Сұрыптау есептері. қою арқылы сұраптау


Жұмыс түрі: Реферат
Тегін: Антиплагиат
Көлемі: 9 бет
Таңдаулыға:
ҚАЗАҚСТАН РЕСПУБЛИКАСЫНЫҢ БІЛІМ ЖӘНЕ ҒЫЛЫМ МИНИСТРЛІГІ
СЕМЕЙ ҚАЛАСЫНЫҢ ШӘКӘРІМ АТЫНДАҒЫ МЕМЛЕКЕТТІК УНИВЕРСИТЕТІ
ЖАРАТЫЛЫСТАНУ - МАТЕМАТИКА ФАКУЛЬТЕТІ ИНФОРМАТИКА КАФЕДРАСЫ
СӨЖ
Тақырыбы: Сұрыптау есептері. Қою арқылы сұраптау
Орындаған: Тұрсынова Г. А.
Тобы: Т-341
Тексерген: Болсынбекова Ш. Ж.
Семей қаласы,
2015 жыл
Сұрыптау - массив элементтерін белгілі бір заңдылықпен орындарын ауыстырып реттеу процесін айтамыз. Мысалы, сандар массивін өсуі, кемуі бойынша сұрыптау, жолдар массивін алфавит бойынша сұрыптау және тағыбасқа.
Сұрыптау барлық программалау саласында қолданылады. Сұрыптау бұл ақпараттық объектілердің мәндерін өсу немемсе кему бойынша реттелуін іске асыратын процесс. Мысалы, егер i<= i<= . . . <= i болса, онда n - элементтеріндегі i тізімдері өсу бойынша сұрыпталады. Сұрыптау алгоритмнің екі түрі бар: операциялық жадыда немесе дискідегі файл түрінде орналастырылған массивтердің сұрыпталуы және магниттік ленталардағы немесе дисктерде орналасқан кезекті файлдардың сұрыпталуы.
Массивтерді және кезекті файлдарды сұрыптаудың негізгі ерекшелігі - массивтің әрбір элементі әр уақытта жеңіл беріледі. Ол әр уақытта массивтің кез келген элементі басқа бір массивтің элементімен салыстырылады да, массивтің кез келге екі элементтері орындарымен ауыстырылуы мүмкін. Ал кезекті файлда әрбір уақытта тек қана бір элемент беріледі. Осындай айырмашылықтардан сұрыптаудың тәсілдерінде бір-бірінен үлкен өзгерістері бар.
Кестелермен жұмыс істегенде оның негізгі операциялары - ол жазбаларды реттеу және берілген шарт бойынша жазба кестелерінде барлау жасау.
Сұрыптау - бұл кейбір критерийлері бойынша жазбаны кестелерде нақты бір тәртіппен реттеуоперациясы. Сұрыптау барлық жазбалар кілттерінің мәндерімен сәйкес іске асады (мыс., алфавит бойынша аттарын реттеу немесе сандарды өсу бойынша реттеу) . Сұрыптаудың көптеген бір-бірінен айрықша тәсілдері бар. Егер де кесте бүтіндей ЭЕМ-нің жедел жадында орналасса, онда оның реттелуі ішкі деп аталады. Ал егер де реттелген мәліметтерді сақтау үшін сыртқы есте сақтау құрылғысы пайдаланса, онда бұндай реттелу сыртқы деп аталады. Операцияларды салыстырудың орташа саны, сұрыптаудың тәсілінен байланысты, және де рационалды тәсілді таңдаған кезде кейбіреулері минимумға жетеді. Ішкі сұрыптау тәсілдерін екі топқа бөлуге болады:
- Резервтік жадыны қажет ететін тәсілдер
- Резервтік жадыны қажет етпейтін тәсілдер
Бірінші топқа таңдау, енгізу, көпіршік (пузырька), Шелл тәсілдері жатса, екінші топқа квадраттық таңдау, қосылу тәсілі және т. б жатады. Қарапайым сұрыптау тәсілдері (таңдау, енгізу, ауыстыру) шамамен n**2 салыстыруынталап етеді. Әдетте одан да қиынырақ алгоритмдер орташа n*log2(n) салыстыруларында нәтиженің берілуін қамтамасыз етеді. Бірақ та кез келген жағдайларда қолайлы сұрыптау жоқ, себебі олардың тиімділігі кестедегі кілттердің түріне және олардың алдын ала реттелуіне байланысты.
