ток
(1-10)
![]()
2(225х105х12, 5) мм 2 , І доп. ном =10300 А (2х4880 мм 2 ) қорап тәріздес қималы алюминий шиналарын қабылдаймыз. Температураға түзету коэффициентін 0, 94 ескерсек І доп. =10300∙0, 94=9682 А> І мax =9646 А.
Термиялық төзімділікке тексереміз. ҚТ тогының жылулық импульсі:
(1-11)
мұнда t отк =4 c; T a =0. 185 c.
Термиялық төзімділік бойынша минималды қима
(1-12)
мұнда С=91 А∙c 1/2 /мм 2 - тұрақты функция.
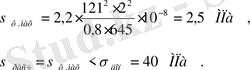
Механикалық төзімділікке тексереміз. Соққы тогы
(1-13)
мұнда k у. д =1, 65 - соққы коэффициенті.
Кедергі моменті W y0-y0 =645 cм 3 . Фазалардың өзара әсерлесуінен шиналар материалындағы қысым
(1-14)
мұнда а=0, 8 м- фазалар арасындағы қашықтық; l=2 м- шиналық құрылыс оқшауламаларының тіреулерінің арасындағы ұзындық. Сонда
110 кВ құрама шиналарын таңдау
(1-15)
.
АС-240/32, q=240 мм 2 , d=21, 6 мм, І доп =605 А.
Термиялық әсерге тексерілмейді, себебі шиналар ашық ауада жалаңаш сыммен орындалған.
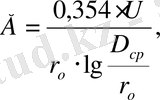
Тәждік шарттарға тексеру. Бастапқы критикалық кернеулік, кВ/см,
(1-16)
мұнда m=0, 82 - cым бетінің кедір-бұдырлығын есепке алушы коэффициент; r o - cым радиусы.
Сымның айналасындағы кернеулік
(1-17)
мұнда D ср =1, 26D - фаза сымдарының арасындағы орташа геометриялық қашықтық.
Тексеру шарты
;
Сонымен АС-240/32 сымы тәж шарттары бойынша өтеді.
1. 4. 2 Желі сымдарын таңдау
... жалғасы- Іс жүргізу
- Автоматтандыру, Техника
- Алғашқы әскери дайындық
- Астрономия
- Ауыл шаруашылығы
- Банк ісі
- Бизнесті бағалау
- Биология
- Бухгалтерлік іс
- Валеология
- Ветеринария
- География
- Геология, Геофизика, Геодезия
- Дін
- Ет, сүт, шарап өнімдері
- Жалпы тарих
- Жер кадастрі, Жылжымайтын мүлік
- Журналистика
- Информатика
- Кеден ісі
- Маркетинг
- Математика, Геометрия
- Медицина
- Мемлекеттік басқару
- Менеджмент
- Мұнай, Газ
- Мұрағат ісі
- Мәдениеттану
- ОБЖ (Основы безопасности жизнедеятельности)
- Педагогика
- Полиграфия
- Психология
- Салық
- Саясаттану
- Сақтандыру
- Сертификаттау, стандарттау
- Социология, Демография
- Спорт
- Статистика
- Тілтану, Филология
- Тарихи тұлғалар
- Тау-кен ісі
- Транспорт
- Туризм
- Физика
- Философия
- Халықаралық қатынастар
- Химия
- Экология, Қоршаған ортаны қорғау
- Экономика
- Экономикалық география
- Электротехника
- Қазақстан тарихы
- Қаржы
- Құрылыс
- Құқық, Криминалистика
- Әдебиет
- Өнер, музыка
- Өнеркәсіп, Өндіріс
Қазақ тілінде жазылған рефераттар, курстық жұмыстар, дипломдық жұмыстар бойынша біздің қор #1 болып табылады.

Ақпарат
Қосымша
Email: info@stud.kz