Атмосферадағы зиянды қопалардың таралуын есептеу және санитарлық-қорғаныстық зонасын анықтау


Жұмыс түрі: Реферат
Тегін: Антиплагиат
Көлемі: 8 бет
Таңдаулыға:
АЛМАТЫ ЭНЕРГЕТИКА ЖӘНЕ БАЙЛАНЫС УНИВЕРСИТЕТІ
АЭРОҒАРЫШТЫҚ ЖЭНЕ АҚПАРАТТЫҚ ТЕХНОЛОГИЯЛАР ФАКУЛЬТЕТІ
«Еңбек және қоршаған ортаны қорғау»
кафедрасы
ЭКОЛОГИЯ пәнінен
№1 ЕСЕПТЕУ-ГРАФИКАЛЫҚ ЖҰМЫС
Тақырыбы: «Атмосферадағы зиянды қопалардың таралуын есептеу және санитарлық-қорғаныстық зонасын анықтау»
3-нұсқа
Орындаған: КТТк-14-1 тобының
студенті Жақып Б. Қ
Тексерген: Асс. Сералиева М. А.
Алматы 2015
Жоспар
1. Кіріспе . . . 3
2. Негізгі есептеулер бөлімі . . . 4
а) Күл үшін . . . 5
б) Күкірт қышқылы үшін . . . 7
в) Азот тотығы үшін . . . 8
3. Қорытынды . . . 10
4. Пайдаланылған әдебиеттер . . . 11
Кіріспе
Шығарынды заттектер күн радиациясының әсерінен немесе басқа да фактор-ларға байланысты трансформацияға ұшырап бір түрден екіншіге айналады. Кон-центрация деңгейіне және компоненттер құрамына түзетпе енгізілді.
Бұл нормативтік әдіс деп аталады. Нормативтік әдіс цехтардың вентиляция-лық қондырғыларынан, автокөлік көп жинақталатын көшелердегі, мұражадан тү-тін, тағы да басқа көздерден тасталған зиянды шығарындылардың шоғырланатын майданын да есептеуге туғызады. Шығарындылардың таралу процесі атмосфера-ның жағдайына, тұрған жердің бедері мен өзгешелігіне, шығарынды тастайтын көздің параметрлеріне, т. б. жағдайларға байланысты.
Бұл графикалық жұмыста ыстық көздерден шығатын зиянды заттектердің жерге жанама атмосфера қабатындағы максималдық концентрациясын, әр түрлі аралықтағы жердік концентрациясын; станцияның санитарлы-қорғаныс зонасын анықтаймыз. «Роза желдері» мен санитарлы-қорғаныс зонасын қалай тұрғызу ке-рек екендігін анықтаймыз.
Берілгені:
Берілгені:
Биіктігі Н=100м
Саға диаметрі Д=4, 5 м
Газдың шығу жылдамдығы W 0 =15 м/с
Т г =150˚С
Т в =23˚С
Шыққан күл М з =310 г/с
Шыққан күкірт қос тотығы
Шыққан азот тотығы
Ауа тазалаудың деңгейі 95%
Аданның орналасуы Қарағанды
ПДКзалы=0, 5мг/м 2
ПДКso2= 0, 5мг/м 2
ПДК NOx=0. 085мг/м 2
№1. 1 тапсырма
Атмосферадағы максималды қоспа концентрациясын және заттарды суммация эффектісімен анықтау.
Атмосфераларда қоспалардың сейілу процесі көптеген факторларға тәуелді, оларға: атмосфераның жағдайы, шыңның көздері, шығарылған заттардың массасы, аймақтық рельеф және т. б. әсер етеді.