Сұрыптаудың мақсаты - сұрыпталған тізбекте қажетті элементтерді іздестіруді жеңілдету.
Ішкі сұрыптаулар алгоритмдері - бұл ішкі жадтағы мәліметтерді сұрыптау алгоритмдері, бұл жағдайда қолайлы құрылым - массив. Массивтерді сұрыптау алгоритмдеріне қойылатын басты талап - жадтың экономды пайдаланылуы. Элементтерді in situ (яғни элементтерді қайта топтастыруды жадтың сол жерінде жүргізеді) сұрыптайтын қарапайым сұрыптау алгоритмдері бар: кірулермен сұрыптау, таңдаумен сұрыптау, алмасумен сұрыптау («көбікше» әдісі) . Сұрыптаудың жетілдірілген қарапайым әдістері: кемімелі өсімшелі кіру бойынша сұрыптау (Шелл сұрыптауы), ағаш көмегімен сұрыптау (пирамидалық сұрыптау), бөліктеу арқылы сұрыптау (жылдам сұрыптау) . Кірулермен сұрыптау - элементтер шартты түрде дайын тізбекке a1, ai-1 және кіретін тізбекке ai, …, an бөлінеді, содан кейін әрбір қадамда, i=2 бастап және i-ді бірлікке арттыра отырып, кіретін тізбектің i-ші элементін алып дайын тізбектің тиісті орнына кіргізе береді. Таңдаумен сұрыптау - ең кіші кілтті элемент таңдалады, содан кейін ол бірінші a1 элементімен орын ауыстырылады. Алмасумен сұрыптау - барлық элементтер қажетінше сұрыпталғанша көрші элементтер өзара салыстырылып және орын ауыстырылады.
Қарапайым таңдаумен сұрыптау әдісі қарапайым әдістердің ішіндегі ең жақсысы, алмасумен сұрыптау - ең жаманы, ал жылдам сұрыптау ең тезі және ең жақсысы болып табылады.
Бүгінгі таңда сұрыптаудың көптеген тәсілдері белгілі. Олар:
Массивтерді сұрыптау алгоритмдері 4-ке бөлінеді:
- Таңдау арқылы сұрыптау.
- Ауыстыру арқылы сұрыптау (көпіршік әдісі) .
- Қою арқы арқылы сұрыптау.
- Тез сұрыптау.
Сұрыптау немесе объектілер тізімін реттеу деп осы объектілердің қандай да бір сызықтық реттілікке қатысты өсуі мен кемуі бойынша орындауды айтамыз. Сұрыптаудың мәні сонда жазулар тізімінің реттілігін кілттік өріс мәндері кемімейтін тізбек құратындай етуіміз керек. Басқа сөзбен айтқанда R 1 , R 2 , . . , R n жазулары кілттік мәндері K 1 , K 2 , …, K n орналасуы керек. Ki 1 <Ki 2 <…. <Ki n . Мұнда реттелген тізбектегі кілттердің бірдей мәндері бар жазулар бір-бірімен қатар орындалады. Сұрыптау әдістері 2 категорияға бөлінеді:
- массивтерді сұрыптау (ішкі сұрыптау)
- тізбектелген файлдарды сұрыптау (сыртқы сұрыптау) .
Массивтер ішкі оперативті жадыда орналасады. Оған кез келген уақытта тез кіруге болады. Ал сыртқы сұрыптау реттеуге тиісті мәліметтер көлемі өте үлкен болғанда мәліметтердің оперативті жадыға симай қалғанда қолданылады.
Таңдау көмегімен сұрыптау.
