Жеке туындылардағы дифференциал теңдеулерді шешу


ҚАЗАҚСТАН РЕСПУБЛИКАСЫ БІЛІМ ЖӘНЕ ҒЫЛЫМ МИНИСТРЛІГІ
СЕМЕЙ ҚАЛАСЫНЫҢ ШӘКӘРІМ АТЫНДАҒЫ МУ
СӨЖ
Тақырыбы: Жеке туындылардағы дифференциал теңдеулерді шешу
Тексерген: Нургалиев Д. Н.
Семей 2015 ж.
МАЗМҰНЫ
КІРІСПЕ 4
1 ЖАЙ ДИФФЕРЕНЦАЛДЫҚ ТЕҢДЕУЛЕР 5
2 СЫЗЫҚТЫ ЖӘНЕ СЫЗЫҚТЫ ЕМЕС ДИФФЕРЕНЦАЛДЫҚ ТЕҢДЕУЛЕР. . 10
ҚОРЫТЫНДЫ. . 11
Дифференциалдық теңдеулер - функциясы бар туынды функциясының мәнін қатысты теңдеу, тәуелсіз айнымалы сандар мәндер (параметрлері) . Теңдеудің туынды тәртібі (формальды ол шектелген жоқ) әр түрлі болуы мүмкін. Туынды қаржы құралдары функциялары тәуелсіз айнымалылар және параметрлер әр түрлі комбинациялары немесе барлық теңдеулер енгізілген, бірақ кем дегенде бір туынды өзі жоқ болуы мүмкін. Белгісіз функцияның бар туынды емес, кез-келген теңдеу дифференциалдық теңдеу болып табылады. Мысалы, \ F (х) = F (F (X) ) дифференциалдық теңдеу болып табылады.
Жоғары ретті дифференциалдық теңдеу теңдеулер саны бастапқы теңдеудің мақсатында тең, онда бірінші ретті теңдеулер жүйесі айналдыруға болады. Тиімді аналитикалық нысанда, оның шешімі түбіртек талап етпей қарапайым дифференциалдық теңдеулер сандық шешімін қамтамасыз ету үшін қазіргі заманғы жоғары жылдамдықты компьютерлер.
Дифференциалдық теңдеулер 17 ғасырдың соңында механика, т. б. жаратылыстану пәндерінің талабына сәйкес интегралдық есептеу және дифференциалдық есептеумен қатар пайда болды. Қарапайым дифференциалдық теңдеулер Ньютонның және неміс математигі Лейбництің) еңбектерінде кездеседі. “Дифференциалдық теңдеулер” терминін ғылымға Лейбниц енгізген (1676) . Тәуелсіз бір айнымалыға тәуелді бір немесе бірнеше функциялардың туындылары бар дифференциалдық теңдеулерді жай дифференциалдық теңдеу деп, ал тәуелсіз бірнеше айнымалыға тәуелді функциялардың дербес туындылары бар дифференциалдық теңдеулерді дербес туындылы дифференциалдық теңдеу деп атайды. Дифференциалдық теңдеулерге енетін туындылардың реті дифференциалдық теңдеулердің реті делінеді.
1 Жай дифференциалдық теңдеулер
Қарапайым дифференциалдық теңдеулер (ҚДТ) - бір тәуелсіз айнымалытәуелді теңдеулер болып табылады; олар нысанын бар
или
қалдырды! немесе
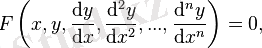
, онда - тәуелсіз айнымалы байланысты белгісізфункциясы (жиі дифференциалдық теңдеулер жүйесін айтуға, бұл жағдайдамүмкін вектор-функция), ~ х, премьер ~ х қатысты саралануды білдіреді. Саны ~ N дифференциалдық теңдеудің реті деп аталады. Ең маңызды бірінші және екінші ретті дифференциалдық теңдеулер іс жүзінде болып табылады. Ретті дифференциалдық теңдеу теңдеу пайда жоғары тәртібітуынды деп аталады.
Бірінші ретті дифференциалдық теңдеу - бірінші ретті дифференциалдық теңдеулер класы, ең оңай өлшенетін шешімдер мен ғылыми-зерттеу. Ол толықдифференциалдық теңдеулер, бөлінетін айнымалылар теңдеулерді, Бірінші ретті Бірінші ретті сызықтық теңдеулер біртекті теңдеулер кіреді. Барлық осытеңдеулер жабық түрінде біріктірілген болады.
Тұсаукесер нүктесі Vol жазылған бірінші ретті дифференциалдық теңдеуретінде қызмет етеді. Н. симметриялық нысаны:
функция
и
белгілі және үзілмейді
.
Ішінара дифференциалдық теңдеу (ӘГП) - бұл бірнеше айнымалы және олардың туындылы белгісіз функцияларын қамтитын теңдеу болып табылады. Осы теңдеулер жалпы көрінісі ретінде жазуға болады:
онда
нүктелер, x_m - тәуелсіз айнымалы, және а
- осы айнымалылардың функциясы. Тапсырыстуындылы дифференциалдық теңдеулер қарапайым үшін, сол сияқты анықталуы мүмкін. Туындылы дифференциалдық теңдеулер Тағы бір маңызды жіктеу, әсіресе екінші ретті теңдеулер үшін, эллиптикалық, параболалық және гиперболалық типті теңдеу олардыңбөлімшесі болып табылады.
Жеке туындылардағы дифференциалды теңдеулерді айырылым тәсілдерімен шешуде Адамс әдісін қарастырайық.
Рунге-Кутта әдісінің негізгі кемшілігі болып, дифференциалдық теңдеудің бір жаңа шешімін алу үшін теңдіктің оң жағын бірнеше нүктелерде есептеуге тура келетіні.
Айырымды әдістері сонымен қатар, сандық әдістер болып табылады, яғни интеграл аралығында х 0 , х 1 , . . . , х n , . . . түйіндегі мәнді табуға мүмкіндік береді. Айталық, мына түрдегі дифференциалдық теңдеуді шешейік:
((1)
(2)
Айырымды әдістерді, ізделініп отырған функцияның мәндері және бастапқы шарттарымен берілген Коши есебіне қолдануда кейбір қосымша нүктелердегі у ( х ) ізделініп отырған мәндерін білу қажетті. Бұл шешімдердің алдында қарастырылған әдістермен анықтауға болады.
Айталық, x 1 = x 0 + h , x 2 = x 0 + 2h , . . . , x n = x 0 + nh нүктелеріндегі y 1 , y 2 , . . . , y n жуықтау шешімінің п мәндері белгілі. Нүктесі шешімін табуға тура келетін келесідегідей болып табылады. [ x n , x n+1 ] аралығында (1) өрнегін интегралдап, соған тең интегралдық теңдеуін аламыз:

(3) өрнегімен у ( х i ) шешімінің келесі есептеулері үшін қолдануға болады. Ол үшін (3) өрнегіндегі интегралды есептеу қажет. Оны дәл есептеу мүмкін емес, өйткені интеграл асты функциясына у ( х ) белгісіз функция кіреді. Интеграл астындағы функцияны интерполяциялық полиноммен алмас-тырып, интегралды жуықтап есептейміз. Мұнда алдыңғы f ( x , у ( х ) ) мәндерімен көрсетуге болады. Егер жақын мәндерімен, яғни f ( х n , у ( х n ) ), f ( х n- 1 , у ( х n- 1 ) ) мәндерімен пайдалансақ, ең жақсы нәтиже аламыз. (3) өрнегінде х = x n + ht айнымалыларына алмастыру енгіземіз. Сонда

формуласын аламыз. Интеграл астындағы функцияның жуық-тауын есептеу үшін кез келген интерполяциялық формуланы алуға болады. Кесте соңындағы Ньютон формуласын интерполяциялау үшін аламыз



мұндағы

Бұл өрнектерді (4) формуласына қойып,

табамыз. Бірінші интегралдың оң жағын интегралдауды орындап,


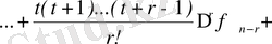
теңдеуін аламыз. Мұндағы

Тәжірибелік есептеулерде (8) формуласына кіретін ақырғы айырымдар ыңғайлы, оларды түйіндегі функцияның мәндері арқылы сипаттап, нәтижесінде


теңдеуін аламыз.
Қалдық мүшедегі интегралды есептеу мүмкін болмайтын-дығын ескере отырып, оны алып тастайды, нәтижесінде Адамс әдісіндегі есептеу схемасын аламыз

немесе

Мұндағы
Адамс әдісі үшін қателік бағасын құрайық. Айталық, (1) өрнегінің оң бөлігіндегі f ( х, у ) келесі шарттарды қанағат-тандырады деп шамалайық:
1. f ( х, у ) - D аумағындағы үздіксіз функция;
2.
f
(
х, у
) функциясы
C
сияқты тұрақтысымен Липица шартын қанағаттандырады.
деп белгілеп, (5) өрнегінен (7) теңдігін аламыз