Зиянды заттардың жердегі концентрациясының максималды мәні мына формуламен анықталады:
Мұнда
;
т және n коэффициенттерінің мәндері f, V m , V’ m және f e параметрлеріне тәуелді анықталады:
m коэффициенті f тәуелділік формуласымен анықталады. f<1000 болғандықтан:
f<1000 кезінде n коэффициенті υ m тәуелділігі арқылы формуламен анықталады:
Зиянды заттардың жердегі концентрациясының максималды мәнін С м (мг/м 3 ) табамыз:
Зиянды зат үшін:
,
яғни ПДК з =0, 5 мг/ 3 асады
SO
2
үшін:
,
яғни ПДК SO2 = 0, 5 мг/м 3 аспайды
NO
x
үшін:
яғни ПДК NOx =0, 085 мг/м 3 аспайды
Газдық заттар суммация эффектісі болады, сондықтан концентрация суммасын мына формуламен анықиаймыз:
мұнда
яғни ПДК Σ =0, 5 мг/м 3 асады
№1. 2 тапсырма
Максималды концентрациясының таралу аралығын анықтау.
Көздерден шығарылған заттардың аралығы Х т (м) жердегі концентрациясын С (мг/м 3 ) жағымсыз жағдай кезіңде метрологиялық шарттағы мәні С м , мына формуламен анықталады:
мұнда өлшемсіз коэффициент d егер f < 100 болғанда келесі формуламен анықталады:
кезінде
Зиянды зат үшін:
;
Газдар үшін:
№1. 3 тапсырма
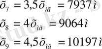
Әр түрлі аралықтағы жердік концентрацияны анықтап және L O -ді табу керек.
Флюгер деңгейінде қауіпті жылдамдық мәні U м (м/с) (жер деңгейінен 10 м биіктікте) болғанда С м зиянды заттардың жердегі концентрациясына жеткенде және f<100 болса олар келесі формуламен анықталады:
кезінде
Желдің қауіпті жылдамдығында U м зиянды қоспалардың жердегі концентрациясы С (мг/м 3 ) атмосферада факел осі бойынша шығарылым көздерінен әр түрлі аралықтағы қоспасы мына формуламен анықталады
мұнда S
i
- өлшемсіз коэффициент, ол
қатынасы және F коэффициенті бойынша анықталады.
S i және С зиянды заттар үшін анықтап, 1 кестені толтырамыз.
Кесте 1
x/х м ≤ 1 болғандықтан S i мына формуламен табамыз:
1< х/х м ≤ 8 кезінде S i мына формуламен табамыз:
Зиянды қоспаның жердегі концентрациясы С (мг/м 3 ) атмосферада факел осі бойынша шығарылым көздерінен әр түрлі арақашықтағы қоспасын анықтаймыз:
S i және С суммация эффектісі бар заттар үшін анықтап, 2 кестені толтырамыз.
Кесте 2
x/х м ≤ 1 болғандықтан S i мына формуламен табамыз:
- Іс жүргізу
- Автоматтандыру, Техника
- Алғашқы әскери дайындық
- Астрономия
- Ауыл шаруашылығы
- Банк ісі
- Бизнесті бағалау
- Биология
- Бухгалтерлік іс
- Валеология
- Ветеринария
- География
- Геология, Геофизика, Геодезия
- Дін
- Ет, сүт, шарап өнімдері
- Жалпы тарих
- Жер кадастрі, Жылжымайтын мүлік
- Журналистика
- Информатика
- Кеден ісі
- Маркетинг
- Математика, Геометрия
- Медицина
- Мемлекеттік басқару
- Менеджмент
- Мұнай, Газ
- Мұрағат ісі
- Мәдениеттану
- ОБЖ (Основы безопасности жизнедеятельности)
- Педагогика
- Полиграфия
- Психология
- Салық
- Саясаттану
- Сақтандыру
- Сертификаттау, стандарттау
- Социология, Демография
- Спорт
- Статистика
- Тілтану, Филология
- Тарихи тұлғалар
- Тау-кен ісі
- Транспорт
- Туризм
- Физика
- Философия
- Халықаралық қатынастар
- Химия
- Экология, Қоршаған ортаны қорғау
- Экономика
- Экономикалық география
- Электротехника
- Қазақстан тарихы
- Қаржы
- Құрылыс
- Құқық, Криминалистика
- Әдебиет
- Өнер, музыка
- Өнеркәсіп, Өндіріс
Қазақ тілінде жазылған рефераттар, курстық жұмыстар, дипломдық жұмыстар бойынша біздің қор #1 болып табылады.

Ақпарат
Қосымша
Email: info@stud.kz