А массивінде мәліметтердің n элементі сақталған және бұл массив бойынша n-1 жүріс етеді. 0-ші жүрісте ең кіші элемент таңдалады. Ол кейіннен А 0 элементпен айырбасталады. Келесі жүрісте тізімнің А 1 элементінен бастап реттелмеген бөлігі қарастырылады. Мұнда ең кіші элемент тауып алынады да А 1 -де сақталады. Ары қарай А 2 . . . А n-1 тізіміндегі ең кіші элемент ізделеді. Табылған мән А 2 -мен ауысады. Осылайша, n-1 жүріс өтеді. Соңында тізімнің реттелмеген аяғы 1 элементке дейін қысқарады. Сол элемент ең үлкен болып табылады.
Мысалға, 50, 20, 40, 75, 35 массив берілген.
0-жүріс. 20-ны таңдаймыз. Оны А 0 -мен ауыстырамыз (А 0 =50) .
20, 50, 40, 75, 35.
1-жүріс. 35 таңдаймыз. Оны А 1 -мен орын ауыстырамыз.
20, 35, 40, 75, 50.
2-жүріс. 40 таңдаймыз. Оны А 2 -мен орын ауыстырамыз.
20, 35, 40, 75, 50.
3-жүріс. 50 таңдаймыз. Оны А 3 -пен орын ауыстырамыз.
20, 35, 40, 50, 75.
Соңғы қалған 75 саны ең үлкен элемент сұрыпталып шыққанда:
20, 35, 40, 50, 75.
Ауыстыру арқылы сұрыптау.
N элементтен тұратын а массивін айырбастау арқылы сұрыптау үшін немесе көпіршік әдісімен сұрыптау үшін n-ші жүріс қажет. Әрбір жүрісте көршілес екі элемент салыстырылады және егер 1-сі үлкен болса немесе 2-не тең болса, онда бұл элементтер орындарымен ауысады. әрбір жүрістің аяғында ең кіші элемент ішкі тізімнің жоғарғы жағына көтеріліп отырады. Бұл қайнап жатқан судың ішіндегі ауаның көбікшесіне ұқсас. Сондықтан көпіршік әдісі деп аталады.
Мысал. Массив:
50, 20, 40, 75, 35
0-жүріс. 50 мен 20салыстырылады.
20, 50, 40, 75, 35
1-жүріс. 50 мен 40 салыстырылады
20, 40, 50, 75, 35
2-жүріс. 50 мен 70 реттелген, сондықтан қалады.
20, 40, 50, 70, 35
3-жүріс. 75 пен 35 салыстырылады.
20, 40, 50, 35, 75
4-жүріс. 50 мен 35 салыстырылады
20, 40, 35, 50, 75
5-жүріс. 40 пен 35 салыстырылады
20, 35, 40, 50, 75
20 мен 30 реттелген
20, 35, 40, 50, 75 болып реттеледі.
Массивтегі жүрістер саны минимальды немесе максимальды элемент қай жерде орналасқанына байланысты. Мұнда бірінен кейін бірі келетін жүрістердің бағытын ауыстыру арқылы жылдамдатуға болады. Мұндай алгоритм Шейкер сұрыптауы деп аталады.
Қою арқылы сұрыптау. Тез сұрыптау
Қою арқылы сұрыптау - келесі процеске ұқсас. Карточкаларға аттарды жазып, карточкаларды алфавит бойынша өзіне керекті орынға қыстырып қою арқылы реттеу. Мысалға:
50, 20, 40, 75, 35 массивін қыстыру арқылы сұрыптау керек. 50 элементінен бастаймыз. 20-ны 0 позициясына қыстыру, 50-ді 1 позициясына жылжыту.
40-ты 1 позициясына қыстыру, 50-ді 2 позицияға жылжыту.
75-ті 3 позициясына қыстыру.
35-ті 1 позициясына қыстыру, қалғандарын оңға қарай жылжыту.
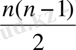
Есептеу күрделілігі: жалпы салыстырулар саны
-ге тең. Ең жақсы жағдайда, яғни тізім реттелген жағдайда күрделілігі О(n) -ге, ал жаман жағдайда О(n
2
) -ге тең.
Бинарлық қоюлар арқылы сұрыптау .
