Өндірістік қазандықтын жылутехникалық басқару жүйелері жайлы


56ҚАЗАҚСТАН РЕСПУБЛИКАСЫ БІЛІМ ЖӘНЕ ҒЫЛЫМ МИНИСТРЛІГІ
СЕМЕЙ ҚАЛАСЫНЫҢ ШӘКӘРІМ АТЫНДАҒЫ МЕМЛЕКЕТТІК УНИВЕРСИТЕТІ
ИНЖЕНЕРЛІК-ТЕХНОЛОГИЯЛЫҚ ФАКУЛЬТЕТІ
“Техникалық физика және жылуэнергетика” кафедрасы
“ Электрстанцияны автоматты басқару жүйелері” пәнінен
ОӨЖ
Тақырыбы: Өндірістік қазандықтын жылутехникалық басқару жүйелері
Орындаған: Медеуова А. К.
Оқу тобы: ТЭ-215
Тексерген: оқытушы Касымов А. Б.
Семей 2015 ж.
Мазмұны
Кіріспе 3
1 Жылу процестерінің автоматтық реттеуіштері. 4
2 Өндірістік реттеуіштер типтері және олардың қозғалыс приципі 6
Қорытынды 9
Пайдаланылған әдебиеттер 10
КіріспеРеттеуіштің негізгі элементтеріне, реттеуіш заңдарын түзуші, командалық-күшейткіш қондырғы (ККҚ), кері байланыс қондырғысы (КБҚ) және орындаушы механизм (ОМ) болып табылады. Кері байланыс ККҚ немесе ККҚ және ОМ ды ғана ала алады. Шынайы АСР интегралды немесе пропорционалды сипаттамаға ие ОМ-ды қолданады. Егер ОМ пропорционалды звено қозғалысы болса онда оны қолдану көмегімен басқа реттеуші сызықты заң іске асуы мүмкін. ОМ базасындағы интегралды звено сипаттамасы аясында басқа да реттеуші зона жасалуы мүмкін, бірақ сәйкес келетін КБҚ сипаттаманы таңдау керек. Қолмен басқару задатчигі (ЗД) - басқаруға берілген шамаға сәйкес дабылды қалыптастыруға арналған. Оның шығу дабылы датчиктің шығу дабылы сияқты біріңғай болып та қалыптасады. Мысалы, егер датчик шығаберісте тұрақты ток кернеуге ие болса, онда задатчиктен шығуында тұрақты ток кернеуі түсуі керек.
1 Өндірістік реттеуіштер типтері және олардың қозғалыс приципі
Ізінше УОС басты дифференциалды буын болуы керек. Мұндай ПИ - реттегіш кері байланыс серпімділігі немесе изодромды реттегіш деп аталады.
Егер орындаушы механизм интегралды буын сипаттамасымен, ИМ айнымалы жылдамдықпен болса, онда оның беріліс функциясы келесідей:

Ал ОМ-реттеуіш беріліс функциясы:

Ізінше, КБҚ беріліс функциясы:

Сәйкесінше

Апериодикалық буынның беріліс функциясы. Мұндай әдіспен ішкі кері байланыс инерциялық қатты кері байланыс болып табылады.
Реттегіштің функционалдық сызбасы (2-ші сурет) келесі элементтерден тұрады.
(Д) датчигі -
басқару мөлшерін және (ИБ) өлшеу блогына түсетін
дабылын өлшеуге арналған бірінші текті құрал. Жылутехникалық бірінші текті құрал ретінде терможұп манометрлік пружиналар және дифманометрлер т. б. қолданылады.
2-ші сурет - Реттегіштің функционалдық сызбасы
Д - датчик; ЗД - задатчик; ИБ - өлшеу блогы; КУУ - бұйрықты-күшейту қондырғысы; ИМ - орындаушы механизм; УОС - кері байланыс қондырғысы; РО - реттеуші орган.
- ті реттеуші шамасын
- ке дыбысты түрлендіру оларды біріңғайлау үшін арнайы түрлендірулер көмегімен іске асады. Бұл кезде біріздену дабылы көпкраттық бірнеше құралдарды және реттегіштерді бір уақытта қолдануға есептелінген. Датчиктерді қолдану біріңғайланған шығу дабылы мемлекеттік құралдар жүйесімен, мысалы электрлік дабылдар үшін
,
,
,
,
, пневматикалық үшін
және гидравликалық дабылдар үшін
қарастырылады.
Өндірістік реттегіш датчигңне қойылатын талаптар:
- бағытталу әрекеті- датчиктің шығу дабылының өзгерісі кіру дабылының әрекетіне әсер етпеуі керек;
- жоғары сезімталдық және аз инерциялдық;
- стстикалық сипаттаманың сызықтығы;
- жоғарғы сенімділік- жұмыстан бас тарту тоқырауға және АСР қате жұмысына әкеп соқтыруы мүмкін.
Датчиктер реттеу обьектісіне орнатылады, өлшеу ортасымен байланыста болады, сондықтан олардың термиялық және механикалық әсер ету, діріл және коррозияға орнықтылығы болуы керек.
Қолмен басқару задатчигі (ЗД) - басқаруға берілген шамаға сәйкес дабылды қалыптастыруға арналған. Оның шығу дабылы датчиктің шығу дабылы сияқты біріңғай болып та қалыптасады. Мысалы, егер датчик шығаберісте тұрақты ток кернеуге ие болса, онда задатчиктен шығуында тұрақты ток кернеуі түсуі керек.
Задатчикке қойылатын шарттар: шығаберіс дабылының жоғары тұрақтылығы, дабылды өзгерту диапазонының жеткіліктілігі, тұрақты реттегіш көлемін тәркілеуге рұқсат етілген.
Реттегіштің композициялық құрылымы келесі элементтердің болуымен анықталады:
- параметрлер мен задатчикті реттеуші датчикке дабыл түсетін (ИБ) өлшеу блогы. В ИБ-да осы екі дабылды салыстыру жүреді;
- кері байланысты (УОС) қондырғысы - реттеу процесі үшін ішкі кері байланыс. УОС-қа дабыл КУУ-дан түседі немесе орындаушы механизмнен түседі;
- реттеуші органдарды алмастыруға (ИМ) реттеуші орындау қондырғылары болады.
Қалыптасу заңын реттеу статикалық және динамикалық қондырғыларды өткізу үш реттеуші элемент арқылы іске асады: КУУ, УОС және ИМ, сонымен қатар реттеу заңдарын олардың мазмұны сызықты дифференциалды теңдеу қылуға талпынады.
2 Жылу процестерінің автоматтық реттеуіштері.Реттеуіштің негізгі элементтеріне, реттеуіш заңдарын түзуші, командалық-күшейткіш қондырғы (ККҚ), кері байланыс қондырғысы (КБҚ) және орындаушы механизм (ОМ) болып табылады. Кері байланыс ККҚ немесе ККҚ және ОМ ды ғана ала алады. Шынайы АСР интегралды немесе пропорционалды сипаттамаға ие ОМ-ды қолданады. Егер ОМ пропорционалды звено қозғалысы болса онда оны қолдану көмегімен басқа реттеуші сызықты заң іске асуы мүмкін. ОМ базасындағы интегралды звено сипаттамасы аясында басқа да реттеуші зона жасалуы мүмкін, бірақ сәйкес келетін КБҚ сипаттаманы таңдау керек.
Реттеу заңын іске асыру нұсқалары реттеуші құрылысына байланысты (1 суретті қара) .
- беріліс функция ККҚ,
- беріліс функция ОМ,
- беріліс функция КБҚ.
1сурет - Реттеу заңын іске асыратын құрылым сызбасы
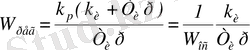
Пропорционалды қозғалыс реттеуіші, П-реттеуіш
Реттеу заңының теңдігі:

П-регулятор беріліс функциясы

Ішкі қондырғының кері байланысы ОМ-ды қамтиды (1, а суретін қара) .
Берілген реттеушінің беріліс функциясы:

ККҚ пропорционалды звеносын Ку>>1 күшейткіш коэффицентімен қабылдаймыз, беріліс функция ККҚ қондырғысы
Бұдан реттеуші функциясын аламыз:

Немесе

Бұдан:

- ауытқуды анықтайтын реттеуші статизмі, АСР тепе-теңдіксалмақ режимі
от
.
Егер кері байланыс ОМ аймағын алмаса (1, б суретін қара) П-реттеуші беріліс функциясы мына түрде болады.

шарты өзгеріссіз қалады. П-реттеуші беріліс функциясы мына түрге енеді:

- Іс жүргізу
- Автоматтандыру, Техника
- Алғашқы әскери дайындық
- Астрономия
- Ауыл шаруашылығы
- Банк ісі
- Бизнесті бағалау
- Биология
- Бухгалтерлік іс
- Валеология
- Ветеринария
- География
- Геология, Геофизика, Геодезия
- Дін
- Ет, сүт, шарап өнімдері
- Жалпы тарих
- Жер кадастрі, Жылжымайтын мүлік
- Журналистика
- Информатика
- Кеден ісі
- Маркетинг
- Математика, Геометрия
- Медицина
- Мемлекеттік басқару
- Менеджмент
- Мұнай, Газ
- Мұрағат ісі
- Мәдениеттану
- ОБЖ (Основы безопасности жизнедеятельности)
- Педагогика
- Полиграфия
- Психология
- Салық
- Саясаттану
- Сақтандыру
- Сертификаттау, стандарттау
- Социология, Демография
- Спорт
- Статистика
- Тілтану, Филология
- Тарихи тұлғалар
- Тау-кен ісі
- Транспорт
- Туризм
- Физика
- Философия
- Халықаралық қатынастар
- Химия
- Экология, Қоршаған ортаны қорғау
- Экономика
- Экономикалық география
- Электротехника
- Қазақстан тарихы
- Қаржы
- Құрылыс
- Құқық, Криминалистика
- Әдебиет
- Өнер, музыка
- Өнеркәсіп, Өндіріс
Қазақ тілінде жазылған рефераттар, курстық жұмыстар, дипломдық жұмыстар бойынша біздің қор #1 болып табылады.

Ақпарат
Қосымша
Email: info@stud.kz