Модуль бойынша Липица шартын ескере
-ны бағалайық. Сонда

теңдеуін аламыз. Мұндағы
Нәтижесінде келесідегідей қателіктің рекуррентті бағасын аламыз:

Егер (15) теңдеуде
белгісінің орнына = белгісін қойсақ, онда алынған теңдік жоғарғы
шекарасының теңдеуі екенін көрсетуге болады. Бұл
жоғарғы шекараны
арқылы белгілесек, онда
үшін келесі теңдеу дұрыс болып саналады:

Өйткені
у
0
,
у
1
,
. . .
,
у
n
мәндері Адамс әдісімен есептемес бұрын белгілі, онда
белгісіз деп есептеп және
Y
0
,
Y
1
,
. . .
,
Y
n
, сәйкесінше, онда (8. 29) формуласы арқылы
Y
n
+1
,
Y
n
+2
, . . . табуға болады. (8. 29) теңдігін айырымды теңдеулерді шешу ережелері бойынша шешуге болады және Адамс әдісінің қателік бағасын алуға болады. Айталық,
i
= 0, 1, . . . ,
п
кезінде
, онда

Мұндағы
(16) теңдеудің шешімі болып табылады. Осы шешімнің негізінде келесі қателік бағасын аламыз:

Егер,
деп қойсақ, онда бастапқы беттегі есептеуде қате аз болады деп есептейміз, яғни алынған қателіктен
шығады [1] .
2 Сызықтық және сызықтық емес дифференциалдық теңдеулер
Қарапайым дифференциалдық теңдеулер және дербес туындылы дифференциалдық теңдеулер сызықты және сызықты емес бөлуге боладыретінде. Дифференциалдық теңдеулер белгісіз функция болса, оның туындылары бірінші қуаты (бір-бірімен көбейтіледі емес) теңдеудің енгізілген, сызықтық болып табылады. Осы теңдеулер шешу үшін функциялардыаффинное подпространство қалыптастырады. Сызықтық басқару теориясыСызықтық теңдеулер теориясы қарағанда әлдеқайда тереңірек әзірледі. N-шіретті сызықты дифференциалдық теңдеудің жалпы түрі:
онда PI (х) - тәуелсіз айнымалы белгілі функциялар деп аталады. Оң жағында функциясы R (X) сызықтық теңдеулер маңызды арнайы сынып Тұрақты коэффициентті теңдеулер үнемі мерзімді (белгісіз функциясы байланысты емес тек мерзімді) деп аталады.
... жалғасы- Іс жүргізу
- Автоматтандыру, Техника
- Алғашқы әскери дайындық
- Астрономия
- Ауыл шаруашылығы
- Банк ісі
- Бизнесті бағалау
- Биология
- Бухгалтерлік іс
- Валеология
- Ветеринария
- География
- Геология, Геофизика, Геодезия
- Дін
- Ет, сүт, шарап өнімдері
- Жалпы тарих
- Жер кадастрі, Жылжымайтын мүлік
- Журналистика
- Информатика
- Кеден ісі
- Маркетинг
- Математика, Геометрия
- Медицина
- Мемлекеттік басқару
- Менеджмент
- Мұнай, Газ
- Мұрағат ісі
- Мәдениеттану
- ОБЖ (Основы безопасности жизнедеятельности)
- Педагогика
- Полиграфия
- Психология
- Салық
- Саясаттану
- Сақтандыру
- Сертификаттау, стандарттау
- Социология, Демография
- Спорт
- Статистика
- Тілтану, Филология
- Тарихи тұлғалар
- Тау-кен ісі
- Транспорт
- Туризм
- Физика
- Философия
- Халықаралық қатынастар
- Химия
- Экология, Қоршаған ортаны қорғау
- Экономика
- Экономикалық география
- Электротехника
- Қазақстан тарихы
- Қаржы
- Құрылыс
- Құқық, Криминалистика
- Әдебиет
- Өнер, музыка
- Өнеркәсіп, Өндіріс
Қазақ тілінде жазылған рефераттар, курстық жұмыстар, дипломдық жұмыстар бойынша біздің қор #1 болып табылады.

Ақпарат
Қосымша
Email: info@stud.kz