Бұл жай енгізулермен сұрыптаудың жақсартылған варианты. Жаңа элементті қосуға қажетті дайын тізбек реттелген болып, енгізу орнын неғұрлым жылдам табуға негізделген. Ол үшін дайын тізбектің ортаңғы элементі ізделіп, ары қарай ортасынан бөлу қашан енгізу орыны анықталғанша жалғаса беретін бинарлық іздеу жүргізіледі.
Есептеу күрделілігі: Енгізу орыны табылады егер, a l <=item<=a r болса. Соңында іздеу интервалы 1 ге тең болуы керек; бұл дегеніміз I элементтерден тұратын интервал ортасынан (log 2 i) рет бөлінеді деген сөз.
Салыстырулардың минимальды саны барлық элементтер кері ретпен орналасқанда, ал максимальды саны олардың осы кезде реттелген болғанында талап етіледі.
Тез сұрыптау . Тез сұрыптау әдісі - күнделікті тәжірибеден алынған.
Мысалы: Аттары бойынша алфавиттік карточкалар жиынын қандай да бір әріпке қатысты, мысалы К, екі кіші жиынға бөлуге болады. Барлық К-дан кіші немесе тең тең болатын бір жиынға, К-дан үлкен болатын бір жиынға бөлеміз. Одан кейін әрбір жиын тағы да екіге бөлінеді т. с. с. Тез сұрыптау алгоритмінде орталық элементті анықтап, сол арқылы бөлу әдісі қолданылады. Яғни, алғашқы массив екіге бөлінеді. Орталық элементтен үлкен және орталық элементтен кіші. Тура осы әрекет алынған массивтің 2 бөлігіне де жүргізіледі. Осылайша бөліне береді. Әрбір бөлікте бір ғана қалғанша жалғастырамыз.
Сұрыптау принципі: Массивтің орталық элементі таңдап алынады. Массивтің барлық элементтері солдан оңға және оңнан солға қарай қарап өтіледі. Солдан оңға қарай қозғалғанда A[scan up] деген элементті іздейміз және бұл элемент орталық элементтен үлкен болуы керек, оның позициясын есімізге сақтап аламыз. Оңнан солға қарай қозғалғанда A[scan down] деген элементті іздейміз. Ол элемент орталық элементтен кіші немесе тең болады. Позициясын есте сақтаймыз. Табылған элементтердің орындарын ауыстырамыз және scan up және scan down индекстері қиылысқанша іздеуді жалғастырамыз.
1-этапты орындап болғаннан кейін алғашқы масситің элементтері орталық элементке бөлінеді.
2-этапта 1-этаптың әрекеттері массивтің оң жақ және сол жақ бөліктері үшін жеке-жеке орындалады.
3-этапта осы әрекеттердің барлығы 4 бөлігі үшін жеке-жеке орындалады.
4-этапта 4 бөлігі жеке-жеке орындалады.
Есептеу күрделілігі. Тиімділік анализі кей жағдайда ғана мүмкін болады. Айталық, массив элементтер саны n=2 (K=log 2 n) 1-сканерлеуде n-1салыстыру
жүргізіледі. Оның нәтижесінің өлшемі
өлшемді ішкі тізім пайда болады. Өңдеудің келесі фазасында әрбір ішкі тізім үшін n/2 салыстыру қажет болады. Осылайша, бөлу процесі табылған ішкі тізімдер тек бір ғана элементтер тұрғанша К жүрістен кейін аяқталады. Мұндағы салыстырулардың жалпы саны мына формуламен анықталады: n*k=n*log
2
n. Жалпы түрдегі тізім үшін есептеу күрделілігі - О(n log
2
n) тең болады. Ал ең нашар жағдайда орталық элемент ең кіші элемент болғанда есептеу күрделігі O(n
2
) тең болады.
Сұрыпталған тізбектерді біріктіру
Екі А жіне В реттелген тізімдер берілген. Оның ұзындықтары сәйкесінше m және n. Біріктіру нәтижесінде ұзындығы m және n болатын С реттелген тізімін алу қажет. әрбір элемент бойынша біріктіру жүргізіледі. Ағымдағы өткізу нүктесі әрбір тізімнің басына орналасады. Ағымдағы нүктедегі мәндер салыстырылады. Нәтижесінде солардың кішісі массивке көшіріледі. Тізбектегі мән өңделіп болғаннан кейін келесі санға бір қадам жасалады да, салыстыру жалғастырылады.
Тізімдер алғашында реттелген болғандықтан элементтер шығатын массивке сұрыпталған ретпен көшіріледі. Тізбектің біреуі аяқталғаннан кейін келесі тізбектің қалған бөліктері яғни элементтері шығатын массивке көшіріле салады.
Сұрыпталған тізбектерді біріктіру алгоритмі . Бір тізбек немесе тізбектің екеуі де біткенше келесі әрекеттерді орындау керек. Яғни, егер 1-тізбектің 1-элементі 2-тізбектің элементіне тең немесе кіші болса, онда оны шығатын тізбекке жазып қойып, 1-тізбектің келесі элементіне көшу керек. Әйтпесе, шығатын тізбекке 2-тізбектің элементін жазып, 2-тізбектің келесі элементіне көшу керек. Одан кейін шығатын тізбектің келесі элементіне көшу керек. Егер біреуі аяғына дейін өңделмесе, онда сол қалдықты шығатын тізбекке көшіру керек.
Таңдау арқылы сұрыптау - бұл сұрыптаудың ең қолайлы түрі. Әдетте бұл ең бірінші келеді. Бұныңмәнімынада, мысалы n элементтентұратын А сандармассиві берілген. Оны таңдауәдісін қолданып элементтерінің өсуі бойынша сұрыптау қажет. Алгоритмі:
- Өлшемі n болатын А массивін толтыру және экранғашығару;
- i:=1;
- Индекс i-денбасталатын массив элементтерінің ішінен ең кішісін (индексі j) таңдапалу;
- A[i] және A[j] ;
- i:=i+1 мәні үшін i:=n болғанғадейін 3 және 4 қадамдардықайталау;
- Сұрыпталған А массивінэкранғашығару.
Алмастыру арқылы сұрыптау - ең жеңілтүрі болып табылады. Бұл алгоритмдік сұрыптау өте жеңіл, әрі оңай, себебі бұл сұрыптау улкен емес массивтерге қолданылады. Алгоритмнің қиындығы: O( n ²) .
... жалғасы- Іс жүргізу
- Автоматтандыру, Техника
- Алғашқы әскери дайындық
- Астрономия
- Ауыл шаруашылығы
- Банк ісі
- Бизнесті бағалау
- Биология
- Бухгалтерлік іс
- Валеология
- Ветеринария
- География
- Геология, Геофизика, Геодезия
- Дін
- Ет, сүт, шарап өнімдері
- Жалпы тарих
- Жер кадастрі, Жылжымайтын мүлік
- Журналистика
- Информатика
- Кеден ісі
- Маркетинг
- Математика, Геометрия
- Медицина
- Мемлекеттік басқару
- Менеджмент
- Мұнай, Газ
- Мұрағат ісі
- Мәдениеттану
- ОБЖ (Основы безопасности жизнедеятельности)
- Педагогика
- Полиграфия
- Психология
- Салық
- Саясаттану
- Сақтандыру
- Сертификаттау, стандарттау
- Социология, Демография
- Спорт
- Статистика
- Тілтану, Филология
- Тарихи тұлғалар
- Тау-кен ісі
- Транспорт
- Туризм
- Физика
- Философия
- Халықаралық қатынастар
- Химия
- Экология, Қоршаған ортаны қорғау
- Экономика
- Экономикалық география
- Электротехника
- Қазақстан тарихы
- Қаржы
- Құрылыс
- Құқық, Криминалистика
- Әдебиет
- Өнер, музыка
- Өнеркәсіп, Өндіріс
Қазақ тілінде жазылған рефераттар, курстық жұмыстар, дипломдық жұмыстар бойынша біздің қор #1 болып табылады.

Ақпарат
Қосымша
Email: info@stud.kz